
Composés organométalliques
Les composés organométalliques sont une classe de produits chimiques qui présentent des liaisons entre des atomes de carbone et des atomes de métal, combinant les propriétés des molécules organiques avec celles des métaux. Ces composés sont essentiels dans divers domaines, notamment la catalyse, la science des matériaux et la chimie de synthèse, en raison de leur réactivité unique et de leur polyvalence. Chez CymitQuimica, nous proposons une large sélection de composés organométalliques de haute pureté, conçus pour répondre aux exigences des applications de recherche et industrielles. Notre catalogue comprend des complexes de métaux de transition, des métallocènes et d'autres réactifs organométalliques spécialisés, tous rigoureusement testés pour leur pureté et leurs performances. En fournissant des composés organométalliques de haute qualité, nous soutenons les chercheurs et les professionnels dans la réalisation de transformations chimiques précises et innovantes, favorisant les avancées dans des domaines tels que la polymérisation, la synthèse pharmaceutique et la nanotechnologie.
Sous-catégories appartenant à la catégorie "Composés organométalliques"
- Réactifs métalliques pour la synthèse organique(947 produits)
- Métallocènes(125 produits)
- Cadre métallo-organique (MOF)(247 produits)
- Ligands organométalliques(3.489 produits)
- Composés organosiliciés(4.745 produits)
- Porphyrines(350 produits)
5630 produits trouvés pour "Composés organométalliques"
Trier par
Degré de pureté (%)
0
100
|
0
|
50
|
90
|
95
|
100
2-(Methoxycarbonyl)phenylboronic Acid (contains varying amounts of Anhydride)
CAS :Formule :C8H9BO4Degré de pureté :97.0 to 111.0 %Couleur et forme :White to Light yellow to Light orange powder to crystalMasse moléculaire :179.97Trichloro(1H,1H,2H,2H-tridecafluoro-n-octyl)silane
CAS :Formule :C8H4Cl3F13SiDegré de pureté :>97.0%(GC)Couleur et forme :Colorless to Almost colorless clear liquidMasse moléculaire :481.534-(9H-Carbazol-9-yl)phenylboronic Acid (contains varying amounts of Anhydride)
CAS :Formule :C18H14BNO2Couleur et forme :White to Almost white powder to crystalMasse moléculaire :287.13Pentylboronic Acid (contains varying amounts of Anhydride)
CAS :Formule :C5H13BO2Degré de pureté :97.0 to 119.0 %Couleur et forme :White to Almost white powder to crystalMasse moléculaire :115.97Potassium 4-Pyridyltrifluoroborate
CAS :Formule :C5H4BF3KNDegré de pureté :>98.0%(T)Couleur et forme :White to Almost white powder to crystalMasse moléculaire :185.00Tris(4-trifluoromethylphenyl)bismuth Dichloride
CAS :Formule :C21H12BiCl2F9Degré de pureté :>98.0%(T)Couleur et forme :White to Almost white powder to crystalMasse moléculaire :715.19Isobutyltrichlorosilane
CAS :Formule :C4H9Cl3SiDegré de pureté :>98.0%(GC)Couleur et forme :Colorless to Almost colorless clear liquidMasse moléculaire :191.55Potassium Cyclopropyltrifluoroborate
CAS :Formule :C3H5BF3KDegré de pureté :>95.0%(T)Couleur et forme :White to Almost white powder to crystalMasse moléculaire :147.98Dimethylamine Hydrobromide
CAS :Formule :C2H7N·HBrDegré de pureté :>98.0%(T)(N)Couleur et forme :White to Almost white powder to crystalMasse moléculaire :126.00Hexylamine Hydrobromide
CAS :Formule :C6H15N·HBrDegré de pureté :>98.0%(T)(N)Couleur et forme :White to Almost white powder to crystalMasse moléculaire :182.114-Fluoro-3-formylphenylboronic Acid (contains varying amounts of Anhydride)
CAS :Formule :C7H6BFO3Couleur et forme :White to Almost white powder to crystalMasse moléculaire :167.93Cyclopentylmagnesium Bromide (ca. 18% in Tetrahydrofuran, ca. 1mol/L)
CAS :Formule :C5H9BrMgCouleur et forme :LiquidMasse moléculaire :173.34N-Benzyl-N-(methoxymethyl)-N-trimethylsilylmethylamine
CAS :Formule :C13H23NOSiDegré de pureté :>98.0%(T)Couleur et forme :Colorless to Light yellow clear liquidMasse moléculaire :237.422,4,6-Triisopropylphenylboronic Acid (contains varying amounts of Anhydride)
CAS :Formule :C15H25BO2Degré de pureté :min. 98.0 area%(HPLC)Couleur et forme :White to Almost white powder to crystalMasse moléculaire :248.17Dimethylphenylsilane
CAS :Formule :C8H12SiDegré de pureté :>97.0%(GC)Couleur et forme :Colorless to Almost colorless clear liquidMasse moléculaire :136.274-[(tert-Butoxycarbonyl)amino]phenylboronic Acid (contains varying amounts of Anhydride)
CAS :Formule :C11H16BNO4Degré de pureté :97.0 to 109.0 %Couleur et forme :White to Almost white powder to crystalMasse moléculaire :237.06tert-Butyldichloro(phenyl)silane
CAS :Formule :C10H14Cl2SiDegré de pureté :>95.0%(GC)Couleur et forme :Colorless to Light yellow to Light orange clear liquidMasse moléculaire :233.21Chlorodimethyl[3-(2,3,4,5,6-pentafluorophenyl)propyl]silane
