
Compuestos / complejos de metales de transición
Transition metal compounds and complexes are a diverse class of materials that include a transition metal atom bonded to various ligands. These compounds are known for their rich chemistry and versatile applications, including catalysis, material science, and pharmaceuticals. Transition metal complexes are particularly valued for their ability to facilitate and accelerate a wide range of chemical reactions, often with high selectivity and efficiency. At CymitQuimica, we provide a comprehensive range of high-quality transition metal compounds and complexes to support your research and industrial applications, ensuring optimal performance and reliable results in your chemical processes.
Subcategorías de "Compuestos / complejos de metales de transición"
Se han encontrado 3264 productos de "Compuestos / complejos de metales de transición"
Ordenar por
Pureza (%)
0
100
|
0
|
50
|
90
|
95
|
100
NiCl2Bpy・H2O Dimer
CAS:Fórmula:C20H20Cl4N4Ni2O2Pureza:>95.0%(T)Forma y color:White to Brown to Dark green powder to crystalPeso molecular:607.59Zinc telluride (99.99%-Zn) PURATREM
CAS:<p>Zinc telluride (99.99%-Zn) PURATREM</p>Fórmula:ZnTePureza:(99.99%-Zn)Forma y color:gray pwdr.Peso molecular:192.97Chlorodihydrido{(R)-(+)-7-Bis(3,5-di-t-butylphenyl)phosphino-7'-[(3-methylpyridine-2-ylmethyl)amino]-2,2',3,3'-tetrahydro-1,1'-spirobiindane}iridium(III), >97% (>99% ee) Ir-(R)-DTB-SpiroPAP-3-Me
CAS:<p>Chlorodihydrido{(R)-(+)-7-Bis(3,5-di-t-butylphenyl)phosphino-7'-[(3-methylpyridine-2-ylmethyl)amino]-2,2',3,3'-tetrahydro-1,1'-spirobiindane}iridium(III), >97% (>99% ee) Ir-(R)-DTB-SpiroPAP-3-Me</p>Fórmula:C52H67ClIrN2PPureza:>97% (>99% ee)Forma y color:yellow-green solidPeso molecular:978.75Copper powder (99.999%)
CAS:<p>Copper powder (99.999%)</p>Fórmula:CuPureza:(99.999%)Forma y color:-100 mesh (under argon)Peso molecular:63.54Zinc perchlorate hexahydrate, 99%
CAS:<p>Zinc perchlorate hexahydrate, 99%</p>Fórmula:Zn(ClO4)2·6H2OPureza:99%Forma y color:white xtl.Peso molecular:264.27 (372.36)[2-(Pyridine-2-yl)-2-propanato]iridium(IV) dimer solution 97% (1 mM in 0.1 Molar aqueous NaIO₃)
CAS:<p>[2-(Pyridine-2-yl)-2-propanato]iridium(IV) dimer solution 97% (1 mM in 0.1 Molar aqueous NaIO3)</p>Fórmula:C16HH28IrNO3Pureza:97%Forma y color:blue liq.Peso molecular:728.84Tetrakis[(S)-(+)-[(1S)-1-(4-bromophenyl)-2,2-diphenylcyclopropanecarboxylato]dirhodium(II) Rh₂(S-BTPCP)₄
CAS:<p>Tetrakis[(S)-(+)-[(1S)-1-(4-bromophenyl)-2,2-diphenylcyclopropanecarboxylato]dirhodium(II) Rh2(S-BTPCP)4</p>Fórmula:C88H64Br4O8Rh2Forma y color:green solidPeso molecular:1774.87Copper Indium Disulfide/Zinc Sulfide Quantum Dots, Peak Emission 590nm ± 10nm, QY > 75%
CAS:<p>Copper Indium Disulfide/Zinc Sulfide Quantum Dots, Peak Emission 590nm ± 10nm, QY > 75%</p>Fórmula:CuInS2ZnSForma y color:orange pwdr.Peso molecular:337.67883Antimony Tin Oxide/Iridium Het-WOC core/shell nanopowder, 50 nm (conductive and acid-stable)
<p>Antimony Tin Oxide/Iridium Het-WOC core/shell nanopowder, 50 nm (conductive and acid-stable)</p>Forma y color:blue pwdr.Platinum wire (99.99+%)
CAS:<p>Platinum wire (99.99+%)</p>Fórmula:PtPureza:(99.99+%)Forma y color:0.254mm dia. (~0.277g/25cm)Peso molecular:195.09Zirconium trimellitate MOF (UiO-66-BDC-COOH, BDC-COOH:Zr=0.9-1.0)
<p>Zirconium trimellitate MOF (UiO-66-BDC-COOH, BDC-COOH:Zr=0.9-1.0)</p>Fórmula:Zr6O4(OH)4(C9H4O6)xXForma y color:White solidZirconium(IV) oxide-yttria stabilized, 99%
CAS:<p>Zirconium(IV) oxide-yttria stabilized, 99%</p>Fórmula:ZrO2Y2O3Pureza:99%Forma y color:-325 mesh (44 microns or less) pwdr.Peso molecular:121.89453Titanium(IV) sulfide (99.8%-Ti)
CAS:<p>Titanium(IV) sulfide (99.8%-Ti)</p>Fórmula:TiS2Pureza:(99.8%-Ti)Forma y color:-200 mesh yellow to brown pwdr.Peso molecular:112.03Di-μ-chloro-dichlorobis(ethylene)diplatinum(II), min. 97% Zeise's dimer
CAS:<p>Di-μ-chloro-dichlorobis(ethylene)diplatinum(II), min. 97% Zeise's dimer</p>Fórmula:PtCl2(C2H4)Pureza:min. 97%Forma y color:orange xtl.Peso molecular:588.10Cobalt(II) Bromide Anhydrous
CAS:Fórmula:CoBr2Pureza:>98.0%(T)Forma y color:Green to Dark green powder to crystalPeso molecular:218.74Copper rod (99.999%)
CAS:<p>Copper rod (99.999%)</p>Fórmula:CuPureza:(99.999%)Forma y color:9.5mm dia. (~6.3g/cm)Peso molecular:63.54((4S,5S)-(-)-O-[1-Benzyl-1-(5-methyl-2-phenyl-4,5-dihydrooxazol-4-yl)-2-phenylethyl]-diphenylphosphinite)(1,5-COD)iridium(I) tetrakis(3,5-bis(trifluoromethyl)phenylborate, min. 97% (S,S)-[COD]Ir[Ph₂PThrePHOX]
CAS:<p>((4S,5S)-(-)-O-[1-Benzyl-1-(5-methyl-2-phenyl-4,5-dihydrooxazol-4-yl)-2-phenylethyl]-diphenylphosphinite)(1,5-COD)iridium(I) tetrakis(3,5-bis(trifluoromethyl)phenylborate, min. 97% (S,S)-[COD]Ir[Ph2PThrePHOX]</p>Fórmula:Ir(C8H12)(C37H34NO2P)BC6H3(CF3)2Pureza:min. 97%Forma y color:orange pwdr.Peso molecular:1719.25Molybdenum pellets (99.7%)
CAS:<p>Molybdenum pellets (99.7%)</p>Fórmula:MoPureza:(99.7%)Forma y color:16 x 6 mmPeso molecular:95.94(1R,2R)-(-)-1,2-Cyclohexanediamino-N,N'-bis(3,5-di-t-butylsalicylidene)cobalt(II)
CAS:<p>(1R,2R)-(-)-1,2-Cyclohexanediamino-N,N'-bis(3,5-di-t-butylsalicylidene)cobalt(II)</p>Fórmula:C36H52CoN2O2Forma y color:red-brown pwdr.Peso molecular:603.76Tetrakis(1,5-cyclooctadiene)tetra-μ-hydridotetrarhodium, min. 98%
