
Toxicologie
Les standards de toxicologie sont utilisés pour étudier les effets nocifs des substances sur les systèmes biologiques. Ces standards sont essentiels pour évaluer la sécurité et la toxicité des médicaments, des produits chimiques et des agents environnementaux. Chez CymitQuimica, nous proposons une large sélection de standards de toxicologie, permettant aux chercheurs d'évaluer les risques potentiels liés à l'exposition à divers composés.
13652 produits trouvés pour "Toxicologie"
Trier par
Degré de pureté (%)
0
100
|
0
|
50
|
90
|
95
|
100
(E)-Thiothixene
CAS :Produit contrôlé<p>Applications (E)-Thiothixene is an antipsychotic agent used in the treatment of psychological disorders.<br>References Andorn, A. et al.: Brain Res., 971, 66 (2003); Seeman, P. et al.: Mol. Pharmacol. 28, 391 (1985);<br></p>Formule :C23H29N3O2S2Couleur et forme :NeatMasse moléculaire :443.63Trandolapril-phenyl-d5
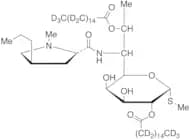
CAS :Produit contrôlé<p>Applications A labelled antihypertensive. Angiotensin converting enzyme (ACE) inhibitor.<br>References Brown, N.L., et al.: Eur. J. Pharmacol., 148, 79 (1988), Kober, L., et al.: N. Engl. J. Med., 333, 1670 (1995), Malik, R.A., et al.: Lancet, 352, 1978 (1998)<br></p>Formule :C24H29D5N2O5Couleur et forme :NeatMasse moléculaire :435.57Parathion-methyl
CAS :<p>Applications Parathion-methyl is an derivative of Parathion (P192220), an organophosphate insecticide used on cotton, rice and fruit trees. Useful in cannabis testing kits as a component of pesticide mixes (P698230).<br> Not a dangerous good if item is equal to or less than 1g/ml and there is less than 100g/ml in the package<br>References Sykes, M., et al.: J. Agri. Food. Chem., 61, 4205 (2013); Sipes, N.S., et al.: Chem. Res. Toxicol., 26, 878 (2013);<br></p>Formule :C8H10NO5PSCouleur et forme :NeatMasse moléculaire :263.2111-Oxo-1,4,7,10-tetraazabicyclo[8.2.2]tetradecane-4,7-diacetic Acid
CAS :Produit contrôléFormule :C14H24N4O5Couleur et forme :NeatMasse moléculaire :328.36N-Desmethyl Regorafenib-d3
CAS :Produit contrôlé<p>Applications N-Desmethyl Regorafenib-d3 is the isotope labelled analog of N-Desmethyl Regorafenib (D293270); a synthetic metabolite of Regorafenib (R143000) used for treatment and prevention of cancer.<br>References Wilhelm, S.: PCT Int. Appl. WO 2011130728 A1 20111020. Oct 20, 2011<br></p>Formule :C20H10D3ClF4N4O3Couleur et forme :NeatMasse moléculaire :471.81Silodosin-d4
CAS :Produit contrôléFormule :C25D4H28F3N3O4Couleur et forme :NeatMasse moléculaire :499.559Ethylamine Desmethoxy Fluvoxamine
CAS :Produit contrôléFormule :C16H24F3N3OCouleur et forme :NeatMasse moléculaire :331.38N-Benzoyl rac-Cidofovir Diethyl Phosphonate-D₅
CAS :Produit contrôléFormule :C19D5H21N3O7PCouleur et forme :NeatMasse moléculaire :444.43Thiophanate Ethyl-d10