CAS :Formule :C11H12ClF5SiDegré de pureté :>95.0%(GC)Couleur et forme :Colorless to Light yellow clear liquid to cloudy liquidMasse moléculaire :302.74Hexamethylditin
CAS :Formule :C6H18Sn2Degré de pureté :>98.0%(GC)Couleur et forme :White or Colorless to Light yellow powder to lump to clear liquidMasse moléculaire :327.63Phenylboronic Acid (contains varying amounts of Anhydride)
CAS :Formule :C6H7BO2Degré de pureté :97.0 to 117.0 %Couleur et forme :White to Light yellow to Dark green powder to crystalMasse moléculaire :121.93Bis[3-(trimethoxysilyl)propyl]amine
CAS :Formule :C12H31NO6Si2Degré de pureté :>98.0%(T)Couleur et forme :Colorless to Light yellow to Light orange clear liquidMasse moléculaire :341.551-Thianthrenylboronic Acid (contains varying amounts of Anhydride)
CAS :Formule :C12H9BO2S2Degré de pureté :97.0 to 107.0 %Couleur et forme :White to Orange to Green powder to crystalMasse moléculaire :260.131,4-Naphthalenedicarboxylic Acid
CAS :Formule :C12H8O4Degré de pureté :>95.0%(GC)(T)Couleur et forme :White to Yellow to Orange powder to crystalMasse moléculaire :216.192,6-Bis(4,4,5,5-tetramethyl-1,3,2-dioxaborolan-2-yl)benzo[1,2-b:4,5-b']dithiophene
CAS :Formule :C22H28B2O4S2Degré de pureté :>97.0%(GC)Couleur et forme :White to Light yellow to Light orange powder to crystalMasse moléculaire :442.20Tetrafluorophthalic Acid
CAS :Formule :C8H2F4O4Degré de pureté :>98.0%(T)Couleur et forme :White to Light yellow to Light orange powder to crystalMasse moléculaire :238.091,3-Cyclohexanedicarboxylic Acid (cis- and trans- mixture)
CAS :Formule :C8H12O4Degré de pureté :>98.0%(GC)(T)Couleur et forme :White to Almost white powder to crystalMasse moléculaire :172.18Tetrabutyl Orthotitanate
CAS :Formule :C16H36O4TiCouleur et forme :Colorless to Light yellow to Light orange clear liquidMasse moléculaire :340.332-(4,4,5,5-Tetramethyl-1,3,2-dioxaborolan-2-yl)anisole
CAS :Formule :C13H19BO3Degré de pureté :>98.0%(GC)(T)Couleur et forme :White to Almost white powder to crystalMasse moléculaire :234.102-(9,9-Diphenyl-9H-fluoren-4-yl)-4,4,5,5-tetramethyl-1,3,2-dioxaborolane
CAS :Formule :C31H29BO2Degré de pureté :>98.0%(T)(HPLC)Couleur et forme :White to Almost white powder to crystalMasse moléculaire :444.38cis-1,4-Cyclohexanedicarboxylic Acid
CAS :Formule :C8H12O4Degré de pureté :>90.0%(GC)Couleur et forme :White to Almost white powder to crystalMasse moléculaire :172.182,4-Dibutoxyphenylboronic Acid (contains varying amounts of Anhydride)
CAS :Formule :C14H23BO4Couleur et forme :White to Light yellow to Light orange powder to crystalMasse moléculaire :266.14Diisobutyldimethoxysilane
CAS :Formule :C10H24O2SiDegré de pureté :>98.0%(GC)Couleur et forme :Colorless to Almost colorless clear liquidMasse moléculaire :204.393,4-Dimethoxyphenylboronic Acid (contains varying amounts of Anhydride)
CAS :Formule :C8H11BO4Degré de pureté :97.0 to 111.0 %Couleur et forme :White to Light yellow to Dark green powder to crystalMasse moléculaire :181.982-(Diiodomethyl)-4,4,5,5-tetramethyl-1,3,2-dioxaborolane
CAS :Formule :C7H13BI2O2Degré de pureté :>98.0%(GC)(T)Couleur et forme :White to Light yellow powder to crystalMasse moléculaire :393.80tert-Butylmethoxyphenylsilyl Bromide
CAS :Formule :C11H17BrOSiDegré de pureté :>96.0%(GC)Couleur et forme :Colorless to Almost colorless clear liquid to slightly cloudy liquidMasse moléculaire :273.25Triethoxy(1H,1H,2H,2H-nonafluorohexyl)silane
CAS :Formule :C12H19F9O3SiDegré de pureté :>97.0%(GC)Couleur et forme :Colorless to Almost colorless clear liquidMasse moléculaire :410.35Lead(II) Acetate [for Perovskite precursor]
CAS :Formule :C4H6O4PbDegré de pureté :>98.0%(T)Couleur et forme :White to Almost white powder to crystalMasse moléculaire :325.294-Methylphenylboronic Acid (contains varying amounts of Anhydride)
CAS :Formule :C7H9BO2Degré de pureté :97.0 to 115.0 %Couleur et forme :White to Light yellow to Light orange powder to crystalMasse moléculaire :135.962-Trimethylsilyloxy-1,3-butadiene
CAS :Formule :C7H14OSiDegré de pureté :>95.0%(GC)Couleur et forme :Colorless to Light yellow to Light orange clear liquidMasse moléculaire :142.27Dimethyl 5-(4,4,5,5-Tetramethyl-1,3,2-dioxaborolan-2-yl)isophthalate
CAS :Formule :C16H21BO6Degré de pureté :>98.0%(GC)(T)Couleur et forme :White to Almost white powder to crystalMasse moléculaire :320.15Ethylenediamine Dihydrobromide
CAS :Formule :C2H8N2·2HBrDegré de pureté :>97.0%(T)(N)Couleur et forme :White to Light yellow to Light orange powder to crystalMasse moléculaire :221.92Dimethyl Diselenide
CAS :Formule :C2H6Se2Degré de pureté :>98.0%(GC)Couleur et forme :Light yellow to Brown clear liquidMasse moléculaire :187.993-(Methylthio)phenylboronic Acid (contains varying amounts of Anhydride)