CAS:<p>Tetrakis(1,5-cyclooctadiene)tetra-μ-hydridotetrarhodium, min. 98%</p>Fórmula:RhH(C8H12)Pureza:min. 98%Forma y color:red xtl.Peso molecular:848.38Bis(2,4-pentanedionato)zinc(II)
CAS:Fórmula:C10H14O4ZnPureza:>96.0%(T)Forma y color:White to Almost white powder to crystalPeso molecular:263.60Zinc powder (99.999%)
CAS:<p>Zinc powder (99.999%)</p>Fórmula:ZnPureza:(99.999%)Forma y color:-40 meshPeso molecular:65.38Zirconium crystal bar turnings (99.5%)
CAS:<p>Zirconium crystal bar turnings (99.5%)</p>Fórmula:ZrPureza:(99.5%)Forma y color:1.0mm thick x 7mm widePeso molecular:91.22Silver cyanide, 99%
CAS:<p>Silver cyanide, 99%</p>Fórmula:AgCNPureza:99%Forma y color:white to off-white pwdr.Peso molecular:133.84Nickel rod (99+%)
CAS:<p>Nickel rod (99+%)</p>Fórmula:NiPureza:(99+%)Forma y color:6.35 mm dia.Peso molecular:58.71Copper(II) chloride dihydrate, 99+% (ACS)
CAS:<p>Copper(II) chloride dihydrate, 99+% (ACS)</p>Fórmula:CuCl2·2H2OPureza:99+%Forma y color:green xtl.Peso molecular:134.44 (170.48)Cobalt(II) ethyl/butyl phosphonate Silica (PhosphonicS POCo)
<p>Cobalt(II) ethyl/butyl phosphonate Silica (PhosphonicS POCo)</p>Forma y color:blue solidNickel(II) oxide (99.998%-Ni) PURATREM
CAS:<p>Nickel(II) oxide (99.998%-Ni) PURATREM</p>Fórmula:NiOPureza:(99.998%-Ni)Forma y color:greenish-black pwdr.Peso molecular:74.71Tetrakis(ethylmethylamino)titanium, 99% (99.99%-Ti) PURATREM
CAS:<p>Tetrakis(ethylmethylamino)titanium, 99% (99.99%-Ti) PURATREM</p>Fórmula:C12H32N4TiPureza:99% (99.99%-Ti)Forma y color:yellow to orange liq.Peso molecular:280.28Copper(II) sulfate pentahydrate (99.999%-Cu) PURATREM
CAS:<p>Copper(II) sulfate pentahydrate (99.999%-Cu) PURATREM</p>Fórmula:CuSO4·5H2OPureza:(99.999%-Cu)Forma y color:blue xtl.Peso molecular:159.60 (249.68)Chlorotriethylphosphinegold(I), 99%
CAS:<p>Chlorotriethylphosphinegold(I), 99%</p>Fórmula:AuClP(C2H5)3Pureza:99%Forma y color:white to pink xtl.Peso molecular:350.57Zirconium(IV) iodide (99.5%-Zr)
CAS:<p>Zirconium(IV) iodide (99.5%-Zr)</p>Fórmula:ZrI4Pureza:(99.5%-Zr)Forma y color:reddish-brown pwdr.Peso molecular:598.84Rhodium(II) trifluoroacetate dimer, min. 95%
CAS:<p>Rhodium(II) trifluoroacetate dimer, min. 95%</p>Fórmula:Rh2(OOCCF3)4Pureza:min. 95%Forma y color:green pwdr.Peso molecular:657.88Zinc bromide, 98+%
CAS:<p>Zinc bromide, 98+%</p>Fórmula:ZnBr2Pureza:98+%Forma y color:white pwdr.Peso molecular:225.19Copper(I) sulfide (99.5%-Cu)
CAS:<p>Copper(I) sulfide (99.5%-Cu)</p>Fórmula:Cu2SPureza:(99.5%-Cu)Forma y color:black pwdr.Peso molecular:159.14Copper Indium Disulfide/Zinc Sulfide Quantum Dots, Peak Emission 680nm ± 10nm, QY > 75%
CAS:<p>Copper Indium Disulfide/Zinc Sulfide Quantum Dots, Peak Emission 680nm ± 10nm, QY > 75%</p>Fórmula:CuInS2ZnSForma y color:brown pwdr.Peso molecular:337.67883Nickel, 64% powder on silica, reduced and stabilized (Ni-5249P)
CAS:<p>Nickel, 64% powder on silica, reduced and stabilized (Ni-5249P)</p>Forma y color:black pwdr. (d50=5 µm)Iridium wire (99.7%)
CAS:<p>Iridium wire (99.7%)</p>Fórmula:IrPureza:(99.7%)Forma y color:0.127mm dia. (~0.3g/m)Peso molecular:192.20(Butylamine)[2,2'-thiobis(4-tert-octylphenolato)]nickel(II)
CAS:Fórmula:C32H51NNiO2SPureza:>97.0%(T)Forma y color:Light yellow to Amber to Dark green powder to crystalPeso molecular:572.52Tetraammineplatinum(II) tetrachloroplatinate(II), 99%
CAS:<p>Tetraammineplatinum(II) tetrachloroplatinate(II), 99%</p>Fórmula:Pt(NH3)4PtCl4Pureza:99%Forma y color:green pwdr.Peso molecular:600.12Bis(1,5-cyclooctadiene)rhodium(I) trifluoromethanesulfonate, 99%
CAS:<p>Bis(1,5-cyclooctadiene)rhodium(I) trifluoromethanesulfonate, 99%</p>Fórmula:RhC8H12)2SO3CF3Pureza:99%Forma y color:dark red xtl.Peso molecular:468.34Cyclopentadienyl(cycloheptatrienyl)titanium(II), 99%
CAS:<p>Cyclopentadienyl(cycloheptatrienyl)titanium(II), 99%</p>Fórmula:Ti(C5H5)(C7H7)Pureza:99%Forma y color:blue xtl.Peso molecular:204.09trans-Dichlorodiammine platinum(II), 99%
CAS:<p>trans-Dichlorodiammine platinum(II), 99%</p>Fórmula:transPt(NH3)2Cl2Pureza:99%Forma y color:light yellow xtl.Peso molecular:300.06Zinc oxide, 99.7%
CAS:<p>Zinc oxide, 99.7%</p>Fórmula:ZnOPureza:99.7%Forma y color:white pwdr. (mean particle size 0.31 microns)Peso molecular:81.37Nickel(II) oxalate dihydrate (99.998%-Ni) PURATREM
CAS:<p>Nickel(II) oxalate dihydrate (99.998%-Ni) PURATREM</p>Fórmula:NiC2O4·2H2OPureza:(99.998%-Ni)Forma y color:light green pwdr.Peso molecular:146.73 (182.76)Nickel powder (99.5%)
CAS:<p>Nickel powder (99.5%)</p>Fórmula:NiPureza:(99.5%)Forma y color:-100 meshPeso molecular:58.71Titanium boride, hexagonal crystalline solid, 0.7-10.0 microns, 99%
CAS:<p>Titanium boride, hexagonal crystalline solid, 0.7-10.0 microns, 99%</p>Fórmula:TiB2Pureza:99%Forma y color:dark-gray solidPeso molecular:69.523-Di-i-propylphosphoranylidene-2-(N,N-dimethylamino)-1H-indene(1,5-cyclooctadiene)rhodium(I), min. 95%
CAS:<p>3-Di-i-propylphosphoranylidene-2-(N,N-dimethylamino)-1H-indene(1,5-cyclooctadiene)rhodium(I), min. 95%</p>Fórmula:C25H37NPRhPureza:min. 95%Forma y color:orange-red xtl.Peso molecular:485.45Titanium(II) hydride, min. 95% (99+%-Ti)
CAS:<p>Titanium(II) hydride, min. 95% (99+%-Ti)</p>Fórmula:TiH2Pureza:min. 95%Forma y color:-325 mesh gray pwdr.Peso molecular:49.92[N-[α-[2-(Piperidinoacetamido)phenyl]benzylidene]glycinato]nickel
