
Toxicologie
Les standards de toxicologie sont utilisés pour étudier les effets nocifs des substances sur les systèmes biologiques. Ces standards sont essentiels pour évaluer la sécurité et la toxicité des médicaments, des produits chimiques et des agents environnementaux. Chez CymitQuimica, nous proposons une large sélection de standards de toxicologie, permettant aux chercheurs d'évaluer les risques potentiels liés à l'exposition à divers composés.
13652 produits trouvés pour "Toxicologie"
Trier par
Degré de pureté (%)
0
100
|
0
|
50
|
90
|
95
|
100
5-Chloro-3-methyl-4-nitro-1H-pyrazole
CAS :Produit contrôlé<p>Applications 5-Chloro-3-methyl-4-nitro-1H-pyrazole (CMNP) is a pyrazole-derived plant growth regulator used as a citrus abscission agent.<br>References Barcelo, J., et al.: J. Plant Nutr., 13, 1 (1990), Delessert, C., et al.: Plant Mol. Biol., 55, 165 (2004), Both, M., et al.: The Plant Cell, 17, 2107 (2005),<br></p>Formule :C4H4ClN3O2Couleur et forme :NeatMasse moléculaire :161.546Bitertanol
CAS :Produit contrôlé<p>Applications Bitertanol is a foliar-applied triazole fungicide used to protect tropical and subtropical crops in agriculture, in particular bananas. Bitertanol has effects on behavior that are similar to those of psychomotor stimulants.<br> Not a dangerous good if item is equal to or less than 1g/ml and there is less than 100g/ml in the package<br>References Allen, A.R. et al.: Neurotoxicol. Teratol., 15, 237 (1993); Scheinpflug, H. et al.: Pflanzsensch.-Nach., 34, 8 (1981);<br></p>Formule :C20H23N3O2Couleur et forme :WhiteMasse moléculaire :337.42Methotrexyl Tobramycin Amide Formate
Produit contrôléFormule :C38H57N13O13x(HCOOH)Degré de pureté :>80%Couleur et forme :NeatMasse moléculaire :903.94 (w/o formate)Sorafenib-d4
CAS :Produit contrôléFormule :C21H12D4ClF3N4O3Couleur et forme :NeatMasse moléculaire :468.85Nebivolol O-β-D-Glucuronide (Mixture of 4 Diastereomers)
Produit contrôlé<p>Applications Nebivolol (N387896) metabolite.<br></p>Formule :C28H33F2NO10Couleur et forme :Light BrownMasse moléculaire :581.56Bosentan-d4
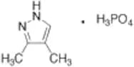
CAS :Produit contrôlé<p>Applications Labelled Bosentan (B675900). A mixed endothelin receptor antagonist. Used as a vasodilator. Antihypertensive.<br>References Clozel, M., et al.: J. Pharmacol. Exp. Ther., 270, 228 (1994), Gutsch, G., et al.: Cardiovasc. Drugs Ther., 10, 717 (1996), Weber, C., et al.: Clin Pharmacol. Ther., 60, 124 (1996), Krum, H., et al.: N. Engl. J. Med., 338, 784 (1998)<br></p>Formule :C27H25D4N5O6SCouleur et forme :NeatMasse moléculaire :555.643,4-Dimethylpyrazole Phosphate
CAS :<p>Stability Hygroscopic<br>Applications A new nitrification inhibitor to be used on solid and in liquid fertilizers and slurry.<br></p>Formule :C5H8N2·H3O4PCouleur et forme :Off White SolidMasse moléculaire :194.13β-Nicotyrine-d3
CAS :Produit contrôlé<p>Stability Hygroscopic<br>Applications β-Nicotyrine-d3, is the labeled analogue of β-Nicotyrine (N445002), which is an alkaloid derived from the dehydrogenation of nicotine and its analog, nornicotine. An alkaloid occurring in cigaret smoke.<br>References Swain, M.L., et al.: J. Am. Chem. Soc., 71, 1341 (1949);<br></p>Formule :C10H7D3N2Couleur et forme :Dark OrangeMasse moléculaire :161.22Benzo[c]phenanthrene
CAS :Produit contrôlé<p>Stability Light Sensitive<br>Applications A PAH metabolite having a toxic effect on fish bone metabolite. Also, it is used as a marker of the carcinogenic potency of the polycyclic aromatic hydrocarbons (PAH) mixture. A genotoxic agent.<br>References Ebright, R., et al.: Cancer Res., 46, 2349 (1986), Morito, K., et al.: Biol. Pharm. Bull., 24, 351 (2001), Billiard, S., et al.: Toxicol. Sci., 92, 526 (2006),<br></p>Formule :C18H12Couleur et forme :White To YellowMasse moléculaire :228.29Diethylmorphine
CAS :Produit contrôlé<p>Applications Ethylmorphine impurity.<br>References Pfeifer, S., et al.: Pharmazie, 27, 648 (1972),<br></p>Formule :C21H27NO3Couleur et forme :Light YellowMasse moléculaire :341.442-Hydroxy-4’,5-diacetamido-diphenyl Ether
CAS :Produit contrôlé<p>Stability Hygroscopic<br>Applications 2-Hydroxy-4’,5-diacetamido-diphenyl Ether is used in the synthesis of novel benzimidazoles as potent inhibitors of TIE-2 anf VEGFR-2 tyrosine kinase receptors. Angiogenesis therapeutic agent.<br>References Hasegawa, M. et al.: J. Med. Chem., 50, 4453 (2007);<br></p>Formule :C16H16N2O4Couleur et forme :NeatMasse moléculaire :300.314-Chloro-5-(dimethylamino)-2-(3-(trifluoromethyl)phenyl)pyridazin-3(2H)-one