CAS :Produit contrôlé<p>Applications Thiophanate Ethyl-d10 is the isotope labelled analog of Thiophanate Ethyl; a systemic fungicide used in plant protection. Thiophanate Ethyl was shown to be effective against Botryotinia [ Sclerotinia] fuckeliana and Uncinula necator on grapevines, Mycosphaerella fragariae on strawberries, and powdery mildew of cucumber.<br>References Baicu, T., et al.: Analele Institutului de Cercetari pentru Protectia Plantelor, 8, 227 (1970)<br></p>Formule :C14H8D10N4O4S2Couleur et forme :NeatMasse moléculaire :380.512’,3’,4’-Tri-O-benzoyl Propofol-d17 β-D-Glucuronide Methyl Ester
Produit contrôlé<p>Applications 2’,3’,4’-Tri-O-benzoyl Propofol-d17 β-D-Glucuronide Methyl Ester is an protected metabolite of Propofol (P829750), an anesthetic used in veternary medicine.<br>References Fujiwara, R., et al.: Drug Metab. Dispos., 35, 747 (2007), Soars, M., et al.: J. Pharmacol. Toxicol. Methods, 47, 161 (2002),<br></p>Formule :C40H23D17O10Couleur et forme :NeatMasse moléculaire :697.84Isomer of Nebivolol Hydrochloride at RRT 1.13
Produit contrôléFormule :C22H25F2NO4Couleur et forme :NeatMasse moléculaire :405.175167-Propyltryptophol
CAS :Produit contrôléFormule :C13H17NOCouleur et forme :NeatMasse moléculaire :203.28Phentolamine Methanesulfonate Salt
CAS :Produit contrôlé<p>Stability Aq. Solutions Cannot be Stored<br>Applications Phentolamine Methanesulfonate Salt is an adrenergic blocking agent. An antihypertensive. Used for the treatment of pheochromocytoma.<br>References Meier, R., et al.: Proc. Soc. Exp. Biol. Med., 71, 70 (1949); Spergel, G., et al.: J. Am. Med. Assoc., 211, 266 (1970); Gould, L. and Reddy, C.V.R.: Am. Heart J., 92, 397 (1976);<br></p>Formule :C17H19N3O·CH4O3SCouleur et forme :Off-WhiteMasse moléculaire :377.46N-[(6-Chloropyridin-3-yl)methyl]methylamine
CAS :<p>Applications N-[(6-Chloropyridin-3-yl)methyl]methylamine is a metabolite of Acetamiprid (A158000), a novel neonicotinid insecticide against Holotrichia consanguinea in sugarcane.<br>References Liu, Z.H., et al.: Pest, Manage. Sci., 67, 1245 (2011); Brunet, J.L., et al.: Pest. Manage. Sci., 61, 742, (2005);<br></p>Formule :C7H9ClN2Couleur et forme :Light YellowMasse moléculaire :156.61Lorazepam-13C2,15N
CAS :Produit contrôléFormule :C2C13H10Cl215NNO2Couleur et forme :NeatMasse moléculaire :324.1374-Hydroxy-17α-methyl-19-nortestosterone
CAS :Produit contrôléFormule :C19H28O3Couleur et forme :NeatMasse moléculaire :304.4242-Oxo-mirabegron N-Carbamoylglucuronide
CAS :Produit contrôlé<p>Applications 2-Oxo-mirabegron N-Carbamoylglucuronide is a metabolite of Mirabegron (M364900) which is a potent bladder relaxant and reagent for diabetes remedy.<br>References van Teijlingen, R., et al.: J. Chromat. B Anl. Technol. Biomed. Life Sci., 887, 102 (2012)<br></p>Formule :C28H30N4O10SCouleur et forme :NeatMasse moléculaire :614.625-Dehydroxy (3S)-Atorvastatin-d5
CAS :Produit contrôléFormule :C33D5H30FN2O4Couleur et forme :NeatMasse moléculaire :547.6713-(t-Butyldimethylsilyl)morphine N-Oxide
Produit contrôlé<p>Applications 3-(t-Butyldimethylsilyl)morphine N-Oxide is a by-product intermediate in synthesizing Morphinone N-Oxide ()M652352, a derivative of morphinone (M652350), which is a toxic metabolite of Morphine, a controlled substance.<br>References James, R., et al.: J. Pharmacol. Exp. Ther., 221, 708 (1982); Yamano, S., et al.: J. Biol. Chem., 260, 5259 (1985); Ishida, T., et al.: Drug Metab. Dispos., 17, 77 (1989); Yamano, S., et al.: Xenobiotica, 27, 645 (1997)<br></p>Formule :C23H33NO4SiCouleur et forme :NeatMasse moléculaire :415.598(±)-Tramadol-d6 HCl (N,N-dimethyl-d6) (cis/trans mixture)