CAS:Fórmula:C22H23N3NiO3Pureza:>93.0%(T)Forma y color:Light yellow to Brown powder to crystalPeso molecular:436.14Manganese(III) Tetraphenylporphyrin Chloride
CAS:Fórmula:C44H28ClMnN4Pureza:>94.0%(HPLC)Forma y color:Dark green to Black powder to crystalPeso molecular:703.12Tetrabutylammonium Bis(4-methyl-1,2-benzenedithiolato)nickelate
CAS:Fórmula:C30H48NNiS4Pureza:>98.0%(T)(HPLC)Forma y color:Dark green to Dark red to Black powder to crystalPeso molecular:609.65Platinum, 10% on activated carbon
CAS:<p>Platinum, 10% on activated carbon</p>Fórmula:PtForma y color:black pwdr.Peso molecular:194.96479Bis{P,P'-1,5-diphenyl-3,7-bis[(4-hydrogenphosphonate)phenyl]-1,5,3,7-diazadiphosphocine} nickel(II) bromide (hydrogen bromide adduct)
CAS:<p>Bis{P,P'-1,5-diphenyl-3,7-bis[(4-hydrogenphosphonate)phenyl]-1,5,3,7-diazadiphosphocine} nickel(II) bromide (hydrogen bromide adduct)</p>Fórmula:C60H69Br3N4NiO12P8Forma y color:red-brown xtls.Peso molecular:1584.41Zirconium(IV) dichloride oxide hydrate (99.99+%-Zr) PURATREM
CAS:<p>Zirconium(IV) dichloride oxide hydrate (99.99+%-Zr) PURATREM</p>Fórmula:ZrOCl2·XH2OPureza:(99.99+%-Zr)Forma y color:white xtl.Peso molecular:178.13Zirconium trans-1, 2-ethylenedicarboxylic acid MOF (UiO-66-FA, FA:Zr=0.9-1)
<p>Zirconium trans-1, 2-ethylenedicarboxylic acid MOF (UiO-66-FA, FA:Zr=0.9-1)</p>Fórmula:Zr6O4(OH)4(C4H2O4)6Forma y color:Cream solidPeso molecular:1355.39065Cobalt(III) fluoride, 99%
CAS:<p>Cobalt(III) fluoride, 99%</p>Fórmula:CoF3Pureza:99%Forma y color:tan pwdr.Peso molecular:115.93Nickel(II) oxalate dihydrate
CAS:<p>Nickel(II) oxalate dihydrate</p>Fórmula:NiC2O4·2H2OForma y color:green to blue pwdr.Peso molecular:146.73 (182.76)1,2-Bis((2S,5S)-2,5-di-i-propylphospholano)ethane(cyclooctadiene)rhodium(I) tetrafluoroborate
CAS:<p>1,2-Bis((2S,5S)-2,5-di-i-propylphospholano)ethane(cyclooctadiene)rhodium(I) tetrafluoroborate</p>Fórmula:C30H56BF4P2RhForma y color:orange-red solidPeso molecular:668.42Pentamethylcyclopentadienylmolybdenum dicarbonyl dimer, 99%
CAS:<p>Pentamethylcyclopentadienylmolybdenum dicarbonyl dimer, 99%</p>Fórmula:(CH3)5C5Mo(CO)2Pureza:99%Forma y color:red xtl.Peso molecular:574.38Zirconium(IV) sulfate tetrahydrate (99.99+%-Zr) PURATREM
CAS:<p>Zirconium(IV) sulfate tetrahydrate (99.99+%-Zr) PURATREM</p>Fórmula:Zr(SO4)2·4H2OPureza:(99.99+%-Zr)Forma y color:white xtl.Peso molecular:283.33 (355.39)(1,10-Phenanthroline)(trifluoromethyl)(triphenylphosphine)copper(I)
CAS:Fórmula:C31H23CuF3N2PPureza:>95.0%(T)Forma y color:Light yellow to Brown powder to crystalPeso molecular:575.05Chloro[(1,3-dimesitylimidazol-2-ylidene)(N,N-dimethylbenzylamine)palladium(II)]
CAS:Fórmula:C30H36ClN3PdPureza:>98.0%(T)Forma y color:White to Almost white powder to crystalPeso molecular:580.51Tungsten(VI) Oxide (99.9%, trace metals basis)
CAS:Fórmula:WO3Pureza:>99.90%Forma y color:Light yellow to Yellow powder to crystalPeso molecular:231.84Cobalt(II) acetate tetrahydrate, 98+%
CAS:<p>Cobalt(II) acetate tetrahydrate, 98+%</p>Fórmula:Co(OOCCH3)2·4H2OPureza:98+%Forma y color:pink xtl.Peso molecular:177.00 (249.08)Chloro(4-cyanophenyl){(R)-1-[(S)-2-(diphenylphosphino)ferrocenyl]ethyl(di-t-butyl)phosphine} nickel(II)
CAS:<p>Chloro(4-cyanophenyl){(R)-1-[(S)-2-(diphenylphosphino)ferrocenyl]ethyl(di-t-butyl)phosphine} nickel(II)</p>Fórmula:C39H44ClFeNNiP2Forma y color:red-violet solidPeso molecular:738.71Pentamethylcyclopentadienyltitanium trimethoxide, min. 97%
CAS:<p>Pentamethylcyclopentadienyltitanium trimethoxide, min. 97%</p>Fórmula:C5(CH3)5Ti(OCH3)3Pureza:min. 97%Forma y color:yellow liq.Peso molecular:276.21Copper(I) cyanide, 99%
CAS:<p>Copper(I) cyanide, 99%</p>Fórmula:CuCNPureza:99%Forma y color:off-white to pale green pwdr.Peso molecular:89.56Copper(I) thiocyanate, 99%
CAS:<p>Copper(I) thiocyanate, 99%</p>Fórmula:CuSCNPureza:99%Forma y color:off-white pwdr.Peso molecular:121.62Platinum, 3% on activated wood carbon, reduced, 70% water wet paste (Escat™ 2931)
CAS:<p>Platinum, 3% on activated wood carbon, reduced, 70% water wet paste (Escat™ 2931)</p>Forma y color:black pwdr. (d50=22 µm)Molybdenum silicide (99+%-Mo)
CAS:<p>Molybdenum silicide (99+%-Mo)</p>Fórmula:MoSi2Pureza:(99+%-Mo)Forma y color:black pwdr.Peso molecular:152.13((4R,5R)-(+)-O-[1-Benzyl-1-(5-methyl-2-phenyl-4,5-dihydrooxazol-4-yl)-2-phenylethyl] (diphenylphosphinite)(1,5-COD)iridium(I) tetrakis(3,5-bis(trifluoromethyl)phenylborate, min. 97% (R,R)-[COD]Ir[Ph₂PThrePHOX]
CAS:<p>((4R,5R)-(+)-O-[1-Benzyl-1-(5-methyl-2-phenyl-4,5-dihydrooxazol-4-yl)-2-phenylethyl] (diphenylphosphinite)(1,5-COD)iridium(I) tetrakis(3,5-bis(trifluoromethyl)phenylborate, min. 97% (R,R)-[COD]Ir[Ph2PThrePHOX]</p>Fórmula:Ir(C8H12)(C37H34NO2P)BC6H3(CF3)2Pureza:min. 97%Forma y color:orange pwdr.Peso molecular:1719.25Copper(II) bromide, 99%
CAS:<p>Copper(II) bromide, 99%</p>Fórmula:CuBr2Pureza:99%Forma y color:gray pwdr.Peso molecular:223.37Platinum powder (99.9%)
CAS:<p>Platinum powder (99.9%)</p>Fórmula:PtPureza:(99.9%)Forma y color:-60 meshPeso molecular:195.09Hydridocarbonyltris(triphenylphosphine)iridium(I), 99%
CAS:<p>Hydridocarbonyltris(triphenylphosphine)iridium(I), 99%</p>Fórmula:IrH(CO)(C6H5)3PPureza:99%Forma y color:light yellow pwdr.Peso molecular:1008.12Chloro(4-cyanophenyl){(R)-1-[(S)-2-(dicyclohexylphosphino)ferrocenyl]ethyl (diphenylphosphine)}nickel(II)