CAS :Formule :C7H9BO2SDegré de pureté :min. 98.0 area%(HPLC)Couleur et forme :White to Light yellow to Light orange powder to crystalMasse moléculaire :168.022-Biphenylboronic Acid (contains varying amounts of Anhydride)
CAS :Formule :C12H11BO2Degré de pureté :97.0 to 110.0 %Couleur et forme :White to Almost white powder to crystalMasse moléculaire :198.032-[2-(Trifluoromethyl)phenyl]-4,4,5,5-tetramethyl-1,3,2-dioxaborolane
CAS :Formule :C13H16BF3O2Degré de pureté :>98.0%(GC)Couleur et forme :Colorless to Almost colorless clear liquidMasse moléculaire :272.07Trichloro[3-(pentafluorophenyl)propyl]silane
CAS :Formule :C9H6Cl3F5SiDegré de pureté :>98.0%(GC)Couleur et forme :Colorless to Almost colorless clear liquidMasse moléculaire :343.571-(Trimethylsilyl)-1-pentyne
CAS :Formule :C8H16SiDegré de pureté :>98.0%(GC)Couleur et forme :Colorless to Light yellow clear liquidMasse moléculaire :140.302-Chloro-4-ethoxyphenylboronic Acid (contains varying amounts of Anhydride)
CAS :Formule :C8H10BClO3Degré de pureté :98.0 to 110.0 %Couleur et forme :White to Almost white powder to crystalMasse moléculaire :200.432-Chloro-5-(4,4,5,5-tetramethyl-1,3,2-dioxaborolan-2-yl)pyrimidine
CAS :Formule :C10H14BClN2O2Degré de pureté :>98.0%(GC)(T)Couleur et forme :White to Yellow to Orange powder to crystalMasse moléculaire :240.492-Bromopyridine-3-boronic Acid (contains varying amounts of Anhydride)
CAS :Formule :C5H5BBrNO2Degré de pureté :min. 98.0 area%(HPLC)Couleur et forme :White to Light yellow powder to crystalMasse moléculaire :201.813-Aminopropyldimethoxymethylsilane
CAS :Formule :C6H17NO2SiDegré de pureté :>97.0%(GC)(T)Couleur et forme :Colorless to Almost colorless clear liquidMasse moléculaire :163.294-Amylphenylboronic Acid (contains varying amounts of Anhydride)
CAS :Formule :C11H17BO2Couleur et forme :White to Almost white powder to crystalMasse moléculaire :192.07Potassium Trifluoro(methyl)borate
CAS :Formule :CH3BF3KDegré de pureté :>97.0%(W)Couleur et forme :White to Almost white powder to crystalMasse moléculaire :121.94N,N-Dimethyl-1,3-propanediamine Dihydroiodide
CAS :Formule :C5H14N2·2HIDegré de pureté :>97.0%(T)Couleur et forme :White to Light yellow powder to crystalMasse moléculaire :358.012,4,6,8-Tetramethyl-2,4,6,8-tetravinylcyclotetrasiloxane
CAS :Formule :C12H24O4Si4Degré de pureté :>97.0%(GC)Couleur et forme :Colorless to Almost colorless clear liquidMasse moléculaire :344.66Potassium 2-Thienyltrifluoroborate
CAS :Formule :C4H3BF3KSDegré de pureté :>98.0%(T)(HPLC)Couleur et forme :White to Almost white powder to crystalMasse moléculaire :190.031-(tert-Butyldimethylsilyloxy)-1-methoxyethene
CAS :Formule :C9H20O2SiDegré de pureté :>97.0%(GC)Couleur et forme :Colorless to Almost colorless clear liquidMasse moléculaire :188.349-Anthraceneboronic Acid (contains varying amounts of Anhydride)
CAS :Formule :C14H11BO2Degré de pureté :>98.0%(HPLC)Couleur et forme :White to Orange to Green powder to crystalMasse moléculaire :222.05Chloro(dimethyl)thexylsilane
CAS :Formule :C8H19ClSiDegré de pureté :>95.0%(GC)Couleur et forme :Colorless to Almost colorless clear liquidMasse moléculaire :178.78Chlorotriethoxysilane
CAS :Formule :C6H15ClO3SiDegré de pureté :>95.0%(GC)Couleur et forme :Colorless to Almost colorless clear liquidMasse moléculaire :198.72Diethoxymethylsilane [Hydrosilylating Reagent]
CAS :Formule :C5H14O2SiDegré de pureté :>95.0%(GC)Couleur et forme :Colorless to Almost colorless clear liquidMasse moléculaire :134.251,1'-Ferrocenediboronic Acid (contains varying amounts of Anhydride)
CAS :Formule :C10H12B2FeO4Degré de pureté :>95.0%(T)Couleur et forme :Light yellow to Amber to Dark green powder to crystalMasse moléculaire :273.67(Phenylthiomethyl)trimethylsilane
CAS :Formule :C10H16SSiDegré de pureté :>98.0%(GC)Couleur et forme :Colorless to Almost colorless clear liquidMasse moléculaire :196.38Trimethoxy-n-octylsilane
CAS :Formule :C11H26O3SiDegré de pureté :>96.0%(GC)Couleur et forme :Colorless to Almost colorless clear liquidMasse moléculaire :234.41Trimethoxy(1H,1H,2H,2H-tridecafluoro-n-octyl)silane
CAS :Formule :C11H13F13O3SiDegré de pureté :>97.0%(GC)Couleur et forme :Colorless to Almost colorless clear liquidMasse moléculaire :468.29Dichlorophenylborane
CAS :Formule :C6H5BCl2Degré de pureté :>98.0%(T)Couleur et forme :Colorless to Light yellow clear liquidMasse moléculaire :158.823-n-Octyl-2-(4,4,5,5-tetramethyl-1,3,2-dioxaborolan-2-yl)thiophene
CAS :Formule :C18H31BO2SDegré de pureté :>98.0%(GC)Couleur et forme :Light orange to Yellow to Green clear liquidMasse moléculaire :322.31Tetrakis(dimethylsilyloxy)silane
CAS :Formule :C8H28O4Si5Degré de pureté :>96.0%(GC)Couleur et forme :Colorless to Almost colorless clear liquidMasse moléculaire :328.734,4,5,5-Tetramethyl-2-(o-tolyl)-1,3,2-dioxaborolane