CAS :Produit contrôlé<p>Applications (±)-Tramadol-d6 HCl (N,N-dimethyl-d6) (cis/trans mixture) (CAS# 1189374-50-2) is a useful isotopically labeled research compound.<br></p>Formule :C16D6H19NO2·ClHCouleur et forme :NeatMasse moléculaire :305.87δ6-Testosterone (1.0mg/ml in Acetonitrile)
CAS :Produit contrôléFormule :C19H26O2Couleur et forme :Single SolutionMasse moléculaire :286.402-Chloromethyl Dabigatran Etexilate
Produit contrôléFormule :C35H42ClN7O5Couleur et forme :NeatMasse moléculaire :676.205Propafenone-d5 Hydrochloride
CAS :Produit contrôlé<p>Applications Propafenone-d5 Hydrochloride is the labeled analogue of Propafenone Hydrochloride (P757500), a sodium channel blocker. Antiarrhythmic (class IC).<br>References Hollmann, M., et al.: Arzneim.-Forsch., 33, 763 (1983); Bryson, H. M., et al.:Drugs, 45, 85 (1993); Rae, A. P., et al.: Am. J. Cardiol., 82, 59N (1998)<br></p>Formule :C21H23D5ClNO3Couleur et forme :NeatMasse moléculaire :382.94Tianeptine Metabolite MC5-d4 Sodium Salt
CAS :Produit contrôlé<p>Applications Labelled, primary metabolite of Tianeptine.<br>References Dresse, A., et al.: J. Clin. Pharmacol., 28, 1115 (1988), Grislain, L., et al.: Drug Metab. Dispos., 18, 804 (1990),<br></p>Formule :C19H16D4ClN2NaO4SCouleur et forme :NeatMasse moléculaire :434.91Birinapant
CAS :Produit contrôlé<p>Applications Birinapant is a bivalent SMAC mimetic compound antagonist of TRAF2 associated cIAP1 and cIAP2.<br>References Benetatos, C.A., et. al.: Mol. Cancer Ther., 13, 867 (2014)<br></p>Formule :C42H56F2N8O6Couleur et forme :NeatMasse moléculaire :806.94Testosterone-d8 (1mg/ml in Acetonitrile)
CAS :Produit contrôléFormule :C19H20D8O2Couleur et forme :Single SolutionMasse moléculaire :296.47rac erythro-Dihydro Bupropion N-β-D-Glucuronide
Produit contrôléFormule :C19H28ClNO7Couleur et forme :NeatMasse moléculaire :417.881Dehydro Cyclosporin A (~90%)
Produit contrôléFormule :C26H34FNO5Degré de pureté :~90%Couleur et forme :NeatMasse moléculaire :459.55Morphine 3-β-D-Glucuronide Methyl Ester
Produit contrôlé<p>Applications Protected Morphine metabolite.<br></p>Formule :C24H29NO9Couleur et forme :NeatMasse moléculaire :475.49Norepitestosterone 4-Nitrobenzoate
CAS :Produit contrôléFormule :C25H29NO5Couleur et forme :NeatMasse moléculaire :423.502Octadecanedioic Acid Mono-L-carnitine-d3 Ester Chloride
CAS :Produit contrôléFormule :C25H44D3NO6Couleur et forme :NeatMasse moléculaire :311.332'-O-Benzoylpaclitaxel
CAS :Produit contrôlé<p>Applications 2'-O-Benzoylpaclitaxel is a derivative of Paclitaxel (P132500) which has anticancer properties.<br>References Zhong, T., et al.: Bioconjugate Chem., 29, 437-444 (2018)<br></p>Formule :C54H55NO15Couleur et forme :NeatMasse moléculaire :958.012Eltenac-13C,d3