CAS :Produit contrôléFormule :C13H11ClF3N3OCouleur et forme :NeatMasse moléculaire :317.694Acarviosin
CAS :<p>Stability Hygroscopic<br>Applications Acarviosin is a part of the potent α-amylase inhibitor, Acarbose (A123500), an anti-diabetic drug used to treat type 2 diabetes mellitus (1,2,3).<br>References (1) Shibata, Y., et al.: Carbohydrate. Res., 228, 377 (1992) (2) Raimbaud, E., et al.: Carbohydrate. Res., 227, 351 (1992) (3) Geng, P., et al.: Carbohydr Res. 343, 882 (2008)<a href="https://www.ncbi.nlm.nih.gov/pubmed/18294624PMID" target="_blank" rel="noreferrer noopener">https://www.ncbi.nlm.nih.gov/pubmed/18294624PMID</a>: 18294624<br></p>Formule :C14H25NO8Couleur et forme :NeatMasse moléculaire :335.35Harringtonin
CAS :Produit contrôlé<p>Applications A natural product with significant antitumor activities.<br> Not a dangerous good if item is equal to or less than 1g/ml and there is less than 100g/ml in the package<br>References Sah, N., et al.: J. Biol. Chem., 278, 20593 (2003), Lu, D., et al.: J. Int. Med. Res., 32, 488 (2004), Yunmbam, M., et al.: Oncol. Rep., 11, 833 (2004), Shao, S., et al.: Cell Biol. Int., 32, 893 (2008),<br></p>Formule :C28H37NO9Couleur et forme :NeatMasse moléculaire :531.59Acetamiprid-N-desmethyl
CAS :Produit contrôlé<p>Applications N-(6-Chloro-3-pyridylmethyl)-N’-cyano-acetamidine is an Acetamipride-Metabolite. It also performs insecticidal and neuroblocking activities in animals.<br>References Kiriyama, K., et al.: J. Pest. Sci., 28, 17 (2003); Gbylik-S., et al.: J. Chromatogr. B: Analyt. Technol. Biomed. Life Sci., 990, 132 (2015)<br></p>Formule :C9H9ClN4Couleur et forme :Off-WhiteMasse moléculaire :208.65Sulforhodamine B Sodium Salt
CAS :Produit contrôléFormule :C27H29N2O7S2·NaCouleur et forme :RedMasse moléculaire :580.652,6-Diisopropylnaphthalene
CAS :Produit contrôlé<p>Applications 2,6-Diisopropylnaphthalene, is a building block used for the synthesis of more complex compounds. 2,6-Diisopropylnaphthalene (2,6-DIPM) is also used in the manufacturing of pesticide products intended to prevent sprouting of stored potatoes.<br> Not a dangerous good if item is equal to or less than 1g/ml and there is less than 100g/ml in the package<br>References Beaver, R. G., et al.: American Journal of Potato Research, 80, 311 (2013);<br></p>Formule :C16H20Couleur et forme :WhiteMasse moléculaire :212.33(R)-Quizalofop Ethyl
CAS :Produit contrôlé<p>Applications (R)-Quizalofop Ethyl is a post-emergence herbicide for control of grassy weeds in broad-leaved crops. Herbicide.<br> Not a dangerous good if item is equal to or less than 1g/ml and there is less than 100g/ml in the package<br>References Corbett, T., et al.: Cancer Res., 42, 1707 (1982), Branda, R., et al.: Biochem. Pharmacol., 38, 3521 (1989), Corbett, T., et al.: J. Exper. Therap. Oncol., 1, 95 (1996),<br></p>Formule :C19H17ClN2O4Couleur et forme :WhiteMasse moléculaire :372.80Malonyl-L-carnitine-d3 Trifluoroacetate
CAS :Produit contrôléFormule :C12H15D3F3NO8Couleur et forme :NeatMasse moléculaire :364.29Dodecyl Phthalate-d4
CAS :Produit contrôlé<p>Applications Labelled Dodecyl Phthalate (D525380). Dodecyl Phthalate is used in the preparation of Cytarabine (C998100) derivatives as anticancer agents.<br>References Aoshima, M., et al.: Cancer Res., 36, 2726 (1976), Wang, N., et al.: Bioorg. Med. Chem. Lett., 15, 4064 (2005), Marie-Helene, G., et al.: Bioorg. Med. Chem., 2009, 17, 6340 (2009),<br></p>Formule :C20H26D4O4Couleur et forme :NeatMasse moléculaire :338.47n-Pentyl 4-Hydroxybenzoate-2,3,5,6-d4
CAS :Produit contrôlé<p>Applications n-Pentyl 4-Hydroxybenzoate-2,3,5,6-d4 (CAS# 1219798-66-9) is a useful isotopically labeled research compound.<br></p>Formule :C12H12D4O3Couleur et forme :NeatMasse moléculaire :212.28Oxociprofloxacin
CAS :Produit contrôlé<p>Applications A metabolite of the fluorinated quinolone antibacterial Ciprofloxacin.<br></p>Formule :C17H16FN3O4Couleur et forme :Beige To BrownMasse moléculaire :345.32Biotin Sulfone
CAS :Produit contrôlé<p>Applications Biotin Sulfone, is derivative of Biotin (B389040), which is a growth factor present in minute amounts in every living cell, and plays an indispensable role in numerous naturally occurring carboxylation reactions.<br>References du Vigneaud, et al.: J. Biol. Chem., 146, 475 (1942), Traub, et al.: Nature, 178, 649 (1956), Siegel, H., et al.: Experienta, 37, 789 (1981), Vesely, D.L., Science, 216, 1329 (1982), Hugues, M., et al.: Biochemistry, 31, 12 (1992),<br></p>Formule :C10H16N2O5SCouleur et forme :NeatMasse moléculaire :276.313-Hydroxy Detomidine Hydrochloride
