
Estándares regulatorios ambientales
Los estándares regulatorios ambientales son materiales de referencia esenciales utilizados para el análisis y monitoreo de contaminantes ambientales en el aire, el agua y el suelo. Estos estándares ayudan a garantizar el cumplimiento de las normativas ambientales nacionales e internacionales, como las establecidas por la EPA o la ISO. En CymitQuimica, ofrecemos una amplia gama de estándares regulatorios ambientales certificados para pruebas y monitoreo ambiental fiables y precisos.
Subcategorías de "Estándares regulatorios ambientales"
Se han encontrado 4329 productos de "Estándares regulatorios ambientales"
Ordenar por
Pureza (%)
0
100
|
0
|
50
|
90
|
95
|
100
2-Isovaleryl-1,3-indanedione
CAS:Producto controladoFórmula:C14H14O3Forma y color:NeatPeso molecular:230.26Trietazine-2-hydroxy 10 µg/mL in Acetonitrile
CAS:Fórmula:C9H17N5OForma y color:Single SolutionPeso molecular:211.26cis-Heptachlor-exo-epoxide (isomer B)
CAS:Producto controladoFórmula:C10H5Cl7OForma y color:NeatPeso molecular:389.322,4,5-T-1-butyl ester
CAS:Producto controladoFórmula:C12H13Cl3O3Forma y color:White SolidPeso molecular:311.59Methyl pentachlorophenylsulfide 100 µg/mL in Cyclohexane
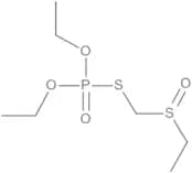
CAS:Fórmula:C7H3Cl5SForma y color:Single SolutionPeso molecular:296.43Omethoate 100 µg/mL in Acetone
CAS:Producto controladoFórmula:C5H12NO4PSForma y color:Single SolutionPeso molecular:213.19Vamidothion-sulfone 100 µg/mL in Acetonitrile
CAS:Producto controladoFórmula:C8H18NO6PS2Forma y color:Single SolutionPeso molecular:319.335Benzyldimethyldodecylammonium D5 (phenyl D5) chloride
Producto controladoFórmula:C21D5H33N·ClForma y color:NeatPeso molecular:345.0169Imidacloprid 10 µg/mL in Acetonitrile
CAS:Fórmula:C9H10ClN5O2Forma y color:Single SolutionPeso molecular:255.66Fenthion-oxon-sulfone 10 µg/mL in Acetonitrile
CAS:Producto controladoFórmula:C10H15O6PSForma y color:Single SolutionPeso molecular:294.26Pirimiphos-ethyl 100 µg/mL in Cyclohexane
CAS:Fórmula:C13H24N3O3PSForma y color:Single SolutionPeso molecular:333.39Phenthoate 100 µg/mL in Isooctane
CAS:Fórmula:C12H17O4PS2Forma y color:Single SolutionPeso molecular:320.36Hexazinone metabolite E
CAS:Fórmula:C10H15N3O4Forma y color:Off White Crystalline PowderPeso molecular:241.24Pyraflufen (free acid) 100 µg/mL in Acetonitrile
CAS:Fórmula:C13H9Cl2F3N2O4Forma y color:Single SolutionPeso molecular:385.12Bromopropylate 100 µg/mL in Cyclohexane
CAS:Fórmula:C17H16Br2O3Forma y color:Single SolutionPeso molecular:428.12Oxathiapiprolin 100 µg/mL in Acetonitrile
CAS:Fórmula:C24H22F5N5O2SForma y color:Single SolutionPeso molecular:539.52Terbumeton-desethyl 10 µg/mL in Methanol
CAS:Producto controladoFórmula:C8H15N5OForma y color:Single SolutionPeso molecular:197.24Glufosinate hydrochloride D3 (methyl D3)
CAS:Producto controladoFórmula:C5H3H9NO4P·ClHForma y color:NeatPeso molecular:220.614-Nitrophenol 10 µg/mL in Acetonitrile