CAS :Produit contrôlé<p>Applications Labelled Eltenac (E507000). A nonsteroidal anti-inflammatory drug.<br>References Allen, A., et al.: Gut, 21, 249 (1980), Tobin, T., et al.: J. Vet. Pharmacol. Therap., 9, 1 (1986),<br></p>Formule :CC11H7Cl2D2NO2SCouleur et forme :NeatMasse moléculaire :302.18Asenapine-d7 (Major)
CAS :Produit contrôlé<p>Applications Labelled Asenapine. Asenapine is a combined serotonin (5HT2) and dopamine (D2) receptor antagonist; structurally related to Mianserin. Antipsychotic.<br> Not a dangerous good if item is equal to or less than 1g/ml and there is less than 100g/ml in the package<br>References Meltzer, H. et al.: J. Pharmacol. Exp. Ther., 251, 238 (1989); Schotte, A. et al.: Brain Res., 631, 191 (1993); Andree, B. et al.: Psychopharmacology, 131, 339 (1997); Richelson, E. et al.: Life Sci., 68, 29 (2000);<br></p>Formule :C17D7H9ClNOCouleur et forme :NeatMasse moléculaire :292.81Ritonavir Impurity K
CAS :Produit contrôléFormule :C28H35N3O5SCouleur et forme :NeatMasse moléculaire :525.66Desoximetasone 21-Glucuronide
Produit contrôléFormule :C28H37FO10Couleur et forme :NeatMasse moléculaire :552.58Octadecanedioic Acid Mono-L-carnitine Ester Chloride
CAS :Produit contrôléFormule :C25H48ClNO6Couleur et forme :NeatMasse moléculaire :494.1Isopentyl Carnitine Inner Salt-d3
Produit contrôléFormule :C12D3H18NO4Couleur et forme :NeatMasse moléculaire :246.318Dicamba-d3
CAS :Produit contrôlé<p>Applications Herbicide.<br>References Oehler, D.D., et al.: J. Agric. Food Chem., 28, 685 (1980),<br></p>Formule :C82H3H3Cl2O3Couleur et forme :NeatMasse moléculaire :224.06Bupirimate, 90%
CAS :Produit contrôlé<p>Applications Bupirimate is a pyrimidine based fungicide with protective and curative activity for the control of fungal diseases by interfearing with nucleic acid synthesis.<br>References Belmonte, V. N., et al.: J. Chromatograph. A., 1264, 110 (2012); Attallah, E.R., et al.: J. Food. Agri. Envrion., 10, 755 (2012);<br></p>Formule :C13H24N4O3SDegré de pureté :90%Couleur et forme :BrownMasse moléculaire :316.42Tebipenem Pivoxil
CAS :Produit contrôléFormule :C22H31N3O6S2Couleur et forme :NeatMasse moléculaire :497.63(R)-2-Flurbiprofen-d3
CAS :Produit contrôléFormule :C15D3H10FO2Couleur et forme :NeatMasse moléculaire :247.2792-Chloro-4-[(dimethylcarbamoyl)amino]benzoic Acid
CAS :Produit contrôlé<p>Applications 2-Chloro-4-[(dimethylcarbamoyl)amino]benzoic Acid is a chlortoluron metabolite that was studied in transgenic tobacco plants.<br>References Shiota, N., et al.: Pestic. Biochem. Physiol., 54, 190 (1996)<br></p>Formule :C10H11ClN2O3Couleur et forme :NeatMasse moléculaire :242.6589N-Myristoyl-N-methyltaurine Sodium Salt
CAS :Produit contrôléFormule :C17H34NO4S·NaCouleur et forme :White To Off-WhiteMasse moléculaire :371.511Des[3-[[(1-Carboxymethyl)cyclopropyl]methyl]thio]-2-propenyl Montelukast-d6 Mesylate
CAS :Produit contrôléFormule :C29D6H20ClNO·CH4O3SCouleur et forme :NeatMasse moléculaire :542.119Omeprazole-D₃ Acid Disodium Salt
CAS :Produit contrôléFormule :C17D3H12N3Na2O5SCouleur et forme :NeatMasse moléculaire :422.381Dehydro Monocrotaline, 90%