CAS :Produit contrôlé<p>Stability Hygroscopic<br>Applications A metabolite of the sedative drug Detomidine.<br>References Salonen, J.S., et al.: Eur. J. Drug Metab. Pharmacokinet., 17, 13 (1992),<br></p>Formule :C12H14N2O·ClHCouleur et forme :NeatMasse moléculaire :238.712-Hydroxy Oleic Acid
CAS :Produit contrôlé<p>Applications An oleic acid synthetic analog that is an effective non-toxic anticancer drug with a wide spectrum against different types of cancer. An antihypertensive.<br>References Llado, V. et al.: J. Cell. Molec. Med., 14, 659 (2010); Alemany, R. et al.: J. Lip. Res., 47, 1762 (2006); Martinez, J. et al.: J. Pharmacol. Exp. Therap., 315, 466 (2005);<br></p>Formule :C18H34O3Couleur et forme :Off White SolidMasse moléculaire :298.46Androsterone Sulfate Sodium Salt
CAS :Produit contrôléFormule :C19H29O5S·NaCouleur et forme :White To Off-WhiteMasse moléculaire :392.40Betamethasone Tripropionate
CAS :<p>Impurity Betamethasone Dipropionate EP Impurity G<br>Applications Betamethasone Tripropionate (Betamethasone Dipropionate EP Impurity G) is a Betamethasone (B327000) related compound.<br>References Grootveld, M., et al.: Biochem. Pharmacol., 37, 271 (1988), Chen, B., et al.: Steriods, 74, 30 (2009), Mikami, E., et al.: J. Pharm. Biomed. Anal., 28, 261 (2002),<br></p>Formule :C31H41FO8Couleur et forme :NeatMasse moléculaire :560.65(S)-Ramelteon Metabolite M-II
CAS :Produit contrôlé<p>Applications S-Ramelteon Metabolite M-II is a metabolite of Ramelteon in serum (M-II).<br>References Karim, A., et al.: J. Clin. Pharmacol., 44, 1210 (2004); Prescott, E., et al.: Drug Metab. Rev., 36, 203 (2004); Kato, K., et al.: Neuropharmacology, 48, 301 (2005); Karim, A., et al.: J. Clin. Pharmacol., 46, 140 (2006)<br></p>Formule :C16H21NO3Couleur et forme :NeatMasse moléculaire :275.34N-Acetyl Demethyl Memantine
CAS :Formule :C13H21NOCouleur et forme :Off-WhiteMasse moléculaire :207.3119Potassium Bromide
CAS :<p>Applications Potassium bromide is an ionic compound that is commonly used in chemistry to form a pellet that can be used to analyze a number of compounds by means of infrared spectroscopy. Potassium bromide is also used as an anticonvulsant to treat refractory seizures in humans and dogs.<br>References Kirkland, J.: Anal. Chem., 27, 1537 (1955); Korinthenberg, R., et al.: J. Child Neuro., 22, 414 (2007); Wilberley, S., et al.: Anal. Chem., 29, 210 (1957); Yohn, S., et al.: J. Am. Vet. Med. Ass., 201, 468 (1992)<br></p>Formule :BrKCouleur et forme :White To Off-WhiteMasse moléculaire :119.004-Methyl-2-(4-(trifluoromethyl)phenyl)thiazole-5-carboxylic Acid
CAS :Produit contrôlé<p>Applications 4-methyl-2-(4-(trifluoromethyl)phenyl)thiazole-5-carboxylic acid (cas# 144059-86-9) is a useful research chemical.<br></p>Formule :C12H8F3NO2SCouleur et forme :NeatMasse moléculaire :287.26Droxicam
CAS :Produit contrôlé<p>Applications Droxicam is a non-steroidal anti-inflammatory drug.<br>References Lapeyre-Mestre, M., et. al.: Fundam. Clin. Pharm., 20, 391 (2006)<br></p>Formule :C16H11N3O5SCouleur et forme :Off-White To Light YellowMasse moléculaire :357.34Rivaroxaban-d4
CAS :Produit contrôléFormule :C19H14D4ClN3O5SCouleur et forme :White To Off-WhiteMasse moléculaire :439.91Tetrahydro Cortisone
CAS :Produit contrôlé<p>Applications A normal mammalian metabolite of Cortisone (C696500).<br>References Schneider, et al.: J. Biol. Chem., 183, 365 (1950), Barkemeyer, et al.: Appl. Microbiol., 8, 237 (1960),<br></p>Formule :C21H32O5Couleur et forme :NeatMasse moléculaire :364.484-Dehydroxy-5-hydroxy Ritonavir
CAS :Produit contrôlé<p>Impurity Ritonavir EP Impurity N<br>Applications 4-Dehydroxy-5-Hydroxy Ritonavir (Ritonavir EP Impurity N) is an impurity of the selective HIV protease inhibitor Ritonavir (R535000). It is a COVID19-related research product.<br>References Kempf, D.J. et al.: J. Med. Chem., 41, 602 (1998); Mekapati, S.B. et al.: J. Enzyme Inhib., 16, 185 (2001);<br></p>Formule :C37H48N6O5S2Couleur et forme :NeatMasse moléculaire :720.94Raltegravir-d3 Potassium Salt
CAS :Produit contrôléFormule :C202H3H17FN6O5·KCouleur et forme :NeatMasse moléculaire :485.53Pemetrexed acid
CAS :Produit contrôléFormule :C15H14N4O3Couleur et forme :Off-WhiteMasse moléculaire :298.30Fludrocortisone
CAS :Produit contrôléFormule :C21H29FO5Couleur et forme :White SolidMasse moléculaire :380.452-[(1S,3R)-3-Hydroxycyclopentyl]-9-methoxy-1,8-dioxo-N-[(2,4,6-trifluorophenyl)methyl]pyrido[1,2-a]pyrazine-7-carboxamide
CAS :Formule :C22H20F3N3O5Couleur et forme :NeatErythromycin A N-oxide