CAS :Formule :C13H19BO2Degré de pureté :>97.0%(GC)(T)Couleur et forme :Colorless to Almost colorless clear liquidMasse moléculaire :218.10Decamethyltetrasiloxane
CAS :Formule :C10H30O3Si4Degré de pureté :>97.0%(GC)Couleur et forme :Colorless to Almost colorless clear liquidMasse moléculaire :310.694,4,5,5-Tetramethyl-2-(naphthalen-1-ylmethyl)-1,3,2-dioxaborolane
CAS :Formule :C17H21BO2Degré de pureté :>95.0%(T)Couleur et forme :White - Pale Yellow SolidMasse moléculaire :268.169,10-Bis(4,4,5,5-tetramethyl-1,3,2-dioxaborolan-2-yl)anthracene
CAS :Formule :C26H32B2O4Degré de pureté :>98.0%(GC)Couleur et forme :White to Light yellow powder to crystalMasse moléculaire :430.162-(4,4,5,5-Tetramethyl-1,3,2-dioxaborolan-2-yl)-9H-carbazole
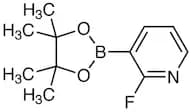
CAS :Formule :C18H20BNO2Degré de pureté :>98.0%(GC)Couleur et forme :White to Orange to Green powder to crystalMasse moléculaire :293.172-Fluoro-3-(4,4,5,5-tetramethyl-1,3,2-dioxaborolan-2-yl)pyridine
CAS :Formule :C11H15BFNO2Degré de pureté :>98.0%(GC)(T)Couleur et forme :White to Almost white powder to lumpMasse moléculaire :223.05Dibutyltin Oxide
CAS :Formule :C8H18OSnDegré de pureté :>95.0%(W)Couleur et forme :White to Almost white powder to crystalMasse moléculaire :248.94Aluminum Ethoxide
CAS :Formule :C6H15AlO3Degré de pureté :>98.0%(T)Couleur et forme :White to Light yellow powder to crystalMasse moléculaire :162.16Dimesitylfluoroborane
CAS :Formule :C18H22BFDegré de pureté :>98.0%(HPLC)Couleur et forme :White to Light yellow powder to crystalMasse moléculaire :268.18Propylamine Hydrobromide
CAS :Formule :C3H9N·HBrDegré de pureté :>97.0%(T)(N)Couleur et forme :White to Almost white powder to crystalMasse moléculaire :140.02Decyltriethoxysilane
CAS :Formule :C16H36O3SiDegré de pureté :>98.0%(GC)Couleur et forme :Colorless to Almost colorless clear liquidMasse moléculaire :304.559,10-Diphenylanthracene-2-boronic Acid (contains varying amounts of Anhydride)
CAS :Formule :C26H19BO2Degré de pureté :97.0 to 106.0 %Couleur et forme :Light yellow to Yellow to Green powder to crystalMasse moléculaire :374.25Dimethoxy(methyl)(3,3,3-trifluoropropyl)silane
CAS :Formule :C6H13F3O2SiDegré de pureté :>98.0%(GC)Couleur et forme :Colorless to Almost colorless clear liquidMasse moléculaire :202.251,1,1,3,3-Pentamethyldisiloxane
CAS :Formule :C5H16OSi2Degré de pureté :>95.0%(GC)Couleur et forme :Colorless to Almost colorless clear liquidMasse moléculaire :148.35Aluminum sec-Butoxide
CAS :Formule :C12H27AlO3Degré de pureté :>98.0%(T)Couleur et forme :Colorless to Yellow clear liquidMasse moléculaire :246.332-Methylpyridine-5-boronic Acid Hydrochloride (contains varying amounts of Anhydride)
CAS :Formule :C6H8BNO2·HClDegré de pureté :95.0 to 110.0 %Couleur et forme :White to Almost white powder to crystalMasse moléculaire :173.403,4,5-Trichlorophenylboronic Acid (contains varying amounts of Anhydride)
CAS :Formule :C6H4BCl3O2Degré de pureté :98.0 to 109.0 %Couleur et forme :White to Almost white powder to crystalMasse moléculaire :225.266-Ethoxy-2-naphthaleneboronic Acid (contains varying amounts of Anhydride)
CAS :Formule :C12H13BO3Couleur et forme :White to Almost white powder to crystalMasse moléculaire :216.044-Pyridylboronic Acid (contains varying amounts of Anhydride)
CAS :Formule :C5H6BNO2Couleur et forme :White to Light yellow to Light orange powder to crystalMasse moléculaire :122.921,3-Bis(4-hydroxybutyl)tetramethyldisiloxane
CAS :Formule :C12H30O3Si2Degré de pureté :>96.0%(GC)Couleur et forme :Colorless to Almost colorless clear liquidMasse moléculaire :278.54o-Tolylmagnesium Bromide (ca. 17% in Tetrahydrofuran, ca. 0.9mol/L)
CAS :Formule :C7H7BrMgCouleur et forme :LiquidMasse moléculaire :195.34Chlorotrimethylsilane
CAS :Formule :C3H9ClSiDegré de pureté :>98.0%(GC)Couleur et forme :Colorless to Light yellow to Light orange clear liquidMasse moléculaire :108.64Cyclopropylmagnesium Bromide (ca. 10% in Tetrahydrofuran, ca. 0.7mol/L)
CAS :Formule :C3H5BrMgCouleur et forme :LiquidMasse moléculaire :145.28Ethylmagnesium Bromide (13% in Tetrahydrofuran, ca. 1mol/L)
CAS :Formule :C2H5BrMgCouleur et forme :LiquidMasse moléculaire :133.271,2-Di(4-pyridyl)ethylene
CAS :Formule :C12H10N2Degré de pureté :>98.0%(GC)(T)Couleur et forme :White to Yellow to Orange powder to crystalMasse moléculaire :182.23Allyltrimethylsilane
CAS :Formule :C6H14SiDegré de pureté :>98.0%(GC)Couleur et forme :Colorless to Almost colorless clear liquidMasse moléculaire :114.264-(Tetrahydro-2H-pyran-2-yloxy)phenylboronic Acid (contains varying amounts of Anhydride)
CAS :Formule :C11H15BO4Degré de pureté :98.0 to 109.0 %Couleur et forme :White to Light yellow powder to crystalMasse moléculaire :222.053-Aminopropyltrimethoxysilane