CAS:Fórmula:C6H5NO3Forma y color:Single SolutionPeso molecular:139.11Spirotetramat-mono-hydroxy 10 µg/mL in Acetonitrile
CAS:Producto controladoFórmula:C18H25NO3Forma y color:Single SolutionPeso molecular:303.40Transfluthrin
CAS:Producto controladoFórmula:C15H12Cl2F4O2Forma y color:ColourlessPeso molecular:371.15Deoxynivalenol 13C15 25 µg/mL in Acetonitrile
CAS:Producto controladoFórmula:C15H20O6Forma y color:Single SolutionPeso molecular:311.2055Clodinafop-propargyl ester 100 µg/mL in Acetonitrile
CAS:Producto controladoFórmula:C17H13ClFNO4Forma y color:Single SolutionPeso molecular:349.742,4,5-T-2-ethylhexyl ester
CAS:Producto controladoFórmula:C16H21Cl3O3Forma y color:NeatPeso molecular:367.70d-trans-Tetramethrin 100 µg/mL in Acetonitrile
CAS:Fórmula:C19H25NO4Forma y color:Single SolutionPeso molecular:331.4061Thidiazuron 100 µg/mL in Acetonitrile
CAS:Fórmula:C9H8N4OSForma y color:Single SolutionPeso molecular:220.252-Isopropyl-6-methyl-4-pyrimidinol
CAS:Fórmula:C8H12N2OForma y color:Off White SolidPeso molecular:152.19Milbemycin oxime
CAS:Producto controladoFórmula:C31H43NO7andC32H45NO7Forma y color:NeatPeso molecular:1097.38Chloroparaffin C17 38.2% Cl 100 µg/mL in Cyclohexane
CAS:Producto controladoForma y color:Single SolutionFenthion-oxon 100 µg/mL in Cyclohexane
CAS:Fórmula:C10H15O4PSForma y color:ColourlessPeso molecular:262.26Oxadiazon 100 µg/mL in Cyclohexane
CAS:Producto controladoFórmula:C15H18Cl2N2O3Forma y color:ColourlessPeso molecular:345.22Terbutryn 10 µg/mL in Acetonitrile
CAS:Producto controladoFórmula:C10H19N5SForma y color:Single SolutionPeso molecular:241.36Pyrazoxyfen
CAS:Producto controladoFórmula:C20H16Cl2N2O3Forma y color:Colourless CrystallinePeso molecular:403.26Prometryn 100 µg/mL in Acetonitrile
CAS:Producto controladoFórmula:C10H19N5SForma y color:Single SolutionPeso molecular:241.36S-Metolachlor D6 (propyl D6) 100 µg/mL in Acetonitrile
Producto controladoFórmula:C15D6H16ClNO2Forma y color:Single SolutionPeso molecular:289.8307Chlorothalonil metabolite SYN548008 bis(diisopropylethylammonium)
Fórmula:C8H20N·C8H4Cl2N2O8S2Forma y color:NeatCarbophenothion-sulfoxide
CAS:Producto controladoFórmula:C11H16ClO3PS3Forma y color:NeatPeso molecular:358.86Isoxaflutole-diketonitrile 100 µg/mL in Acetonitrile
CAS:Producto controladoFórmula:C15H12F3NO4SForma y color:Single SolutionPeso molecular:359.322,3,5,6-Tetrachloroaniline 10 µg/mL in Cyclohexane
CAS:Fórmula:C6H3Cl4NForma y color:Single SolutionPeso molecular:230.91(E)-Mevinphos (cis-butenoic acid)
CAS:Producto controladoFórmula:C7H13O6PForma y color:NeatPeso molecular:224.15Pentachlorobenzene 100 µg/mL in Isooctane
CAS:Fórmula:C6HCl5Forma y color:Single SolutionPeso molecular:250.34Disulfoton D10 (di(ethyl D5)) 100 µg/mL in Cyclohexane
CAS:Producto controladoFórmula:C8H10H9O2PS3Forma y color:Single SolutionPeso molecular:284.47Triadimenol isomer A
CAS:Producto controladoFórmula:C14H18ClN3O2Forma y color:NeatPeso molecular:295.76Amisulbrom 100 µg/mL in Acetonitrile