CAS:<p>Chloro(4-cyanophenyl){(R)-1-[(S)-2-(dicyclohexylphosphino)ferrocenyl]ethyl (diphenylphosphine)}nickel(II)</p>Fórmula:C43H48ClFeNNiP2Forma y color:orange solidPeso molecular:790.79Hydrogen tetrachloroaurate(III) hydrate (99.9985%-Au) (49% Au) PURATREM
CAS:<p>Hydrogen tetrachloroaurate(III) hydrate (99.9985%-Au) (49% Au) PURATREM</p>Fórmula:HAuCl4·XH2OPureza:(99.9985%-Au) (49%Au)Forma y color:yellow to orange xtl.Peso molecular:339.79(+)-1,2-Bis((2R,5R)-2,5-di-i-propylphospholano)benzene)1,5-cyclooctadiene)rhodium(I) tetrafluoroborate, min. 98% (R,R)-i-Pr-DUPHOS-Rh
CAS:<p>(+)-1,2-Bis((2R,5R)-2,5-di-i-propylphospholano)benzene)1,5-cyclooctadiene)rhodium(I) tetrafluoroborate, min. 98% (R,R)-i-Pr-DUPHOS-Rh</p>Fórmula:Rh(C8H12)(C26H44P2)BF4Pureza:98%Forma y color:red-orange xtl.Peso molecular:716.47Zinc rod (99.9999%)
CAS:<p>Zinc rod (99.9999%)</p>Fórmula:ZnPureza:(99.9999%)Forma y color:10 mm dia. (~5.6g/cm)Peso molecular:65.38Zinc arsenide (99.5%-Zn)
CAS:<p>Zinc arsenide (99.5%-Zn)</p>Fórmula:Zn3As2Pureza:(99.5%-Zn)Forma y color:1/8 gray piecesPeso molecular:346.01Gold nanoparticles, 5% on carbon black (surfactant and reactant-free)
CAS:<p>Gold nanoparticles, 5% on carbon black (surfactant and reactant-free)</p>Fórmula:AuForma y color:black solidPeso molecular:196.70Zinc oxide (99.999%-Zn) PURATREM
CAS:<p>Zinc oxide (99.999%-Zn) PURATREM</p>Fórmula:ZnOPureza:(99.999%-Zn)Forma y color:white pwdr.Peso molecular:81.37Zinc oxide (99.9995%-Zn) PURATREM
CAS:Fórmula:ZnOPureza:99.9995%-ZnForma y color:white pwdr.Peso molecular:81.37Gold nanoparticles, 1% on carbon black (surfactant and reactant-free)
CAS:<p>Gold nanoparticles, 1% on carbon black (surfactant and reactant-free)</p>Fórmula:AuForma y color:black solidPeso molecular:196.70[NH2Me2][(RuCl((R)-segphos®))2(μ-Cl)3]
CAS:Fórmula:C78H64Cl5NO8P4Ru2Forma y color:Orange to Brown powder to crystalPeso molecular:1,646.65Cobalt(II) tungstate (99.9%-Co)
CAS:<p>Cobalt(II) tungstate (99.9%-Co)</p>Fórmula:CoWO4Pureza:(99.9%-Co)Forma y color:-100 mesh gray pwdr.Peso molecular:306.78Hexaamminenickel(II) iodide, 98%
CAS:<p>Hexaamminenickel(II) iodide, 98%</p>Fórmula:Ni(NH3)6I2Pureza:98%Forma y color:yellow pwdr.Peso molecular:414.70Zinc bromide (99.9%-Zn)
CAS:<p>Zinc bromide (99.9%-Zn)</p>Fórmula:ZnBr2Pureza:(99.9%-Zn)Forma y color:white pwdr.Peso molecular:225.19Zinc sulfide (99.99%-Zn) (fused granules) PURATREM
CAS:<p>Zinc sulfide (99.99%-Zn) (fused granules) PURATREM</p>Fórmula:ZnSPureza:(99.99%-Zn)Forma y color:2.5-5.0mm granulesPeso molecular:97.43Tetrabutylammonium Bis(3,6-dichloro-1,2-benzenedithiolato)nickelate
CAS:Fórmula:C28H40Cl4NNiS4Pureza:>98.0%(T)Forma y color:Green to Dark green powder to crystalPeso molecular:719.371,3-Bis(2,6-di-i-propylphenyl)imidazol-2-ylidene(acetonitrile)gold(I) tetrafluoroborate, 95%
CAS:<p>1,3-Bis(2,6-di-i-propylphenyl)imidazol-2-ylidene(acetonitrile)gold(I) tetrafluoroborate, 95%</p>Fórmula:C29H39AuBF4N3Pureza:95%Forma y color:white solidPeso molecular:713.41Bis(indenyl)zirconium dichloride, min. 98%
CAS:<p>Bis(indenyl)zirconium dichloride, min. 98%</p>Fórmula:(C9H7)2ZrCl2Pureza:min. 98%Forma y color:yellow pwdr.Peso molecular:392.44Bis(t-butylcyclopentadienyl)titanium dichloride, min. 98%
CAS:<p>Bis(t-butylcyclopentadienyl)titanium dichloride, min. 98%</p>Fórmula:(C4H9)C5H4TiCl2Pureza:min. 98%Forma y color:red xtl.Peso molecular:361.19(-)-1,2-Bis((2R,5R)-2,5-diphenylphospholano)ethane(1,5-cyclooctadiene)rhodium(I) tetrafluoroborate, min. 98% (R,R)-Ph-BPE-Rh
CAS:<p>(-)-1,2-Bis((2R,5R)-2,5-diphenylphospholano)ethane(1,5-cyclooctadiene)rhodium(I) tetrafluoroborate, min. 98% (R,R)-Ph-BPE-Rh</p>Fórmula:Rh(C8H12)(C34H36P2)BF4Pureza:min. 98%Forma y color:orange xtl.Peso molecular:804.49Antimony Tin Oxide/Iridium Het-WOC core/shell nanopowder, 100 nm (conductive and acid-stable)
<p>Antimony Tin Oxide/Iridium Het-WOC core/shell nanopowder, 100 nm (conductive and acid-stable)</p>Forma y color:blue pwdr.Rhodium(II) octanoate dimer, 98%
CAS:<p>Rhodium(II) octanoate dimer, 98%</p>Fórmula:Rh(C7H15COO)2Pureza:98%Forma y color:green pwdr.Peso molecular:778.641,1’-Bis((2R,5R)-2,5-di-i-propylphospholano)ferrocene(cyclooctadiene)rhodium(I) tetrafluoroborate
CAS:<p>1,1-Bis((2R,5R)-2,5-di-i-propylphospholano)ferrocene(cyclooctadiene)rhodium(I) tetrafluoroborate</p>Fórmula:C38H60BF4FeP2RhForma y color:orange-red solidPeso molecular:824.39Zinc selenide (99.99%-Zn) PURATREM
CAS:<p>Zinc selenide (99.99%-Zn) PURATREM</p>Fórmula:ZnSePureza:(99.99%-Zn)Forma y color:yellow to red, granular solidPeso molecular:144.33Nickel(II) acetylacetonate hydrate
CAS:<p>Nickel(II) acetylacetonate hydrate</p>Fórmula:Ni(CH3COCHCOCH3)2·XH2OForma y color:light green pwdr.Peso molecular:256.93Titanium(IV) t-butoxide (99.95%-Ti)
CAS:<p>Titanium(IV) t-butoxide (99.95%-Ti)</p>Fórmula:Ti(OC4H9)4Pureza:(99.95%-Ti)Forma y color:colorless liq.Peso molecular:340.35Platinum nanoparticles, 20% on carbon black (surfactant and reactant-free)
CAS:<p>Platinum nanoparticles, 20% on carbon black (surfactant and reactant-free)</p>Fórmula:PtForma y color:black solidPeso molecular:195.10Molybdenum(VI) tetrachloride oxide, min. 97%