CAS :Formule :C6H17NO3SiDegré de pureté :>96.0%(GC)(T)Couleur et forme :Colorless to Almost colorless clear liquidMasse moléculaire :179.292-Hydroxyphenylboronic Acid (contains varying amounts of Anhydride)
CAS :Formule :C6H7BO3Couleur et forme :White to Light yellow to Light orange powder to crystalMasse moléculaire :137.93Di-n-octyltin Oxide
CAS :Formule :C16H34OSnDegré de pureté :>98.0%(W)Couleur et forme :White to Almost white powder to crystalMasse moléculaire :361.164-Cyanophenylboronic Acid (contains varying amounts of Anhydride)
CAS :Formule :C7H6BNO2Degré de pureté :97.0 and le 114.0 %Couleur et forme :White to Almost white powder to crystalMasse moléculaire :146.943-Fluoro-4-(methoxycarbonyl)phenylboronic Acid (contains varying amounts of Anhydride)
CAS :Formule :C8H8BFO4Degré de pureté :97.0 to 110.0 %Couleur et forme :White to Almost white powder to crystalMasse moléculaire :197.96Trimellitic Acid
CAS :Formule :C9H6O6Degré de pureté :>98.0%(T)(HPLC)Couleur et forme :White to Almost white powder to crystalMasse moléculaire :210.142-Aminoethyl Diphenylborinate
CAS :Formule :C14H16BNODegré de pureté :>98.0%(T)(HPLC)Couleur et forme :White to Almost white powder to crystalMasse moléculaire :225.103-Thiopheneboronic Acid (contains varying amounts of Anhydride)
CAS :Formule :C4H5BO2SDegré de pureté :97.0 and le 116.0 %Couleur et forme :White to Light yellow powder to crystalMasse moléculaire :127.95Phenylmagnesium Iodide (ca. 42% in Ethyl Ether, ca. 2mol/L)
CAS :Formule :C6H5IMgCouleur et forme :LiquidMasse moléculaire :228.32N1-[3-[Diethoxy(methyl)silyl]propyl]ethane-1,2-diamine
CAS :Formule :C10H26N2O2SiDegré de pureté :>97.0%(GC)(T)Couleur et forme :Colorless to Light yellow clear liquidMasse moléculaire :234.429-Phenyl-3-(4,4,5,5-tetramethyl-1,3,2-dioxaborolan-2-yl)carbazole
CAS :Formule :C24H24BNO2Degré de pureté :>98.0%(T)(HPLC)Couleur et forme :White to Almost white powder to crystalMasse moléculaire :369.27Diethoxydimethylsilane
CAS :Formule :C6H16O2SiDegré de pureté :>98.0%(GC)Couleur et forme :Colorless to Almost colorless clear liquidMasse moléculaire :148.284-(4,4,5,5-Tetramethyl-1,3,2-dioxaborolan-2-yl)benzoic Acid
CAS :Formule :C13H17BO4Degré de pureté :>98.0%(GC)(T)Couleur et forme :White to Almost white powder to crystalMasse moléculaire :248.094-Butylphenylboronic Acid (contains varying amounts of Anhydride)
CAS :Formule :C10H15BO2Couleur et forme :White to Orange to Green powder to crystalMasse moléculaire :178.04Triacetoxyethylsilane
CAS :Formule :C8H14O6SiDegré de pureté :>98.0%(qNMR)Couleur et forme :Colorless to Light yellow clear liquidMasse moléculaire :234.283,3'-Bipyridyl
CAS :Formule :C10H8N2Degré de pureté :>98.0%(GC)(T)Couleur et forme :Colorless to Light yellow to Light orange clear liquidMasse moléculaire :156.191-(Tetrahydropyran-2-yl)-5-(4,4,5,5-tetramethyl-1,3,2-dioxaborolan-2-yl)pyrazole
CAS :Formule :C14H23BN2O3Degré de pureté :>98.0%(GC)(T)Couleur et forme :White to Almost white powder to crystalMasse moléculaire :278.163-Formyl-2-methoxyphenylboronic Acid (contains varying amounts of Anhydride)
CAS :Formule :C8H9BO4Degré de pureté :97.0 to 112.0 %Couleur et forme :White to Light yellow powder to crystalMasse moléculaire :179.97(2-Bromoallyl)trimethylsilane
CAS :Formule :C6H13BrSiDegré de pureté :>90.0%(GC)Couleur et forme :Colorless to Light orange to Yellow clear liquidMasse moléculaire :193.16Diethylzinc (ca. 15% in Hexane, ca. 1mol/L)
CAS :Formule :C4H10ZnCouleur et forme :Colorless to Light gray clear liquid to cloudy liquidMasse moléculaire :123.509,9-Bis(2-ethylhexyl)-2,7-bis(4,4,5,5-tetramethyl-1,3,2-dioxaborolan-2-yl)fluorene
CAS :Formule :C41H64B2O4Degré de pureté :>98.0%(HPLC)Couleur et forme :White to Almost white powder to crystalMasse moléculaire :642.58Diethoxydiphenylsilane
CAS :Formule :C16H20O2SiDegré de pureté :>98.0%(GC)Couleur et forme :Colorless to Almost colorless clear liquidMasse moléculaire :272.424-Bromophthalic Acid
CAS :Formule :C8H5BrO4Degré de pureté :>98.0%(T)Couleur et forme :White to Light yellow powder to crystalMasse moléculaire :245.036-(Morpholino)pyridine-3-boronic Acid (contains varying amounts of Anhydride)
CAS :Formule :C9H13BN2O3Degré de pureté :97.0 to 110.0 %Couleur et forme :White to Orange to Green powder to crystalMasse moléculaire :208.023-(Trichlorosilyl)propyl 2-Bromo-2-methylpropanoate
CAS :Formule :C7H12BrCl3O2SiDegré de pureté :>95.0%(GC)Couleur et forme :Colorless to Light orange to Yellow clear liquidMasse moléculaire :342.51Tris(hexafluoroisopropyl) Borate
CAS :Formule :C9H3BF18O3Degré de pureté :>95.0%(GC)(T)Couleur et forme :White powder to lumpMasse moléculaire :511.901-Carbobenzoxy-1,2,3,6-tetrahydro-4-(4,4,5,5-tetramethyl-1,3,2-dioxaborolan-2-yl)pyridine
CAS :Formule :C19H26BNO4Degré de pureté :>98.0%(GC)(T)Couleur et forme :White to Light yellow powder to crystalMasse moléculaire :343.23Triphenylarsine