CAS :Produit contrôlé<p>Stability Sample is unstable in solution<br>Applications Erythromycin A N-oxide is a facile metabolite of erythromycin A.<br></p>Formule :C37H67NO14Degré de pureté :>80%Couleur et forme :NeatMasse moléculaire :749.933-Amino-2,5-dichlorobenzoic Acid
CAS :Formule :C7H5Cl2NO2Couleur et forme :NeatMasse moléculaire :206.03N,N'-Methylene Ambroxol Hydrochloride
CAS :Produit contrôlé<p>Impurity Ambroxol EP Impurity B Hydrochloride<br>Stability Hygroscopic<br>Applications Ambroxol Cyclic Impurity is a metabolite as well as an impurity of the bronchosecretolytic drug, Ambroxol (A575900).<br>References Hammer, R. et al.: Arzneim.-Forsch., 28, 899 (1978); Nieder, M. et al.: HRC & CC, 9, 561 (1986); Huq, F. et al.: J. Pharmacol. Toxicol., 3, 147 (2008);<br></p>Formule :C14H18Br2N2O·ClHCouleur et forme :White To Off-WhiteMasse moléculaire :426.57(S)-(-)-Carvedilol
CAS :Produit contrôlé<p>Stability Hygroscopic<br>Applications The optically active isomer of Carvedilol (C184625), a nonselective ß-adrenergic blocker with a1-blocking activity. An antihypertensive used in the treatment of congestive heart failure.<br> Not a dangerous good if item is equal to or less than 1g/ml and there is less than 100g/ml in the package<br>References Hirohashi, M., et al.: Arzneim.-Forsch., 40, 735 (1990),<br></p>Formule :C24H26N2O4Couleur et forme :Off White SolidMasse moléculaire :406.47Fenfluthrin
CAS :Produit contrôlé<p>Applications Fenfluthrin can be used in agricultural use and as analyte in analytical/biological study of retrospective screening of relevant pesticide metabolites in food using liquid chromatography high resolution mass spectrometry and accurate-mass databases of parent molecules and diagnostic fragment ions.<br> Not a dangerous good if item is equal to or less than 1g/ml and there is less than 100g/ml in the package<br>References Polgar, L., et al.: J. Chromatogr. A., 1249, 83-91 (2012)<br></p>Formule :C15H11Cl2F5O2Couleur et forme :Off-WhiteMasse moléculaire :389.14(S)-(+)-Ibuprofen-d3
CAS :Produit contrôlé<p>Applications A labelled nonsteroidal anti-inflammatory drug (NSAID); activity resides primarily in the (S)-isomer.<br>References Busson, M., et al.: J. Int. Med Res., 14, 53 (1986), Meade, E.A., et al.: J. Biol. Chem., 268, 6610 (1993), Davies, N.M., et al.: Clin. Pharmacokinet., 34, 101 (1998),<br></p>Formule :C13H15D3O2Couleur et forme :NeatMasse moléculaire :209.31R-trans-Permethrinic Acid
CAS :Produit contrôléFormule :C8H10Cl2O2Couleur et forme :NeatMasse moléculaire :209.07Rocuronium Bromide
CAS :Produit contrôlé<p>Applications Aminosteroid, competitive neuromuscular blocker.<br>References Magorian, T., et al.: Anesthesiology, 79, 913 (1993), Wicks, T.C., et al.: J. Am. Assoc. Nurse Anesth., 62, 33 (1994)<br></p>Formule :C32H53N2O4·BrCouleur et forme :White To Light YellowMasse moléculaire :609.68Chlorguanide Hydrochloride
CAS :Produit contrôléFormule :C11H16ClN5·ClHCouleur et forme :WhiteMasse moléculaire :290.19N-[4-(4-Fluorophenyl)-5-hydroxymethyl-6-isopropylpyrimidin-2-yl]-N-methylmethanesulfonamide
CAS :Produit contrôlé<p>Applications A Rosuvastatin (R700500) intermediate as HMG-CoA reductase inhibitor.<br>References Beck, et al.: J. Med. Chem., 33, 52 (1999),<br></p>Formule :C16H20FN3O3SCouleur et forme :NeatMasse moléculaire :353.41rac Methotrimeprazine Maleate Salt
CAS :Produit contrôlé<p>Applications Analgesic.<br>References Haddad, P., et al.: Drugs, 62, 1649 (2002), Chiu, P., et al.: J. Pharmacol. Sci., 95, 311 (2004), Dubin, A., et al.: J. Biomol. Screen, 10, 168 (2005),<br></p>Formule :C23H28N2O5SCouleur et forme :NeatMasse moléculaire :444.54N-Dechloroethyl Cyclophosphamide
CAS :<p>Stability Reacts with DMSO<br>Applications A metabolite of Cyclophosphamide (C988580).<br> Not a dangerous good if item is equal to or less than 1g/ml and there is less than 100g/ml in the package<br>References Bohnenstengel, F., et al.: Eur. J. Clin. Pharmacol., 51, 297 (1996), Busse, D., et al.: J. Clin. Oncol., 15, 188 (1997), Roy, P., et al.: Drug Metab. Dispos., 27, 655 (1999),<br></p>Formule :C5H12ClN2O2PCouleur et forme :NeatMasse moléculaire :198.59(3α,5α,17α)-19-Norpregnane-3,17-diol
CAS :Produit contrôléFormule :C20H34O2Couleur et forme :NeatMasse moléculaire :306.48Veratramine
CAS :Produit contrôlé<p>Applications Veratramine is useful as signal transduction inhibitor for treating tumors.<br> Not a dangerous good if item is equal to or less than 1g/ml and there is less than 100g/ml in the package<br>References Imamura, L., et al.: J. Trad. Med., 12, 129 (1995), Ingolfsdottir, K., et al.: Antimicrob. Agents. Chemother., 1997, 41, 215 (1997), Tezuka, Y., et al.: J. Nat. Prod., 61, 1397 (1988)<br></p>Formule :C27H39NO2Couleur et forme :WhiteMasse moléculaire :409.60Epinephrine Sulfonic Acid