CAS:Fórmula:C13H13BrFN5O4S2Forma y color:Single SolutionPeso molecular:466.31trans-Permethrinic acid D6 (dimethyl D6) 100 µg/mL in Acetone
CAS:Producto controladoFórmula:C8H6H4Cl2O2Forma y color:Single SolutionPeso molecular:215.11Chinomethionat 100 µg/mL in Cyclohexane
CAS:Producto controladoFórmula:C10H6N2OS2Forma y color:Single SolutionPeso molecular:234.30Primisulfuron-methyl
CAS:Producto controladoFórmula:C15H12F4N4O7SForma y color:NeatPeso molecular:468.34Cyclaniliprole 100 µg/mL in Acetonitrile
CAS:Fórmula:C21H17Br2Cl2N5O2Forma y color:ColourlessPeso molecular:602.11Pirimicarb-desmethyl-formamido
CAS:Producto controladoFórmula:C11H16N4O3Forma y color:NeatPeso molecular:252.27(Z)-Pyriminobac-methyl
CAS:Producto controladoFórmula:C17H19N3O6Forma y color:NeatPeso molecular:361.35Fenamidone 100 µg/mL in Cyclohexane
CAS:Fórmula:C17H17N3OSForma y color:Single SolutionPeso molecular:311.40Oxyfluorfen 10 µg/mL in Cyclohexane
CAS:Fórmula:C15H11ClF3NO4Forma y color:Single SolutionPeso molecular:361.70(Z)-Dimethylvinphos
CAS:Producto controladoFórmula:C10H10Cl3O4PForma y color:NeatPeso molecular:331.52Diisopropylnaphthalene (mixture of isomers)
CAS:Fórmula:C16H20Forma y color:ColourlessPeso molecular:212.33Pebulate 10 µg/mL in Acetonitrile
CAS:Producto controladoFórmula:C10H21NOSForma y color:Single SolutionPeso molecular:203.34Haloxyfop (free acid)
CAS:Producto controladoFórmula:C15H11ClF3NO4Forma y color:NeatPeso molecular:361.70Fenoxaprop
CAS:Producto controladoFórmula:C16H12ClNO5Forma y color:Colourless CrystallinePeso molecular:333.72Thiamethoxam D3 (methyl D3)
CAS:Producto controladoFórmula:C8H7D3ClN5O3SForma y color:NeatPeso molecular:294.7338Tritosulfuron metabolite BH635-4 100 µg/mL in Acetonitrile
CAS:Producto controladoFórmula:C10H10F3N5O4SForma y color:Single SolutionPeso molecular:353.28California Oxygenates Mixture 984 Various Concentrations µg/mL in Methanol
CAS:Producto controladoFórmula:C6H14OForma y color:MixturePeso molecular:102.17Paraoxon-ethyl 1000 µg/mL in Acetonitrile
CAS:Producto controladoFórmula:C10H14NO6PForma y color:Single SolutionPeso molecular:275.20Azadirachtin 100 µg/mL in Acetonitrile
CAS:Producto controladoFórmula:C35H44O16Forma y color:Single SolutionPeso molecular:720.72Phosfolan-methyl 100 µg/mL in Acetone
CAS:Producto controladoFórmula:C5H10NO3PS2Forma y color:Single SolutionPeso molecular:227.24Atrazine-desisopropyl-2-hydroxy 100 µg/mL in Methanol
CAS:Producto controladoFórmula:C5H9N5OForma y color:Single SolutionPeso molecular:155.16Pentoxazone 100 µg/mL in Acetonitrile
CAS:Fórmula:C17H17ClFNO4Forma y color:Single SolutionPeso molecular:353.77Endosulfan (mixture of isomers)
CAS:Producto controladoFórmula:C9H6Cl6O3SForma y color:NeatPeso molecular:406.93Flucythrinate 10 µg/mL in Cyclohexane
CAS:Fórmula:C26H23F2NO4Forma y color:Single SolutionPeso molecular:451.46Phosmet-oxon 100 µg/mL in Isooctane
CAS:Fórmula:C11H12NO5PSForma y color:Single SolutionPeso molecular:301.26Chloroparaffin C15 65% Cl 100 µg/mL in Cyclohexane