CAS :Produit contrôlé<p>Stability Light, Moisture and Temperature Sensitive<br>Applications A metabolite of the potent hepatotoxin Monocrotaline.<br> Not a dangerous good if item is equal to or less than 1g/ml and there is less than 100g/ml in the package<br>References Mattocks, A.R.: J.C.S., 8, 1155 (1969), Tepe, J.J. and Williams, R.M.: JACS, 121, 13, 2951 (1999)<br></p>Formule :C16H21NO6Degré de pureté :90%Couleur et forme :NeatMasse moléculaire :323.34S-(+)-N-Desmethyl Mephenytoin Brucine Salt
CAS :Produit contrôléFormule :C11H12N2O2•C23H26N2O4Couleur et forme :NeatMasse moléculaire :598.69N-Methyl Keto Omeprazole
Produit contrôléFormule :C17H19N3O3SCouleur et forme :NeatMasse moléculaire :345.4166-β-Hydroxycortisol-d4 Sulfate
CAS :Produit contrôléFormule :C21D4H26O9SCouleur et forme :NeatMasse moléculaire :462.5477-Acetamido-d3 Clonazepam
CAS :Produit contrôlé<p>Applications Labelled Clonazepam (C587080) metabolite.<br>References Huang, W., et al.: J. Anal. Toxicol., 19, 333 (1995), Rittner, M., et al.: J. Anal. Toxicol., 25, 115 (2001),<br></p>Formule :C17H11D3ClN3O2Couleur et forme :NeatMasse moléculaire :330.781-Benzyl-4-piperidinol
CAS :Produit contrôlé<p>Applications A piperidine based pesticide<br>References Iwakubo, M., et al.: Bioorg. Med. Chem., 15, 350 (2007), Jia, P., et al.: Eur. J. Med. Chem., 44, 772 (2009),<br></p>Formule :C12H17NOCouleur et forme :NeatMasse moléculaire :191.27(S)-7-Benzyloxy Warfarin Quinidine Salt
CAS :Produit contrôléFormule :C26H22O5·C20H24N2O2Couleur et forme :NeatMasse moléculaire :738.867Prazosin Hydrochloride Dihydrate
CAS :Produit contrôlé<p>Applications Prazosin Hydrochloride Dihydrate (Terazosin EP Impurity K) is an antihypertensive. α1-Adrenergic blocker.<br>References Jaillon, P., et al.: Clin. Pharmacokinet., 5, 365 (1980), Russell, I.J., et al.: J. Rheumatol., 12, 94 (1985), Kostek, L.J.: Anal. Profiles Drug Subs., 18, 351 (1989),<br></p>Formule :C19H21N5O4•HCl•2(H2O)Couleur et forme :NeatMasse moléculaire :383.40 + 36.46 + 2(18.02)Mixture of (R)-Apomorphine-11-sulfate Potassium Salt-d5 + (R)-Apomorphine-10-sulfate (d4-Major) (90%)
Produit contrôlé<p>Applications: (R)-Apomorphine-11-sulfate Potassium Salt-d5 is the isotope labelled analog of (R)-Apomorphine-11-sulfate Potassium Salt (A727520); a derivative of (R)-Apomorphine (A727500) which is a dopamine (D1 and D2) receptor agonist, emetic, and antiparkinsonian.<br>References Neumeyer, J.L., et al.: J. Pharm. Sci., 59, 1850 (1970); Ginos, J.Z., et al.: J. Med. Chem., 18, 1194 (1975); Muhtadi, F.J., et al.: Anal. Profiles Drug Subs., 20, 121 (1991)<br></p>Formule :C17H11D5KNO5SDegré de pureté :90%Couleur et forme :NeatMasse moléculaire :390.513-Hydroxy-cis-5-tetradecenoylcarnitine Inner Salt
Produit contrôléFormule :C21H39NO5Couleur et forme :NeatMasse moléculaire :385.538Omethoate
CAS :Produit contrôlé<p>Stability Hygroscopic<br>Applications Insecticidal, acaricidal, and fungicidal combinations of carboxamides and other pesticides.<br> Not a dangerous good if item is equal to or less than 1g/ml and there is less than 100g/ml in the package<br>References Dugo, G., et al.: Food Chem., 16, 435 (2005), Caldas, E., et al.: Toxicology, 222, 132 (2006), Cabras, P., et al.: J. Agric. Food Chem., 45, 2244 (1997), Wilkinson, C., et al.: Regul. Toxicol. Pharmacol., 31, 30 (2000),<br></p>Formule :C5H12NO4PSCouleur et forme :YellowMasse moléculaire :213.19Glyphosate-13C,15N