CAS :<p>Applications An Epinephrine (E588585) derivative formed in injection solutions and eye drops during sterilization and storage of L-Epinephrine Bitartrate.<br>References De Mol, N.J. et al.: Pharmac. Week., 117, 1 (1982); Liu, C. et al.: Yao. Fen. Zaz., 2, 200 (1982);<br></p>Formule :C9H13NO5SCouleur et forme :NeatMasse moléculaire :247.275-Fluorouracil-13C,15N2
CAS :<p>Applications Labelled 5-FU, a potent antineoplastic agent in clinical use. Also an inhibitor of DNA synthesis.<br> Not a dangerous good if item is equal to or less than 1g/ml and there is less than 100g/ml in the package<br>References Rudy, B.C., et al.: Anal. Profiles Drug Subs., 2, 221 (1973), Miyashita, O., et al.: Chem. Pharm. Bull., 29, 3181 (1981), Hansen, R.M., et al.: Cancer Invest., 9, 637 (1991),<br></p>Formule :C313CH3F15N2O2Couleur et forme :NeatMasse moléculaire :133.06L-Penicillamine Hydrochloride
CAS :Produit contrôlé<p>Stability Hygroscopic<br>Applications L-Penicillamine Hydrochloride is a salt form of L-Penicillamine (P2230005). L-Penicillamine is a metabolite of penicillin. L-Penicillamine is used in the treatment of Wilson’s disease, Cystinuria, Scleroderma and arsenic poisoning.<br>References Marti-Prats, L., et al.: Neurosci. Lett., 483, 143 (2010), Singh, A., et al.: J. Pharm. Sci., 99, 3931 (2010), Everette, J., et al.: J. Agric. Food Chem., 58, 8139 (2010),<br></p>Formule :C5H11NO2S·(HCl)Couleur et forme :NeatMasse moléculaire :149.21 + (36.46)Teflubenzuron
CAS :Produit contrôlé<p>Applications Teflubenzuron is an benzoylphenylurea chitin synthesis inhibitor used to control a wide range of insect pests and mites in fruit, vegetable, cereal and seed crops. Teflubenzuron is used in cannabis testing kits as a component of pesticide mixes (P698240).<br>References Carro, A.M., et al.: J. Separat. Sci., 35, 2866 (2012); Brock, T.C.M., et al.: Environ. Sci. Pollu. Res., 19, 3610 (2012);<br></p>Formule :C14H6Cl2F4N2O2Couleur et forme :Off-WhiteMasse moléculaire :381.115-Aminoimidazole-4-carboxamide Lactose Adduct
Produit contrôlé<p>Stability Hygroscopic<br>Applications 5-Aminoimidazole-4-carboxamide Lactose Adduct is a lactose adduct of 5-Aminoimidazole-4-carboxamide (A611690), a metabolite of Temozolomide (T017775).<br>References Jaeken, J., et al.: Lancet, 2, 1058 (1984), Baggott, J., et al.: Biochem. J., 236, 193 (1986), Baggott, J., et al.: Arch. Dermatol., 135, 813 (1999)<br></p>Formule :C16H26N4O11Couleur et forme :NeatMasse moléculaire :450.42-Hydroxy Fluorene
CAS :<p>Applications A metabolite of polycyclic aromatic hydrocarbons in humans.<br>References Jacob, J., et al.: Xenobiotica, 12, 45 (1982), Becher, G., et al.: Cancer Lett., 17, 301 (1983), Hoffmann, D., et al.: Cancer Treat. Res., 72, 1 (1995), Einolf, H., et al.: Chem. Res. Toxicol., 10, 609 (1997),<br></p>Formule :C13H10OCouleur et forme :NeatMasse moléculaire :182.22Strontium Ranelate
CAS :Produit contrôlé<p>Applications Bone metabolism modulator; inhibits bone resorption while maintaining bone formation. Antiosteoporotic.<br>References Buehler, J., et al.: Bone, 29, 176 (2001), Henrotin, Y., et al.: J. Bone Miner. Res.,16, 299 (2001), Meunier, P.J., et al.: N. Engl. J. Med., 350, 459 (2004),<br></p>Formule :C12H6N2O8S·2SrCouleur et forme :NeatMasse moléculaire :513.49(3R,5R)-6-Cyano-3,5-dihydroxy-hexanoic Acid tert-Butyl Ester
CAS :Produit contrôléFormule :C11H19NO4Couleur et forme :NeatMasse moléculaire :229.27Acyclovir-d4
CAS :Produit contrôlé<p>Stability Hygroscopic<br>Applications Orally active acyclic labelled nucleoside with inhibitory activity towards several herpes viruses. Antiviral.<br>References Collins, P., et al.: J. Antimicrob. Chemother., 5, 431 (1979); Matsumoto, H., et al.: Chem. Pharm. Bull., 36, 1153 (1988); Whitley, R.J., et al.: N. Engl. J. Med., 327, 782 (1992)<br></p>Formule :C8D4H7N5O3Couleur et forme :NeatMasse moléculaire :229.229Cyclizine Hydrochloride
CAS :<p>Applications Cyclizine is a piperazine derivative with anti-emetic activity that is useful in the prevention and treatment of nausea and vomiting associated with motion sickness. Antiemetic.<br> Not a dangerous good if item is equal to or less than 1g/ml and there is less than 100g/ml in the package<br>References Kuntzman, R., et al.: J. Pharmacol. Exp. Ther., 158, 332 (1967), Walker, R., et al.: Eur. J. Pharm. Sci., 4, 301 (1996), Dumasia, M., et al.: Xenobiotica, 32, 795 (2002),<br></p>Formule :C18H22N2·ClHCouleur et forme :White PowderMasse moléculaire :302.84Isopyridoxal Hydrochloride