CAS:Producto controladoForma y color:Single SolutionChloroparaffin C14-C17 57%Cl 1000 µg/mL in Cyclohexane
CAS:Producto controladoForma y color:Single SolutionFuralaxyl (free acid)
CAS:Producto controladoFórmula:C16H17NO4Forma y color:NeatPeso molecular:287.31Triafamone 100 µg/mL in Acetonitrile
CAS:Producto controladoFórmula:C14H13F3N4O5SForma y color:Single SolutionPeso molecular:406.34Difenoxuron 10 µg/mL in Acetonitrile
CAS:Fórmula:C16H18N2O3Forma y color:Single SolutionPeso molecular:286.332-Diethylaminoethyl Hexanoate 1000 µg/mL in Acetone
CAS:Fórmula:C12H25NO2Forma y color:Single SolutionPeso molecular:215.33Diflufenican 100 µg/mL in Acetonitrile
CAS:Fórmula:C19H11F5N2O2Forma y color:Single SolutionPeso molecular:394.29Phorate-oxon-sulfoxide
CAS:Producto controladoFórmula:C7H17O4PS2Forma y color:NeatPeso molecular:260.31Dicamba D3 (methoxy D3)
CAS:Producto controladoFórmula:C8H3H3Cl2O3Forma y color:NeatPeso molecular:224.06Methyl pentachlorophenylsulfide 10 µg/mL in Cyclohexane
CAS:Producto controladoFórmula:C7H3Cl5SForma y color:Single SolutionPeso molecular:296.43β-Cypermethrin 10 µg/mL in Cyclohexane
CAS:Fórmula:C22H19Cl2NO3Forma y color:Single SolutionPeso molecular:416.30Mecoprop D6 (phenyl D3, methyl D3) 100 µg/mL in Acetonitrile
CAS:Producto controladoFórmula:C10H6H5ClO3Forma y color:ColourlessPeso molecular:220.68Glyphosate 100 µg/mL in Water
CAS:Producto controladoFórmula:C3H8NO5PForma y color:Single SolutionPeso molecular:169.074-(3-Indolyl)butyric acid 100 µg/mL in Acetonitrile
CAS:Fórmula:C12H13NO2Forma y color:ColourlessPeso molecular:203.24Benzofenap 10 µg/mL in Cyclohexane
CAS:Producto controladoFórmula:C22H20Cl2N2O3Forma y color:Single SolutionPeso molecular:431.31Chloroparaffin C10 55.00% Cl 10 µg/mL in Cyclohexane
CAS:Producto controladoForma y color:Single SolutionPeso molecular:0.0Chlorthiophos
CAS:Producto controladoFórmula:C11H15Cl2O3PS2Forma y color:Off-WhitePeso molecular:361.24Phorate-sulfone D10
CAS:Producto controladoFórmula:C7D10H7O4PS3Forma y color:NeatPeso molecular:302.442-Trifluoromethyl-4-chloroaniline
CAS:Fórmula:C7H5ClF3NForma y color:Brown LiquidPeso molecular:195.57Chloropicrin 100 µg/mL in Acetonitrile
CAS:Producto controladoFórmula:CCl3NO2Forma y color:Single SolutionPeso molecular:164.38Dichlofenthion 10 µg/mL in Cyclohexane
CAS:Fórmula:C10H13Cl2O3PSForma y color:Single SolutionPeso molecular:315.15Tetrahydrocannabiphorol (THCP) 100 µg/mL in Acetonitrile
CAS:Producto controladoFórmula:C23H34O2Forma y color:Single SolutionPeso molecular:342.512-Naphthoxy acetic acid
CAS:Producto controladoFórmula:C12H10O3Forma y color:NeatPeso molecular:202.21Hexazinone D6 (N,N-dimethyl D6) 100 µg/mL in Acetonitrile
CAS:Producto controladoFórmula:C12H6H14N4O2Forma y color:Single SolutionPeso molecular:258.352-Phenylphenol 100 µg/mL in Acetone
CAS:Producto controladoFórmula:C12H10OForma y color:Single SolutionPeso molecular:170.21(Z)-Chlorfenvinphos 10 µg/mL in Cyclohexane
CAS:Fórmula:C12H14Cl3O4PForma y color:Single SolutionPeso molecular:359.57trans-Cyfluthrin D6 (2,2-dimethyl D6) 100 µg/mL in Acetonitrile