CAS:<p>Molybdenum(VI) tetrachloride oxide, min. 97%</p>Fórmula:MoOCl4Pureza:min. 97%Forma y color:green pwdr.Peso molecular:253.78Copper(II) hexafluoroacetylacetonate hydrate
CAS:<p>Copper(II) hexafluoroacetylacetonate hydrate</p>Fórmula:Cu(CF3COCHCOCF3)2·XH2OForma y color:green to blue xtl.Peso molecular:477.64Silver iodide (99.9%-Ag)
CAS:<p>Silver iodide (99.9%-Ag)</p>Fórmula:AgIPureza:(99.9%-Ag)Forma y color:yellow pwdr.Peso molecular:234.77Titanium nitride, 1.3-1.9 microns (99+%-Ti)
CAS:<p>Titanium nitride, 1.3-1.9 microns (99+%-Ti)</p>Fórmula:TiNPureza:(99+%-Ti)Forma y color:gray pwdr.Peso molecular:61.91Tetrakis(diethylamino)zirconium, 99%
CAS:<p>Tetrakis(diethylamino)zirconium, 99%</p>Fórmula:ZrN(CH2CH3)2Pureza:99%Forma y color:yellow liq.Peso molecular:379.74Tetrakis(dimethylamino)zirconium(IV), 99% TDMAZ, 40-4100, contained in 50 ml Swagelok® cylinder for (96-1070) CVD/ALD
CAS:<p>Tetrakis(dimethylamino)zirconium(IV), 99% TDMAZ, 40-4100, contained in 50 ml Swagelok® cylinder for (96-1070) CVD/ALD</p>Fórmula:ZrN(CH3)2Pureza:99%Forma y color:white to light yellow xtl.Peso molecular:267.53Bis(tetramethylcyclopentadienyl)nickel, min. 98%
CAS:<p>Bis(tetramethylcyclopentadienyl)nickel, min. 98%</p>Fórmula:(CH3)4C5HNiPureza:min. 98%Forma y color:green-black xtl.Peso molecular:301.10Tetrakis(diethylamino)titanium(IV), 99%, 22-1050, contained in 50 ml Swagelok® cylinder (96-1070) for CVD/ALD
CAS:<p>Tetrakis(diethylamino)titanium(IV), 99%, 22-1050, contained in 50 ml Swagelok® cylinder (96-1070) for CVD/ALD</p>Fórmula:TiN(C2H5)2Pureza:99%Forma y color:yellow to orange liq.Peso molecular:336.40Tetrakis(ethylmethylamino)zirconium(IV) 99% TEMAZ, 40-1710, contained in 50 ml Swagelok® cylinder (96-1070) for CVD/ALD
CAS:<p>Tetrakis(ethylmethylamino)zirconium(IV) 99% TEMAZ, 40-1710, contained in 50 ml Swagelok® cylinder (96-1070) for CVD/ALD</p>Fórmula:ZrN(CH3)(CH2CH3)Pureza:99%Forma y color:light yellow liq.Peso molecular:323.63Tetrakis(dimethylamino)titanium(IV), 99% TDMAT, 93-2240, contained in high-temp 50 ml Swagelok® cylinder (96-1071) for CVD/ALD
CAS:<p>Tetrakis(dimethylamino)titanium(IV), 99% TDMAT, 93-2240, contained in high-temp 50 ml Swagelok® cylinder (96-1071) for CVD/ALD</p>Fórmula:TiN(CH3)2Pureza:99%Forma y color:yellow to orange liq.Peso molecular:224.20Oxo[hexa(trifluoroacetato)]tetrazinc trifluoroacetic acid adduct ZnTAC₂₄™
CAS:<p>Oxo[hexa(trifluoroacetato)]tetrazinc trifluoroacetic acid adduct ZnTAC24™</p>Fórmula:Zn4(CF3COO)6(O)(CF3COOH)Forma y color:white solidPeso molecular:955.65Tetracobalt dodecacarbonyl, min. 98%
CAS:<p>Tetracobalt dodecacarbonyl, min. 98%</p>Fórmula:Co4(CO)12Pureza:min. 98%Forma y color:black xtl.Peso molecular:571.85cis-Dichlorodiammineplatinum (II), CISPLATIN (USP)
CAS:<p>cis-Dichlorodiammineplatinum (II), CISPLATIN (USP)</p>Fórmula:cisPt(NH3)2Cl2Forma y color:yellow to orange xtl.Peso molecular:300.06Cyclopentadienyl(triethylphosphine)copper(I), min. 98%
CAS:<p>Cyclopentadienyl(triethylphosphine)copper(I), min. 98%</p>Fórmula:(C5H5)CuP(C2H5)3Pureza:min. 98%Forma y color:white to off-white xtl.Peso molecular:246.80Carbonyl(acetylacetonato)(triphenylphosphine)rhodium(I), 99%
CAS:<p>Carbonyl(acetylacetonato)(triphenylphosphine)rhodium(I), 99%</p>Fórmula:C24H22O3PRhPureza:99%Forma y color:yellow solidPeso molecular:492.31Dimethyl(trifluoroacetylacetonate)gold(III), 98% (99.9%-Au)
CAS:<p>Dimethyl(trifluoroacetylacetonate)gold(III), 98% (99.9%-Au)</p>Fórmula:(CH3)2Au(CF3COCHCOCH3)Pureza:(99.9%-Au)Forma y color:white to off-white xtl.Peso molecular:380.12Chlorohydro[2-[[[3-[methyl[3-(4-morpholinyl-κN4)propyl]amino-κN]propyl]thio-κS]methyl]phenyl-κC]iridium(III)
CAS:<p>Chlorohydro[2-[[[3-[methyl[3-(4-morpholinyl-κN4)propyl]amino-κN]propyl]thio-κS]methyl]phenyl-κC]iridium(III)</p>Fórmula:C18H30ClIrN2OSForma y color:yellow xtl.Peso molecular:550.18(Trimethyl)methylcyclopentadienylplatinum(IV), 99% (99.999%-Pt) PURATREM
CAS:<p>(Trimethyl)methylcyclopentadienylplatinum(IV), 99% (99.999%-Pt) PURATREM</p>Fórmula:(CH3)3(CH3C5H4)PtPureza:99% (99.999%-Pt)Forma y color:off-white solidPeso molecular:319.32Chloro(2-methylphenyl)(N,N,N',N'-tetramethyl-1,2-ethylenediamine)nickel(II), 99% (contains about 10% o-chlorotoluene) NiCl(o-tolyl)(TMEDA)
CAS:<p>Chloro(2-methylphenyl)(N,N,N',N'-tetramethyl-1,2-ethylenediamine)nickel(II), 99% (contains about 10% o-chlorotoluene) NiCl(o-tolyl)(TMEDA)</p>Fórmula:C13H23ClN2NiPureza:99%Forma y color:dark-orange pwdr.Peso molecular:301.48Bis(1,4-di-t-butyl-1,3-diazabutadienyl)cobalt(II) Co(DAD)₂, min. 98% (99.999%-Co) PURATREM
CAS:<p>Bis(1,4-di-t-butyl-1,3-diazabutadienyl)cobalt(II) Co(DAD)2, min. 98% (99.999%-Co) PURATREM</p>Fórmula:C20H40CoN4Pureza:min. 98% (99.999%-Co)Forma y color:dark green-blue xtl.Peso molecular:395.49Nickel(II) acetylacetonate, anhydrous, min. 95%
CAS:<p>Nickel(II) acetylacetonate, anhydrous, min. 95%</p>Fórmula:Ni(CH3COCHCOCH3)2Pureza:min. 95%Forma y color:light green pwdr.Peso molecular:256.93[(S)-(-)-5,5'-Bis(diphenylphosphino)-4,4'-bi-1,3-benzodioxole][4-cyano-3-nitrobenzenecarboxylato][1,2,3-≈-2-propenyl]iridium(III), min. 97%