CAS :<p>Applications Isopyridoxal Hydrochloride is an active vitamer of the B6 complex in humans, and a metabolite standard in the determination of all seven vitamin B6-related compounds. It is also a metabolite in a pyridoxine degradation pathway by soil bacteria.<br>References Edwards, P., et. al.: Clinica Chimica Acta: Int. J. Clin. Chem., 190, (1990); Lee, Y. C., et. al.: J. Bio. Chem., 261, (1986); Argoudelis, C. J.: J. Chromatogr. A, 790, (1998)<br></p>Formule :C8H9NO3·HClCouleur et forme :NeatMasse moléculaire :203.62Isometheptene Maleate
CAS :<p>Applications Isometheptene Maleate belongs to a group of sympathomimetic amine and shows very little antihypertensive activity. Isometheptene Maleate is used as an antispasmodic drug.<br>References Vidrio, H. et al.: J. Pharmacol. Exp. Therap., 187, 308 (1973); Taylor, W.G. et al.: Drug Metab. Disp., 5, 564 (1977);<br></p>Formule :C9H19N·C4H4O4Couleur et forme :White To Off-WhiteMasse moléculaire :257.33Estrone 3-Sulfate Sodium Salt, Stabilized with TRIS
CAS :Formule :C18H21O5S·NaCouleur et forme :NeatMasse moléculaire :372.412,4'-Dichlorobenzophenone
CAS :Produit contrôlé<p>Applications 2,4'-Dichlorobenzophenone is used in the synthesis of triarylcarbinol analogs of fenarimol as potent inhibitors of Trypanosoma cruzi. It can also be used to prepare fatty acid amide hydrolase inhibitors.<br>References Keenan, M., et al.: J. Med. Chem., 55, 4189 (2012); Roughley, S., et al.: Bioorg. Med. Chem. Lett., 22, 901 (2012)<br></p>Formule :C13H8Cl2OCouleur et forme :Off-WhiteMasse moléculaire :251.11Cabazitaxel
Produit contrôlé<p>Applications A novel semi-synthetic taxane with antitumor activity used for the treatment of castration-resistant prostate cancer. A microtubule inhibitor.<br>References Agarwal, N. et al.: Fut. Oncol., 7, 15 (2011); Mita, A. et al.: Clin. Cancer Res., 15, 723 (2009); Figg, W.D. et al.: Cancer Biol. Ther., 10, 1233 (2010);<br></p>Formule :C45H57NO14Couleur et forme :White SolidMasse moléculaire :835.93Itopride Hydrochloride
CAS :<p>Applications Dopamine D2-receptor antagonist with anticholinesterase activity. Gastroprokinetic.<br> Not a dangerous good if item is equal to or less than 1g/ml and there is less than 100g/ml in the package<br>References Iwanaga, Y., et al; Jpn. J. Pharmacol., 56, 261 (1991), Mushiroda, T., et al.: Drug Metab. Dispos., 28, 1231 (2000),<br></p>Formule :C20H26N2O4·ClHCouleur et forme :NeatMasse moléculaire :394.891,8-Naphthoic Anhydride
CAS :Produit contrôlé<p>Applications 1,8-Naphthoic Anhydride is used in the synthesis of napthalimide analogues as anticancer agents.<br>References Verma, M. et al.: Eur, J, Med. Chem., 68 (2013); Quintana-E,. et al.: Bioorg, Med. Chem., 21, 6484 (2013);<br></p>Formule :C12H6O3Couleur et forme :NeatMasse moléculaire :198.17Chlorthiamid
CAS :Produit contrôlé<p>Applications Chlorthiamid<br></p>Formule :C7H5Cl2NSCouleur et forme :YellowMasse moléculaire :206.09Benzyldecyldimethylammonium Chloride
CAS :Produit contrôlé<p>Applications Benzyldecyldimethylammonium Chloride is a biocide.<br>References Lee, M., et al.: Appl. Micro. Biotech., 87, 1109 (2010); Campanac, C., et al.: Antimicrob. Agents Ch., 46, 1469 (2002); Shen, J., et al.: Anal. Chem., 62, 116 (1990)<br></p>Formule :C19H34N·ClCouleur et forme :Off-WhiteMasse moléculaire :311.9321-Desacetyl Amcinonide
CAS :Produit contrôlé<p>Applications Amcinonide (A576150) analog as glucocorticoid receptor agonists for the treatment of inflammation and allergic conditions.<br>References Woodford, R., et al.: Curr. Ther. Res., 26, 301 (1979),<br></p>Formule :C26H33FO6Couleur et forme :NeatMasse moléculaire :460.54(S)-(-)-Dropropizine
CAS :<p>Applications S-Form of Dropropizine. Cough suppressive phenylpiperazine derivative. Antitussive.<br>References Noel, P.R.B., et al.: Arzneim.-Forsch., 19, 1246 (1969), Cartwright, K., et al.: J. Pharm. Pharmacol., 23, Suppl., 247S (1971), Moreo, GC., et al.: Gazz. Med. Ital., 140, 409 (1981),<br></p>Formule :C13H20N2O2Couleur et forme :WhiteMasse moléculaire :236.31Benzthiazide
CAS :Produit contrôlé<p>Applications Benzthiazide is a diuretic, antihypertensive agent.<br>References Mollica, J., et al.: J. Pharm. Sci., 58, 635 (1969), Chienthavorn, O., et al.: J. Pharm. Biomed. Anal., 36, 477 (2004),<br></p>Formule :C15H14ClN3O4S3Couleur et forme :NeatMasse moléculaire :431.94O-Desethyl Dapagliflozin (>80%)