CAS :Formule :C18H15AsDegré de pureté :>98.0%(GC)(T)Couleur et forme :White to Light yellow to Light orange powder to crystalMasse moléculaire :306.242-(9H-Carbazol-9-yl)phenylboronic Acid (contains varying amounts of Anhydride)
CAS :Formule :C18H14BNO2Degré de pureté :97.0 to 107.0 %Couleur et forme :White to Almost white powder to crystalMasse moléculaire :287.13N,N-Dimethyl-4-(4,4,5,5-tetramethyl-1,3,2-dioxaborolan-2-yl)aniline
CAS :Formule :C14H22BNO2Degré de pureté :>98.0%(GC)(T)Couleur et forme :White to Light yellow powder to crystalMasse moléculaire :247.15Tetrakis(3-bromophenyl)silane
CAS :Formule :C24H16Br4SiDegré de pureté :>98.0%(GC)Couleur et forme :White to Light yellow powder to crystalMasse moléculaire :652.09(Chloromethyl)diethoxy(methyl)silane
CAS :Formule :C6H15ClO2SiDegré de pureté :>98.0%(GC)Couleur et forme :Colorless to Almost colorless clear liquidMasse moléculaire :182.722-(Bromomethyl)phenylboronic Acid (contains varying amounts of Anhydride)
CAS :Formule :C7H8BBrO2Couleur et forme :White to Light yellow powder to crystalMasse moléculaire :214.852-Allyl-5,5-dimethyl-1,3,2-dioxaborinane (stabilized with Phenothiazine)
CAS :Formule :C8H15BO2Degré de pureté :>98.0%(GC)(T)Couleur et forme :Colorless to Light yellow to Light orange clear liquidMasse moléculaire :154.02Potassium Ethyltrifluoroborate
CAS :Formule :C2H5BF3KDegré de pureté :>97.0%(W)Couleur et forme :White to Almost white powder to crystalMasse moléculaire :135.972-(2-Bromophenyl)-4,4,5,5-tetramethyl-1,3,2-dioxaborolane
CAS :Formule :C12H16BBrO2Degré de pureté :>97.0%(T)Couleur et forme :Colorless to Light orange to Yellow clear liquidMasse moléculaire :282.97Formamidine Hydroiodide (99.99%, trace metals basis) [for Perovskite precursor]
CAS :Formule :CH4N2·HIDegré de pureté :>99.0%(T)Couleur et forme :White to Almost white powder to crystalineMasse moléculaire :171.973-(Trimethylsilylethynyl)thiophene
CAS :Formule :C9H12SSiDegré de pureté :>98.0%(GC)Couleur et forme :White to Orange to Green powder to lumpMasse moléculaire :180.343-Mercaptopropyl(dimethoxy)methylsilane
CAS :Formule :C6H16O2SSiDegré de pureté :>95.0%(GC)Couleur et forme :Colorless to Almost colorless clear liquidMasse moléculaire :180.343-Acrylamidophenylboronic Acid (contains varying amounts of Anhydride)
CAS :Formule :C9H10BNO3Degré de pureté :min. 97.0 area%(HPLC)Couleur et forme :White to Brown powder to crystalMasse moléculaire :190.99Thieno[3,2-b]thiophene-2-boronic Acid (contains varying amounts of Anhydride)
CAS :Formule :C6H5BO2S2Couleur et forme :White to Light yellow to Green powder to crystalMasse moléculaire :184.03p-Tolylmagnesium Bromide (19% in Tetrahydrofuran, ca. 1mol/L)
CAS :Formule :C7H7BrMgCouleur et forme :LiquidMasse moléculaire :195.343-[[Dimethyl(vinyl)silyl]oxy]-1,1,5,5-tetramethyl-3-phenyl-1,5-divinyltrisiloxane
CAS :Formule :C18H32O3Si4Degré de pureté :>98.0%(GC)Couleur et forme :Colorless to Almost colorless clear liquidMasse moléculaire :408.792-(Pivalamido)phenylboronic Acid (contains varying amounts of Anhydride)
CAS :Formule :C11H16BNO3Degré de pureté :97.0 to 109.0 %Couleur et forme :White to Almost white powder to crystalMasse moléculaire :221.06Trimethoxy(7-octen-1-yl)silane
CAS :Formule :C11H24O3SiDegré de pureté :>90.0%(GC)Couleur et forme :Colorless to Almost colorless clear liquidMasse moléculaire :232.40N-(Trimethylsilyl)diethylamine
CAS :Formule :C7H19NSiDegré de pureté :>98.0%(GC)Couleur et forme :Colorless to Light yellow clear liquidMasse moléculaire :145.322-Cyanophenylboronic Acid (contains varying amounts of Anhydride)
CAS :Formule :C7H6BNO2Couleur et forme :White to Almost white powder to crystalMasse moléculaire :146.94tert-Butyldimethylsilane
CAS :Formule :C6H16SiDegré de pureté :>95.0%(GC)Couleur et forme :Colorless to Almost colorless clear liquidMasse moléculaire :116.28Diacetoxydimethylsilane
CAS :Formule :C6H12O4SiDegré de pureté :>97.0%(GC)(T)Couleur et forme :Colorless to Light yellow to Light red clear liquidMasse moléculaire :176.24Dimethyldiphenylsilane
CAS :Formule :C14H16SiDegré de pureté :>97.0%(GC)Couleur et forme :Colorless to Almost colorless clear liquidMasse moléculaire :212.375-(4,4,5,5-Tetramethyl-1,3,2-dioxaborolan-2-yl)oxindole
CAS :Formule :C14H18BNO3Degré de pureté :>96.0%(GC)(T)Couleur et forme :White to Light yellow to Light orange powder to crystalMasse moléculaire :259.11Trimethoxy[3-(methylamino)propyl]silane
CAS :Formule :C7H19NO3SiDegré de pureté :>95.0%(GC)(T)Couleur et forme :Colorless to Light yellow clear liquidMasse moléculaire :193.322-Fluoro-5-(trifluoromethyl)phenylboronic Acid (contains varying amounts of Anhydride)