Producto controladoFórmula:C222H6H12Cl2FNO3Forma y color:Single SolutionPeso molecular:440.32Chloroparaffin C10-C13 Mix 2 0.2-2.5 µg/mL in Cyclohexane
CAS:Forma y color:MixturePeso molecular:0.0Fluthiacet-methyl
CAS:Producto controladoFórmula:C15H15ClFN3O3S2Forma y color:NeatPeso molecular:403.88Fluxapyroxad-N-desmethyl
CAS:Producto controladoFórmula:C17H10F5N3OForma y color:NeatPeso molecular:367.2728Triflumizole-amino
CAS:Producto controladoFórmula:C12H14ClF3N2OForma y color:NeatPeso molecular:294.70Azinphos-methyl D6 100 µg/mL in Acetone
CAS:Producto controladoFórmula:C10H6H6N3O3PS2Forma y color:Single SolutionPeso molecular:323.36Fenpropathrin 100 µg/mL in Isooctane
CAS:Producto controladoFórmula:C22H23NO3Forma y color:Single SolutionPeso molecular:349.42Pyroxsulam 100 µg/mL in Acetonitrile
CAS:Fórmula:C14H13F3N6O5SForma y color:Single SolutionPeso molecular:434.35Fenothiocarb 100 µg/mL in Toluene
CAS:Producto controladoFórmula:C13H19NO2SForma y color:Single SolutionPeso molecular:253.36Ochratoxin A 13C20 10 µg/mL in Acetonitrile
CAS:Fórmula:C20H18ClNO6Forma y color:Single SolutionPeso molecular:423.67Pyrimitate 10 µg/mL in Isooctane
CAS:Fórmula:C11H20N3O3PSForma y color:Single SolutionPeso molecular:305.33Bensulfuron-methyl 100 µg/mL in Acetonitrile
CAS:Producto controladoFórmula:C16H18N4O7SForma y color:Single SolutionPeso molecular:410.40Pyrithiobac sodium 100 µg/mL in Acetonitrile
CAS:Producto controladoFórmula:C13H10ClN2O4S·NaForma y color:Single SolutionPeso molecular:348.74Azaconazole 10 µg/mL in Acetonitrile
CAS:Producto controladoFórmula:C12H11Cl2N3O2Forma y color:Single SolutionPeso molecular:300.14Terbuthylazine-desethyl
CAS:Producto controladoFórmula:C7H12ClN5Forma y color:NeatPeso molecular:201.66Chlorimuron-ethyl
CAS:Producto controladoFórmula:C15H15ClN4O6SForma y color:NeatPeso molecular:414.82DDT (technical)
CAS:Producto controladoFórmula:(C14H9Cl5)c(C14H9Cl5)c)mixForma y color:NeatPeso molecular:708.97Norflurazon-desmethyl
CAS:Fórmula:C11H7ClF3N3OForma y color:Light Brown To Dark BrownPeso molecular:289.64Toxaphene Parlar-No. 62 1 µg/mL in Cyclohexane
CAS:Fórmula:C10H9Cl9Forma y color:Single SolutionPeso molecular:448.26Azinphos-methyl 1000 µg/mL in Acetone
CAS:Producto controladoFórmula:C10H12N3O3PS2Forma y color:Single SolutionPeso molecular:317.32Fensulfothion-oxon-sulfone 100 µg/mL in Cyclohexane
CAS:Fórmula:C11H17O6PSForma y color:ColourlessPeso molecular:308.29Dimethipin 100 µg/mL in Methanol
CAS:Producto controladoFórmula:C6H10O4S2Forma y color:Single SolutionPeso molecular:210.27Bromoxynil-octanoate 100 µg/mL in Acetonitrile
CAS:Fórmula:C15H17Br2NO2Forma y color:Single SolutionPeso molecular:403.11Metolachlor-des(chloroacetyl) 100 µg/mL in Acetonitrile
CAS:Producto controladoFórmula:C13H21NOForma y color:Single SolutionPeso molecular:207.31Nitrofen 10 µg/mL in Cyclohexane
CAS:Producto controladoFórmula:C12H7Cl2NO3Forma y color:Single SolutionPeso molecular:284.09