CAS:<p>[(S)-(-)-5,5'-Bis(diphenylphosphino)-4,4'-bi-1,3-benzodioxole][4-cyano-3-nitrobenzenecarboxylato][1,2,3-η-2-propenyl]iridium(III), min. 97%</p>Fórmula:C49H35IrN2O8P2Pureza:min. 97%Forma y color:yellow pwdr.Peso molecular:1033.98(S,S)-(+)-1,2-Bis[(o-methoxyphenyl)(phenyl)phosphino]ethane(1,5-cyclooctadiene)rhodium(I) tetrafluoroborate, min. 95%
CAS:<p>(S,S)-(+)-1,2-Bis[(o-methoxyphenyl)(phenyl)phosphino]ethane(1,5-cyclooctadiene)rhodium(I) tetrafluoroborate, min. 95%</p>Fórmula:Rh(C8H12)(C28H28O2P2)BF4Pureza:min. 95%Forma y color:orange pwdr.Peso molecular:756.38Nickel(II) dimethylglyoxime, 99%
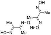
CAS:<p>Nickel(II) dimethylglyoxime, 99%</p>Fórmula:Ni(HC4H6N2O2)2Pureza:99%Forma y color:reddish-purple pwdr.Peso molecular:288.94Titanium(IV) (di-i-propoxide)bis[BREW] (99.99+%-Ti) PURATREM
<p>Titanium(IV) (di-i-propoxide)bis[BREW] (99.99+%-Ti) PURATREM</p>Fórmula:Ti(OC3H7)2CHyC(O)CHC(O)CHy(xyxPureza:(99.99+%-Ti)Forma y color:red-orange liq.Tris(2,2,6,6-tetramethyl-3,5-heptanedionato)cobalt(III), 99% (99.9+%-Co) [Co(TMHD)₃]
CAS:<p>Tris(2,2,6,6-tetramethyl-3,5-heptanedionato)cobalt(III), 99% (99.9+%-Co) [Co(TMHD)3]</p>Fórmula:Co(C11H19O2)3Pureza:(99.9+%-Co)Forma y color:green pwdr.Peso molecular:608.74Nickel(II) hydroxyacetate
CAS:<p>Nickel(II) hydroxyacetate</p>Fórmula:Ni(OOCCH2OH)2Forma y color:green pwdr.Peso molecular:208.75Bis(N,N'-di-i-propylacetamidinato)cobalt(II), min. 98% Co(iPr-MeAMD)2
CAS:<p>Bis(N,N'-di-i-propylacetamidinato)cobalt(II), min. 98% Co(iPr-MeAMD)2</p>Fórmula:(C8H17N2)2CoPureza:min. 98%Forma y color:green xtl.Peso molecular:341.40Bis(N-t-butyl-N'-ethylpropanimidamidato)cobalt(II), min. 98%
CAS:<p>Bis(N-t-butyl-N'-ethylpropanimidamidato)cobalt(II), min. 98%</p>Fórmula:C18H38CoN4Pureza:min. 98%Forma y color:blue-green liq.Peso molecular:369.45Dimethylzinc, min. 99% (10 wt% in hexanes) (Sure/Seal™ bottle)
CAS:<p>Dimethylzinc, min. 99% (10 wt% in hexanes) (Sure/Seal™ bottle)</p>Fórmula:Zn(CH3)2Pureza:min. 99%Forma y color:colorless liq.Peso molecular:95.44(Trimethyl)methylcyclopentadienylplatinum(IV), 99%, 78-1350, contained in 50 ml Swagelok® cylinder (96-1070) for CVD/ALD
CAS:<p>(Trimethyl)methylcyclopentadienylplatinum(IV), 99%, 78-1350, contained in 50 ml Swagelok® cylinder (96-1070) for CVD/ALD</p>Fórmula:(CH3)3(CH3C5H4)PtPureza:99%Forma y color:off-white solidPeso molecular:319.32Zinc phosphate hydrate
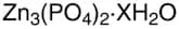
CAS:<p>Zinc phosphate hydrate</p>Fórmula:Zn3(PO4)2·XH2OForma y color:white pwdr.Peso molecular:386.05DC_AC50
CAS:<p>"DC_AC50 inhibits Atox1/CCS to reduce cancer cell growth and prevent chemotherapy resistance."</p>Fórmula:C17H12BrF2N3OSPureza:99.84% - 99.9%Forma y color:SolidPeso molecular:424.263,5-Dinitrocatechol
CAS:<p>OR-486 is an inhibitor of catechol-O-methyl-transferase(COMT) and can be used to prepare the molybdenum (VI)- 3,5-Dinitrocatechol complex.</p>Fórmula:C6H4N2O6Pureza:99.8%Forma y color:SolidPeso molecular:200.11Tetrakis(2,2,6,6-tetramethyl-3,5-heptanedionato)zirconium(IV), 99% [Zr(TMHD)₄]
CAS:<p>Tetrakis(2,2,6,6-tetramethyl-3,5-heptanedionato)zirconium(IV), 99% [Zr(TMHD)4]</p>Fórmula:Zr(C11H19O2)4Pureza:99%Forma y color:white xtl.Peso molecular:824.30Diethylzinc, elec. gr. (99.9998%-Zn) PURATREM
CAS:Fórmula:Zn(C2H5)2Pureza:(99.9998%-Zn)Forma y color:colorless liq.Peso molecular:123.49Dimethylzinc, 99%, 97-5061, contained in 50 ml Swagelok® cylinder (96-1070) for CVD/ALD
CAS:Fórmula:Zn(CH3)2Pureza:99%Forma y color:colorless liq.Peso molecular:95.44Dimethylzinc, elec. gr. (99.999%-Zn) PURATREM
CAS:Fórmula:Zn(CH3)2Pureza:(99.999%-Zn)Forma y color:colorless liq.Peso molecular:95.44Diethylzinc, min. 95%, 93-3030, contained in high-temp 50 ml Swagelok® cylinder (96-1071) for CVD/ALD
CAS:Fórmula:Zn(C2H5)2Pureza:min. 95%Forma y color:colorless liq.Peso molecular:123.49Dimethylzinc, elec. gr. (99.999%-Zn) PURATREM, 97-5060, contained in 50 ml electropolished Swagelok® cylinder (96-1077) for CVD/ALD
CAS:Fórmula:Zn(CH3)2Pureza:(99.999%-Zn)Forma y color:colorless liq.Peso molecular:95.44Tetrakis[(S)-(+)-(1-adamantyl)-(N-phthalimido)acetato]dirhodium(II) Rh₂(S-PTAD)₄
CAS:<p>Tetrakis[(S)-(+)-(1-adamantyl)-(N-phthalimido)acetato]dirhodium(II) Rh2(S-PTAD)4</p>Fórmula:C80H80N4O16Rh2Forma y color:green pwdr.Peso molecular:1559.32Cobalt oxide-molybdenum oxide on alumina (3.5% CoO, 14% MoO₃)
CAS:<p>Cobalt oxide-molybdenum oxide on alumina (3.5% CoO, 14% MoO3)</p>Fórmula:CoO/MoO3/Al2O3Forma y color:1/8'' extrusionsPeso molecular:74.92811Copper powder (99.5%)
CAS:<p>Copper powder (99.5%)</p>Fórmula:CuPureza:(99.5%)Forma y color:-100 meshPeso molecular:63.54Bis(methylcyclopentadienyl)(methyl)(methoxy)zirconium(IV), 98+%
CAS:Fórmula:C14H20OZrPureza:98+%Forma y color:Colorless to light yellow liq.Peso molecular:295.53Silver hexafluoroarsenate(V), 98.5%
CAS:<p>Silver hexafluoroarsenate(V), 98.5%</p>Fórmula:AgAsF6Pureza:98.5%Forma y color:off-white pwdr.Peso molecular:296.78Nickel(II) hydroxide
CAS:<p>Nickel(II) hydroxide</p>Fórmula:Ni(OH)2Forma y color:green pwdr.Peso molecular:92.72rac-Ethylenebis(indenyl)zirconium(IV) dichloride
CAS:<p>rac-Ethylenebis(indenyl)zirconium(IV) dichloride</p>Fórmula:C20H16ZrCl2Forma y color:yellow to orange pwdr.Peso molecular:418.48Dimethylphenylphosphine(1,5-cyclooctadiene)[1,3-bis(2,4,6-trimethylphenyl)imidazol-2-ylidene] iridium(I) tetrakis(3,5-bis(trifluoromethyl)phenylborate, min. 98%