CAS :Formule :C7H5BF4O2Degré de pureté :98.0 to 110.0 %Couleur et forme :White to Almost white powder to crystalMasse moléculaire :207.921,2-Bis(trichlorosilyl)ethane
CAS :Formule :C2H4Cl6Si2Degré de pureté :>97.0%(T)Couleur et forme :White or Colorless to Light yellow powder to lump to clear liquidMasse moléculaire :296.924,4,5,5-Tetramethyl-2-(3-perylenyl)-1,3,2-dioxaborolane
CAS :Formule :C26H23BO2Degré de pureté :>97.0%(GC)Couleur et forme :Light yellow to Yellow powder to crystalMasse moléculaire :378.282-Phenyl-4,4,5,5-tetramethyl-1,3,2-dioxaborolane
CAS :Formule :C12H17BO2Degré de pureté :>98.0%(GC)Couleur et forme :White to Almost white powder to lumpMasse moléculaire :204.083-Chloro-2-fluorophenylboronic Acid (contains varying amounts of Anhydride)
CAS :Formule :C6H5BClFO2Couleur et forme :White to Almost white powder to crystalMasse moléculaire :174.36Triethoxy-1H,1H,2H,2H-tridecafluoro-n-octylsilane
CAS :Formule :C14H19F13O3SiDegré de pureté :>97.0%(GC)Couleur et forme :Colorless to Light yellow clear liquidMasse moléculaire :510.371,2,3,4-Cyclopentanetetracarboxylic Acid
CAS :Formule :C9H10O8Degré de pureté :>98.0%(GC)(T)Couleur et forme :White to Almost white powder to crystalMasse moléculaire :246.172-(3,5-Difluorophenyl)-4,4,5,5-tetramethyl-1,3,2-dioxaborolane
CAS :Formule :C12H15BF2O2Degré de pureté :>98.0%(GC)(T)Couleur et forme :White to Light yellow powder to crystalMasse moléculaire :240.06Diallyldimethylsilane
CAS :Formule :C8H16SiDegré de pureté :>97.0%(GC)Couleur et forme :Colorless to Almost colorless clear liquidMasse moléculaire :140.303-(Hydroxymethyl)-4-methoxyphenylboronic Acid (contains varying amounts of Anhydride)
CAS :Formule :C8H11BO4Degré de pureté :97.0 to 111.0 %Couleur et forme :White to Light yellow powder to crystalMasse moléculaire :181.985,10,15,20-Tetra(4-pyridyl)porphyrin
CAS :Formule :C40H26N8Degré de pureté :>93.0%(HPLC)Couleur et forme :Gray to Dark purple to Black powder to crystalMasse moléculaire :618.70Triethoxyfluorosilane
CAS :Formule :C6H15FO3SiDegré de pureté :>93.0%(GC)Couleur et forme :Colorless to Light orange to Yellow clear liquidMasse moléculaire :182.27Triphenylborane - Triphenylphosphine Complex
CAS :Formule :C36H30BPDegré de pureté :>97.0%(T)Couleur et forme :White to Almost white powder to crystalMasse moléculaire :504.425'-Formyl-2,2'-bithiophene-5-boronic Acid (contains varying amounts of Anhydride)
CAS :Formule :C9H7BO3S2Degré de pureté :85.0 to 108.0 %Couleur et forme :Light yellow to Amber to Dark green powder to crystalMasse moléculaire :238.082-(Dimethylaminomethyl)phenylboronic Acid (contains varying amounts of Anhydride)
CAS :Formule :C9H14BNO2Degré de pureté :98.0 to 111.0 %Couleur et forme :White to Almost white powder to crystalMasse moléculaire :179.03Triisopropanolamine Borate
CAS :Formule :C9H18BNO3Degré de pureté :>98.0%(N)Couleur et forme :White to Orange to Green powder to crystalMasse moléculaire :199.064-Benzyloxy-3-chlorophenylboronic Acid (contains varying amounts of Anhydride)
CAS :Formule :C13H12BClO3Degré de pureté :min. 98.0 area%(HPLC)Couleur et forme :White to Almost white powder to crystalMasse moléculaire :262.504-tert-Butylphenylboronic Acid (contains varying amounts of Anhydride)
CAS :Formule :C10H15BO2Couleur et forme :White to Light yellow to Light orange powder to crystalMasse moléculaire :178.04Azobenzene-4,4'-dicarboxylic Acid
CAS :Formule :C14H10N2O4Degré de pureté :>95.0%(T)(HPLC)Couleur et forme :Light yellow to Brown powder to crystalMasse moléculaire :270.242-(Diisopropylsilyl)pyridine
CAS :Formule :C11H19NSiDegré de pureté :>95.0%(GC)Couleur et forme :Colorless to Light orange to Yellow clear liquidMasse moléculaire :193.372,3-Pyrazinedicarboxylic Acid
CAS :Formule :C6H4N2O4Degré de pureté :>98.0%(T)(HPLC)Couleur et forme :White to Almost white powder to crystalMasse moléculaire :168.11Tetraethylsilane
CAS :Formule :C8H20SiDegré de pureté :>97.0%(GC)Couleur et forme :Colorless to Almost colorless clear liquidMasse moléculaire :144.33Hexyltrimethoxysilane
CAS :Formule :C9H22O3SiDegré de pureté :>98.0%(GC)Couleur et forme :Colorless to Almost colorless clear liquidMasse moléculaire :206.364,4'-Di(4-pyridyl)biphenyl
CAS :Formule :C22H16N2Degré de pureté :>95.0%(GC)Couleur et forme :White to Yellow to Orange powder to crystalMasse moléculaire :308.38Hexadecamethylcyclooctasiloxane
CAS :Formule :C16H48O8Si8Degré de pureté :>96.0%(GC)Couleur et forme :White or Colorless to Almost white or Almost colorless powder to lump to clear liquidMasse moléculaire :593.232,7-Bis(4,4,5,5-tetramethyl-1,3,2-dioxaborolan-2-yl)pyrene
CAS :Formule :C28H32B2O4Degré de pureté :>97.0%(GC)Couleur et forme :White to Almost white powder to crystalMasse moléculaire :454.189-Phenanthreneboronic Acid (contains varying amounts of Anhydride)