CAS :<p>Applications O-Desethyl Dapagliflozin is derivative of antidiabetic drug Dapagliflozin (D185370), which is sodium-glucose transporter 2 inhibitor.<br>References Kasichayanula, S., et al.: Diabetes, Obesity and Metabolism 13, 47 (2011); Xu, G., et al.: J. Med. Chem., 57, 1236 (2014);<br></p>Formule :C19H21ClO6Degré de pureté :>80%Couleur et forme :Off-White To Light YellowMasse moléculaire :380.82trans-Permethrin
CAS :Produit contrôlé<p>Applications trans-Permethrin is the trans isomer of Permethrin (P288500) which is a common synthetic pyrethoid insecticide with low mammalian toxicity.<br> Not a dangerous good if item is equal to or less than 1g/ml and there is less than 100g/ml in the package<br>References Itaya, N., et al.: ACS Sym. Ser., 42, 45 (1977); Elliott, M., et al.: Nature, 246, 169 (1973);<br></p>Formule :C21H20Cl2O3Couleur et forme :Light BrownMasse moléculaire :391.29Sitagliptin Phosphate
CAS :Produit contrôlé<p>Applications Sitagliptin is a trizolopyrazine dipeptidyl peptidase IV inhibitor. Sitagliptin has recently been approved for the therapy of type II diabetes.<br>References Kim, D., et al.: J. Med. Chem. 48, 141 (2005), Ahren, B., et al.: Eur. J. Pharmacol. 521 164 (2005), Bergman, A., et al: Clin. Ther. 28, 55 (2006)<br></p>Formule :C16H15F6N5O·H3O4PCouleur et forme :NeatMasse moléculaire :505.31Cloxacillin-13C4 Sodium Salt
CAS :Produit contrôlé<p>Stability Hygroscopic<br>Applications Labelled analogue of Cloxacillin, an antibiotic that belongs to the group of the isoxazolylpenicillins. Cloxacillin is used to treat infections caused by species of staphylococci that produce beta-lactamase due to its inhibitory effects on beta-lactamase binding.<br>References Gibbs, D.L. et al.: Curr. Microbiol., 2, 239 (1979); Dmitrova, D. et al.: Farmat., 48, 28 (2001); Craven, N. et al.: Res. Vet. Sci., 29, 57 (1980);<br></p>Formule :C15C4H17ClN3NaO5SCouleur et forme :Off-WhiteMasse moléculaire :461.83Mandestrobin
CAS :Produit contrôlé<p>Applications Mandestrobin is a novel fungicide having a methoxyacetamid structure. Mandestrobin also shows safer profiles for human health and the environment.<br>References Hirotomi, D., & Kiguchi, S.: PCT Int. Appl., WO 2017026526 A1 20170216 (2017)<br></p>Formule :C19H23NO3Couleur et forme :WhiteMasse moléculaire :313.39Pyridaben
CAS :Produit contrôlé<p>Applications Pyridaben is a pyridazinone derivative used as an insecticide and acaricide. In the European Union, Pyridaben has been authorized for use as an insecticide and acaricide from 1 May 2011. In Germany, Austria and Switzerland, no plant protection products containing this active substance are authorized. Pyridaben is a colorless solid that is practically insoluble in water. Useful in cannabis testing kits as a component of pesticide mixes (P698235).<br> Not a dangerous good if item is equal to or less than 1g/ml and there is less than 100g/ml in the package<br>References Wadleigh, R., et al.: J. Chem. Ecol.,14, 1279 (1988), Hirata, K., et al.: J. Pestic. Sci., 20, 177 (1995), Chen, F., et al.: J. Entomol. Sci., 42, 296 (2007),<br></p>Formule :C19H25ClN2OSCouleur et forme :BeigeMasse moléculaire :364.9316α-Hydroxy-17β-estradiol-2,4-d2
CAS :Produit contrôlé<p>Applications 16alpha-Hydroxy-17beta-estradiol-2,4-d2 (CAS# 53866-32-3) is a useful isotopically labeled research compound.<br></p>Formule :C182H2H22O3Couleur et forme :White To Off-WhiteMasse moléculaire :290.39Tembotrione
CAS :<p>Applications Tembotrione is one of the pesticides found in surface waters. It can also be found as pesticide residues in fruits and vegetables.<br> Not a dangerous good if item is equal to or less than 1g/ml and there is less than 100g/ml in the package<br>References Moschet, C., et al.: Environ. Sci. Technol., 48, 5423 (2014); Wang, J., et al.: J. Agric. Food Chem., 62, 10375 (2014);<br></p>Formule :C17H16ClF3O6SCouleur et forme :Light Yellow To Light BeigeMasse moléculaire :440.82Nicergoline-d3
CAS :Produit contrôlé<p>Applications Nicergoline-d3 is the labeled analogue of Nicergoline(N394550), a drug used for age-dependent cognitive impairment such as Alzheimers disease and other types of dementia.<br>References Caraci, F., et. al.: Brain Res., 1047, 30 (2005); Mizuno, T., et. al.: Brain Res., 1066, 78 (2005)<br></p>Formule :C24D3H23BrN3O3Couleur et forme :NeatMasse moléculaire :487.404N-Desmethyl Clomipramine Hydrochloride