CAS:<p>Dimethylphenylphosphine(1,5-cyclooctadiene)[1,3-bis(2,4,6-trimethylphenyl)imidazol-2-ylidene] iridium(I) tetrakis(3,5-bis(trifluoromethyl)phenylborate, min. 98%</p>Fórmula:C37H47IrN2P(C32H12BF24)Pureza:min. 98%Forma y color:red solidPeso molecular:1606.18Nickel powder (99.9%)
CAS:<p>Nickel powder (99.9%)</p>Fórmula:NiPureza:(99.9%)Forma y color:-300 meshPeso molecular:58.71Zirconium(IV) oxide, 99+%
CAS:<p>Zirconium(IV) oxide, 99+%</p>Fórmula:ZrO2Pureza:99+%Forma y color:white pwdr.Peso molecular:123.22Nickel pellets (99.9%)
CAS:<p>Nickel pellets (99.9%)</p>Fórmula:NiPureza:(99.9%)Forma y color:5-12mmPeso molecular:58.71Bis(i-propylcyclopentadienyl)titanium dichloride, min. 98%
CAS:<p>Bis(i-propylcyclopentadienyl)titanium dichloride, min. 98%</p>Fórmula:(C3H7)C5H4TiCl2Pureza:min. 98%Forma y color:red xtl.Peso molecular:333.14Dimethylbis(t-butylcyclopentadienyl)titanium(IV), min. 98%
CAS:<p>Dimethylbis(t-butylcyclopentadienyl)titanium(IV), min. 98%</p>Fórmula:(C4H9)C5H4Ti(CH3)2Pureza:min. 98%Forma y color:yellow-orange pwdr.Peso molecular:320.35Tetrakis[(R)-(-)-[(1R)-1-(4-bromophenyl)-2,2-diphenylcyclopropanecarboxylato]dirhodium(II) Rh₂(R-BTPCP)₄
CAS:<p>Tetrakis[(R)-(-)-[(1R)-1-(4-bromophenyl)-2,2-diphenylcyclopropanecarboxylato]dirhodium(II) Rh2(R-BTPCP)4</p>Fórmula:C88H64Br4O8Rh2Forma y color:green solidPeso molecular:1774.87Zirconyl 2-ethylhexanoate in mineral spirits (~6% Zr)
CAS:<p>Zirconyl 2-ethylhexanoate in mineral spirits (~6% Zr)</p>Forma y color:liq.Cyclopentadienylzirconium trichloride, min. 98%
CAS:<p>Cyclopentadienylzirconium trichloride, min. 98%</p>Fórmula:(C5H5)ZrCl3Pureza:min. 98%Forma y color:off-white to tan pwdr.Peso molecular:262.67Bis(cyclopentadienyl)zirconium dichloride, 99% (Zirconocene dichloride)
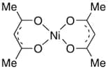
CAS:<p>Bis(cyclopentadienyl)zirconium dichloride, 99% (Zirconocene dichloride)</p>Fórmula:(C5H5)2ZrCl2Pureza:99%Forma y color:white to off-white pwdr.Peso molecular:292.32Bis(2,2,6,6-tetramethyl-3,5-heptanedionato)nickel(II), min. 98% (99.9%-Ni) [Ni(TMHD)₂]
CAS:<p>Bis(2,2,6,6-tetramethyl-3,5-heptanedionato)nickel(II), min. 98% (99.9%-Ni) [Ni(TMHD)2]</p>Fórmula:Ni(C11H19O2)2Pureza:(99.9%-Ni)Forma y color:purple xtl.Peso molecular:425.23Gold 1% on zinc oxide granulate (AUROlite™ Au/ZnO)
CAS:<p>Gold 1% on zinc oxide granulate (AUROlite™ Au/ZnO)</p>Forma y color:dark purple granulate 1-2mm dia.Gold 1% on titanium dioxide extrudates (AUROlite™ Au/TiO₂)
CAS:<p>Gold 1% on titanium dioxide extrudates (AUROlite™ Au/TiO2)</p>Forma y color:dark purple/gray extrudates 1.5mm dia. x 5mm (avg)Tetrakis[(R)-(+)-N-(p-dodecylphenylsulfonyl)prolinato]dirhodium(II) Rh₂(R-DOSP)₄
CAS:<p>Tetrakis[(R)-(+)-N-(p-dodecylphenylsulfonyl)prolinato]dirhodium(II) Rh2(R-DOSP)4</p>Fórmula:C23H36NO4SRh2Forma y color:green pwdr.Peso molecular:1896.22(Dimethylphenylphosphine)(1,5-cyclooctadiene)[1,3-bis(2,4,6-trimethylphenyl)imidazol-2-ylidene]iridium(I) hexafluorophosphate, min. 98%
CAS:<p>(Dimethylphenylphosphine)(1,5-cyclooctadiene)[1,3-bis(2,4,6-trimethylphenyl)imidazol-2-ylidene]iridium(I) hexafluorophosphate, min. 98%</p>Fórmula:Ir(C8H12)(C21H24N2)(C8H11P)PF6Pureza:min. 98%Forma y color:red xtl.Peso molecular:887.93Zinc cyclohexanebutyrate dihydrate (AAS)
CAS:<p>Zinc cyclohexanebutyrate dihydrate (AAS)</p>Fórmula:ZnOOC(CH2)3C6H11·2H2OForma y color:white pwdr.Peso molecular:403.87 (439.90)Triphenylphosphine(1,5-cyclooctadiene)[1,3-bis(2,4,6-trimethylphenyl)imidazol-2-ylidene]iridium(I) hexafluorophosphate, min. 98%
CAS:<p>Triphenylphosphine(1,5-cyclooctadiene)[1,3-bis(2,4,6-trimethylphenyl)imidazol-2-ylidene]iridium(I) hexafluorophosphate, min. 98%</p>Fórmula:Ir(C8H12)(C21H24N2)(C18H15P)PF6Pureza:min. 98%Forma y color:red xtl.Peso molecular:1012.08Copper(II) oxide (99.5+%-Cu)
CAS:<p>Copper(II) oxide (99.5+%-Cu)</p>Fórmula:CuOPureza:(99.5+%-Cu)Forma y color:black pwdr.Peso molecular:79.54Bis(triphenylphosphine)nickel(II) bromide, 99%
CAS:<p>Bis(triphenylphosphine)nickel(II) bromide, 99%</p>Fórmula:(C6H5)3PNiBr2Pureza:99%Forma y color:green xtl.Peso molecular:743.12Triphenylphosphine(1,5-cyclooctadiene)[1,3-bis(2,4,6-trimethylphenyl)imidazol-2-ylidene] iridium(I) tetrakis(3,5-bis(trifluoromethyl)phenylborate, min. 98%
CAS:<p>Triphenylphosphine(1,5-cyclooctadiene)[1,3-bis(2,4,6-trimethylphenyl)imidazol-2-ylidene] iridium(I) tetrakis(3,5-bis(trifluoromethyl)phenylborate, min. 98%</p>Fórmula:C47H51IrN2P(C32H12BF24)Pureza:min. 98%Forma y color:red solidPeso molecular:1730.32Bis(cyclopentadienyl)zirconium chloride hydride (Schwartz's Reagent), 95%
CAS:<p>Bis(cyclopentadienyl)zirconium chloride hydride (Schwartz's Reagent), 95%</p>Fórmula:(C5H5)2ZrClHPureza:95%Forma y color:off-white pwdr.Peso molecular:257.871,5-Cyclooctadiene(≈⁵-indenyl)iridium(I), 99%
CAS:<p>1,5-Cyclooctadiene(η5-indenyl)iridium(I), 99%</p>Fórmula:C17H19IrPureza:99%Forma y color:yellow xtl.Peso molecular:415.55Copper(II) i-butyrate, 99%
CAS:<p>Copper(II) i-butyrate, 99%</p>Fórmula:Cu(OOCC3H7)2Pureza:99%Forma y color:blue pwdr.Peso molecular:237.74Tetrakis(diethylamino)titanium(IV), 99%
CAS:<p>Tetrakis(diethylamino)titanium(IV), 99%</p>Fórmula:TiN(C2H5)2Pureza:99%Forma y color:yellow to orange liq.Peso molecular:336.40n-Butylcyclopentadienylzirconium trichloride