CAS :Formule :C14H11BO2Couleur et forme :White to Light yellow to Light orange powder to crystalMasse moléculaire :222.052-Vinylphenylboronic Acid (contains varying amounts of Anhydride)
CAS :Formule :C8H9BO2Degré de pureté :97.0 to 114.0 %Couleur et forme :White to Almost white powder to crystalMasse moléculaire :147.971,3-Diaminopropane Dihydroiodide
CAS :Formule :C3H10N2·2HIDegré de pureté :>98.0%(qNMR)Couleur et forme :White to Light yellow powder to crystalMasse moléculaire :329.959,9-Diphenylfluorene-2-boronic Acid (contains varying amounts of Anhydride)
CAS :Formule :C25H19BO2Degré de pureté :97.0 to 106.0 %Couleur et forme :White to Almost white powder to crystalMasse moléculaire :362.24Lead(II) Acetate Trihydrate
CAS :Formule :C4H6O4Pb·3H2ODegré de pureté :>99.0%(T)Couleur et forme :White to Almost white powder to crystalMasse moléculaire :379.344,4'-Bis(5,5-dimethyl-1,3,2-dioxaborinan-2-yl)biphenyl
CAS :Formule :C22H28B2O4Degré de pureté :>98.0%(GC)(T)Couleur et forme :White to Almost white powder to crystalMasse moléculaire :378.08Potassium (4-Fluorophenyl)trifluoroborate
CAS :Formule :C6H4BF4KDegré de pureté :>98.0%(HPLC)Couleur et forme :White to Almost white powder to crystalMasse moléculaire :202.00Triisopropylsilyl Acrylate (stabilized with BHT)
CAS :Formule :C12H24O2SiDegré de pureté :>98.0%(GC)Couleur et forme :Colorless to Almost colorless clear liquidMasse moléculaire :228.412-Phenylethylamine Hydrobromide
CAS :Formule :C8H11N·HBrDegré de pureté :>98.0%(T)(HPLC)Couleur et forme :White to Almost white powder to crystalMasse moléculaire :202.103-Aminophenylboronic Acid Monohydrate (contains varying amounts of Anhydride)
CAS :Formule :C6H8BNO2·H2ODegré de pureté :97.0 to 116.0 %Couleur et forme :White to Light yellow powder to crystalMasse moléculaire :154.97Octaphenylcyclotetrasiloxane
CAS :Formule :C48H40O4Si4Degré de pureté :>98.0%(HPLC)Couleur et forme :White to Almost white powder to crystalMasse moléculaire :793.18Chlorodimethylvinylsilane
CAS :Formule :C4H9ClSiDegré de pureté :>97.0%(GC)Couleur et forme :Colorless to Light yellow to Light orange clear liquidMasse moléculaire :120.65Isonicotinic Acid
CAS :Formule :C6H5NO2Degré de pureté :>99.0%(T)(HPLC)Couleur et forme :White powder to crystalMasse moléculaire :123.111,1,2,2-Tetraphenyldisilane
CAS :Formule :C24H22Si2Degré de pureté :>97.0%(GC)Couleur et forme :White to Light yellow to Light orange powder to crystalMasse moléculaire :366.61Triethoxy(propyl)silane
CAS :Formule :C9H22O3SiDegré de pureté :>98.0%(GC)Couleur et forme :Colorless to Almost colorless clear liquidMasse moléculaire :206.36Hexachlorodisilane
CAS :Formule :Cl6Si2Degré de pureté :>98.0%(T)Couleur et forme :Colorless to Almost colorless clear liquidMasse moléculaire :268.873-(Methoxydimethylsilyl)propyl Acrylate (stabilized with MEHQ)
CAS :Formule :C9H18O3SiDegré de pureté :>95.0%(GC)Couleur et forme :Colorless to Almost colorlessclear liquidMasse moléculaire :202.33Tris(2-methoxyphenyl)bismuthine
CAS :Formule :C21H21BiO3Degré de pureté :>97.0%(T)Couleur et forme :White to Almost white powder to crystalMasse moléculaire :530.383-Ethoxyphenylboronic Acid (contains varying amounts of Anhydride)
CAS :Formule :C8H11BO3Degré de pureté :97.0 to 112.0 %Couleur et forme :White to Light yellow powder to crystalMasse moléculaire :165.98Benzeneseleninic Acid
CAS :Formule :C6H6O2SeDegré de pureté :>97.0%(T)(HPLC)Couleur et forme :White to Light yellow to Light orange powder to crystalMasse moléculaire :189.073-Aminophenylboronic Acid Hemisulfate
CAS :Formule :C6H8BNO2H2SO4Degré de pureté :min. 98.0 %Couleur et forme :White to Amber to Dark green powder to crystalMasse moléculaire :185.981,1,2,3,4,5-Hexaphenylsilole
CAS :Formule :C40H30SiDegré de pureté :>98.0%(GC)Couleur et forme :White to Yellow to Green powder to crystalMasse moléculaire :538.77Trichlorovinylsilane
CAS :Formule :C2H3Cl3SiDegré de pureté :>98.0%(GC)Couleur et forme :Colorless to Almost colorless clear liquidMasse moléculaire :161.48(3-Bromopropoxy)(tert-butyl)dimethylsilane
CAS :Formule :C9H21BrOSiDegré de pureté :>98.0%(GC)Couleur et forme :Colorless to Light yellow clear liquidMasse moléculaire :253.261,3-Divinyl-1,1,3,3-tetramethyldisilazane
CAS :Formule :C8H19NSi2Degré de pureté :>95.0%(GC)Couleur et forme :Colorless to Light yellow to Light orange clear liquidMasse moléculaire :185.422-Cyano-5-(4,4,5,5-tetramethyl-1,3,2-dioxaborolan-2-yl)pyridine
CAS :Formule :C12H15BN2O2Degré de pureté :>98.0%(T)Couleur et forme :White to Light yellow to Light orange powder to crystalMasse moléculaire :230.071-(tert-Butoxycarbonyl)-4-(4,4,5,5-tetramethyl-1,3,2-dioxaborolan-2-yl)pyrazole
CAS :Formule :C14H23BN2O4Degré de pureté :>98.0%(T)Couleur et forme :White to Almost white powder to crystalMasse moléculaire :294.16