CAS :Produit contrôlé<p>Applications A metabolite of Clomipramine.<br>References McTavish, D., et al.: Drugs, 39, 136 (1990), Chauret, N., et al.: Drug Metab. Dispos., 25, 1130 (1997), Gex-Fabry, M., et al.: Ther. Drug Monit., 22, 701 (2000), Herrera, D., et al.: J. Clin. Pharmacol., 40, 1488 (2000),<br></p>Formule :C18H21ClN2·ClHCouleur et forme :Off-WhiteMasse moléculaire :337.292,3,5-Trichloropyridin-4-amine
CAS :Produit contrôlé<p>Applications 2,3,5-Trichloropyridin-4-amine (cas# 28443-69-8) is a useful research chemical.<br></p>Formule :C5H3Cl3N2Couleur et forme :NeatMasse moléculaire :197.453,5,6-Trichloro-2-pyridinol
CAS :Produit contrôlé<p>Applications A metabolite of Chlorpyrifos (C425300).<br> Not a dangerous good if item is equal to or less than 1g/ml and there is less than 100g/ml in the package<br>References Barron, M.G., et al.: Environ. Toxicol. Chem., 12, 1469 (1993), Tang, J., et al.: Drug Metab. Dispos., 29, 1201 (2001),<br></p>Formule :C5H2Cl3NOCouleur et forme :NeatMasse moléculaire :198.43Acipimox-d4
CAS :Produit contrôlé<p>Applications Labelled antilipemic.<br>References Fuccella, L.M., et al.: Clin. Pharmacol. Ther., 28, 790 (1980), Lovisolo, P.P., et al.: Pharmacol. Res. Commun., 13, 151 (1981), Aktories, K., et al.: Arzneim.-Forsch., 33, 1525 (1983), Boatman, P., et al.: J. Med. Chem., 51, 7653 (2008), Rigazio, S., et al.: Am. J. Physiol., 295, E413 (2008),<br></p>Formule :C6H2D4N2O3Couleur et forme :Off-White To BeigeMasse moléculaire :158.15Ezetimibe Ketone
CAS :Produit contrôlé<p>Impurity Ezetimibe Ketone (USP)<br>Applications Phase-I metabolite of Ezetimibe (E975000).<br>References Shah, V., et al: J. Pharm. Sci., 17, 1551 (2000), Van Heek, M., et al.: Br. J. Pharmacol., 134, 409 (2001), Watts, G., et al.: Clin. Sci.,103, 595 (2002), Ghosal, A., et al.: Drug Metab. Dispos., 32, 314 (2004), Sistla, R., et al.: J. Pharm. Biomed. Anal., 39, 517 (2005),<br></p>Formule :C24H19F2NO3Couleur et forme :NeatMasse moléculaire :407.41rac cis-Paroxetine N-Methyl
Produit contrôlé<p>Applications rac cis-Paroxetine N-Methyl is an impurity formed in the synthesis Paroxetine (P205750) related compounds.<br>References Gangula, S., et al.: Syn. Commun., 42, 3344 (2012);<br></p>Formule :C20H22FNO3Couleur et forme :NeatMasse moléculaire :343.392(AlphaS,BetaR)-Bedaquiline
CAS :Produit contrôlé<p>Applications (aS,bR)-Bedaquiline is a diarylquinoline derivative that acts as a mycobacterial inhibitor. Bedaquiline shows promise as potential drug in the treatment of tuberculosis.<br>References Cheepsattayakorn, A., et al.: Anti-Infect. Drug. Discover.,7, 141 (2012); de Jonge M.R. et al.: Proteins, 67, 971 (2007); Diacon A.H. et al.: N. Eng. J. Med., 360, 2397 (2009);<br></p>Formule :C32H31BrN2O2Couleur et forme :White To Light YellowMasse moléculaire :555.50Chlorpyrifos
CAS :Produit contrôlé<p>Applications Insecticide; acaricide.This compound is a contaminant of emerging concern (CECs).Useful in cannabis testing kits as a component of pesticide mixes (P698230).<br> Not a dangerous good if item is equal to or less than 1g/ml and there is less than 100g/ml in the package<br>References Smith, G.N., et al.: J. Agric. Food Chem., 15, 132 (1967), Schafer, et al.: Toxicol. Appl. Pharmacol., 21, 315 (1972)<br></p>Formule :C9H11Cl3NO3PSCouleur et forme :ColourlessMasse moléculaire :350.596α-Hydroxy Progesterone (>80%)
CAS :Produit contrôléFormule :C21H30O3Degré de pureté :>80%Couleur et forme :NeatMasse moléculaire :330.46Fluasterone
CAS :Produit contrôlé<p>Applications A synthetic derivative of Dehydroepiandrosterone. The reduced androgenicity of Fluasterone may obviate toxicities associated with the androgenicity of the parent compound. Antitumor agent. Used in clinical trials for prostate cancer prevention.<br>References Bentley, P., et al.: Food Chem. Toxicol., 31, 857 (1993), Rao, K., et al.: Cancer Res., 59, 3084 (1999), Masuzaki, H., et al.: Science, 294, 2166 (2001), Osawa, E., et al.: Life Sci., 70, 2623 (2002),<br></p>Formule :C19H27FOCouleur et forme :White To Off-WhiteMasse moléculaire :290.42Tiazofurin
CAS :Produit contrôlé<p>Stability Very Very Hygroscopic<br>Applications Tiazofurin has antitumor activity and is a potential therapeutic agent in the treatment of cancer. Tiazofurin acts as an inhibitor of Inosine-5'-monophosphate (IMP) dehydrogenase.<br>References Streeter, D.G. et al.: Biochem. Biophys. Res. Comm., 115, 544 (1983); Boritzki, T. et al.: Biochem. Pharmacol., 34, 1109 (1985); Malek, K. et al.: Leuk. Res., 28, 1125 (2004);<br></p>Formule :C9H12N2O5SCouleur et forme :NeatMasse moléculaire :260.27Abemaciclib-D8
CAS :Produit contrôléFormule :C27D8H24F2N8Couleur et forme :NeatMasse moléculaire :514.643