CAS:<p>n-Butylcyclopentadienylzirconium trichloride</p>Fórmula:(C4H9)C5H4ZrCl3Forma y color:dark orange solidPeso molecular:318.78Bis(ethylcyclopentadienyl)nickel, min. 98%
CAS:<p>Bis(ethylcyclopentadienyl)nickel, min. 98%</p>Fórmula:(C2H5)C5H4NiPureza:min. 98%Forma y color:green liq.Peso molecular:244.99Chlorocarbonylgold(I), min. 97%
CAS:<p>Chlorocarbonylgold(I), min. 97%</p>Fórmula:Au(CO)ClPureza:min. 97%Forma y color:off-white pwdr.Peso molecular:260.432,6-Diisopropylphenylimidoneophylidene[(S)-(-)-BIPHEN]molybdenum(VI), min. 97% (S) SCHROCK-HOVEYDA CATALYST
CAS:<p>2,6-Diisopropylphenylimidoneophylidene[(S)-(-)-BIPHEN]molybdenum(VI), min. 97% (S) SCHROCK-HOVEYDA CATALYST</p>Fórmula:Mo(C10H12)(C12H17N)(C24H32O2)Pureza:min. 97%Forma y color:red xtl.Peso molecular:755.93Cyclopentenylferrocene
CAS:Fórmula:C15H16FePureza:>96.0%(T)Forma y color:Light yellow to Brown powder to crystalPeso molecular:252.14Cobalt, Quant∣r Test Strips
<p>This Thermo Scientific Chemicals brand product was originally part of the Alfa Aesar product portfolio. Some documentation and label information may refer to the legacy brand. The original Alfa Aesar product / item code or SKU reference has not changed as a part of the brand transition to Thermo Scientific Chemicals.</p>Nickel Aluminum, Raney∣r type non-activated
CAS:<p>Nickel Aluminum is used for the manufacture of aluminum-nickel alloy powder, and it is used in the chemical, pharmaceutical. This Thermo Scientific Chemicals brand product was originally part of the Alfa Aesar product portfolio. Some documentation and label information may refer to the legacy brand.</p>Fórmula:AlNiPeso molecular:85.67Copper powder, semispherical, -50+70 mesh, 99% (metals basis)
CAS:<p>This Thermo Scientific Chemicals brand product was originally part of the Alfa Aesar product portfolio. Some documentation and label information may refer to the legacy brand. The original Alfa Aesar product / item code or SKU reference has not changed as a part of the brand transition to Thermo Scientific Chemicals.</p>Fórmula:CuPureza:99%Forma y color:Orange to red or red-orange, Semispherical granulesPeso molecular:63.55Copper Beryllium foil, alloy C17200, 0.15mm (0.006in) thick
<p>This Thermo Scientific Chemicals brand product was originally part of the Alfa Aesar product portfolio. Some documentation and label information may refer to the legacy brand. The original Alfa Aesar product / item code or SKU reference has not changed as a part of the brand transition to Thermo Scientific Chemicals.</p>Fórmula:CuBewtSilver foil, 0.38mm (0.015in) thick, hard, 99.99% (metals basis)
CAS:<p>This Thermo Scientific Chemicals brand product was originally part of the Alfa Aesar product portfolio. Some documentation and label information may refer to the legacy brand. The original Alfa Aesar product / item code or SKU reference has not changed as a part of the brand transition to Thermo Scientific Chemicals.</p>Fórmula:AgPureza:99.99%Forma y color:Silver, Foil, 0.38mm (0.015in) thick.Peso molecular:107.87Cobalt nanopowder, APS 25-30nm, 99.8% (metals basis)
CAS:<p>This Thermo Scientific Chemicals brand product was originally part of the Alfa Aesar product portfolio. Some documentation and label information may refer to the legacy brand. The original Alfa Aesar product / item code or SKU reference has not changed as a part of the brand transition to Thermo Scientific Chemicals.</p>Fórmula:CoPureza:99.8%Forma y color:Grey, Powder, APS 25-30 nmPeso molecular:58.93Cobinamide, Co-(acetato-kO)-, dihydrogen phosphate (ester), innersalt, 3'-ester with(5,6-dimethyl-1-a-D-ribofuranosyl-1H-benzimidazole-kN3)
CAS:Fórmula:C64H91CoN13O16PPureza:98%Forma y color:SolidPeso molecular:1388.3918Ref: IN-DA00I4FP
Producto descatalogadoTITANOCENE BIS(TRIFLUOROMETHANESULFONATE)
CAS:Fórmula:C12H10F6O6S2TiPureza:97.00%Forma y color:SolidPeso molecular:476.1916Bis(dimethylglyoximato)cobalt(III) dichloride
CAS:Fórmula:C8H15Cl2CoN4O4Pureza:98%Forma y color:SolidPeso molecular:361.0683Ref: IN-DA01XCXK
Producto descatalogado(R)RuCl[(pcymene)(DMBINAP)]Cl
CAS:Fórmula:C65H71Cl2P2RuPureza:95%Forma y color:SolidPeso molecular:1086.1828Ref: IN-DA003S4L
Producto descatalogadoCarbonylchlorohydrido[bis(2-(diphenylphosphinoethyl)aMino]rutheniuM(II), Min.98% Ru-MACHO
CAS:Fórmula:C29H30ClNOP2RuPureza:98%Forma y color:SolidPeso molecular:607.0251219999999Ref: IN-DA009F4Q
Producto descatalogadoNickel,(1-butanamine)[[2,2'-(thio-kS)bis[4-(1,1,3,3-tetramethylbutyl)phenolato-kO]](2-)]-
CAS:Fórmula:C32H50NNiO2SPureza:98%Forma y color:SolidPeso molecular:571.5033Ref: IN-DA00IML9
Producto descatalogadoTRIS(2,2'-BIPYRIDINE)RUTHENIUM(II) HEXAFLUOROPHOSPHATE
CAS:Fórmula:C30H24F6N6PRuPureza:99%Forma y color:SolidPeso molecular:714.5859402000002Ref: IN-DA00EDMC
Producto descatalogadoTetrabutylammonium bis(3,6-dichloro-1,2-benzenedithiolato)nickelate
CAS:Fórmula:C28H40Cl4NNiS4Pureza:98%Peso molecular:719.3893Bis(pentamethylcyclopentadienyl)zirconium dichloride
CAS:Fórmula:C20H30Cl2ZrPureza:95.0%Forma y color:SolidPeso molecular:432.5822Ref: IN-DA003U4F
Producto descatalogadoCHLORO(PYRIDINE)BIS(DIMETHYLGLYOXIMATO)COBALT(III)
CAS:Fórmula:C13H26ClCoN5O4Pureza:98%Forma y color:SolidPeso molecular:410.7628Ref: IN-DA00C4YS
Producto descatalogado