Produit contrôlé<p>Applications Glyphosate-13C,15N is the labelled analogue of Glyphosate (G765000), which is used as a herbicide.<br>References Davis, V., et al.: Weed Sci., 57, 494 (2009), Bellaloui, N., et al.: J. Agric. Food Chem., 57, 9050 (2009),<br></p>Formule :CC2H815NO5PCouleur et forme :Off-White To Light BrownMasse moléculaire :171.06Codeine-d3 6-β-D-Glucuronide Sodium Salt
CAS :Produit contrôlé<p>Applications A labelled metabolite of Codeine (C634075). Analgesic (narcotic); antitussive.<br>References Frances, B., et al.: J. Pharm. Exp. Ther., 25, 262 (1992), Osborne, R., et al.: Br. J. Clin. Pharm., 34, 130, (1992),<br></p>Formule :C242H3H25NO9·NaCouleur et forme :NeatMasse moléculaire :500.49Alphaxalone-d5 (major)
CAS :Produit contrôlé<p>Applications Alphaxalone-d5 (major) is the labeled analogue of Alphaxalone (A575530), an anesthetic used on animals.<br> Not a dangerous good if item is equal to or less than 1g/ml and there is less than 100g/ml in the package<br>References Gieseg, M.A., et. al.: New Zeal. Vet. J., 62, 103 (2014);<br></p>Formule :C21H27D5O3Couleur et forme :NeatMasse moléculaire :337.51Methoxy Oxo-dapagliflozin
CAS :Produit contrôléFormule :C20H21ClO7Couleur et forme :NeatMasse moléculaire :408.834-Chlorophenol
CAS :<p>Applications 4-Chlorophenol is a halogenated phenol derivative and the building block of various pharmaceutical goods.<br> Not a dangerous good if item is equal to or less than 1g/ml and there is less than 100g/ml in the package<br>References Strempel, S., et al.: Environ. Toxicol. Chem., 32, 1187 (2013); Arif, N.M., et al.: J. Basic. Microbiol., 53, 9 (2013);<br></p>Formule :C6H5ClOCouleur et forme :GreyMasse moléculaire :128.562,6-Diethylaniline
CAS :Produit contrôléFormule :C10H15NCouleur et forme :NeatMasse moléculaire :149.234,4'-Dichlorodiphenyldichloroethylene - d8
CAS :Produit contrôlé<p>Applications 4,4'-DDE - d8 is a metabolite of DDT - d8 (D434197), a synthetic organochlorine insecticide that functions by opening sodium ion channels in the insects’ neurons, causing them to fire spontaneously which in turn leads to death. 4,4'-DDE - d8 has shown to have endocrine disrupting effects on gonadotropin hormones in pituitary gonadotrope cells.<br>References Saschenbrecker, P.W.: Can. J. Comp. Med., 37, 203 (1973); Balkew, M. et al.: Paras. Vect., 3, No pp. given (2010); Kikankie, C.K. et al.: Malaria J., 9, No pp. given. (2010); Battu, R.S. et al.: Sci. Total Environ., 78, 173 (1989); Zhou, J., et. al.: Environ. Toxicol. Phar., 37, 1194 (2014)<br></p>Formule :C142H8Cl4Couleur et forme :NeatMasse moléculaire :326.076-Methylenetestosterone
CAS :Produit contrôléFormule :C20H28O2Couleur et forme :NeatMasse moléculaire :300.435N-Hydroxy Ethyl ThioTEPA-d4
CAS :Produit contrôléFormule :C6D4H10N3OPSCouleur et forme :ColourlessMasse moléculaire :211.258N-De[2-(methylsulfonyl)ethyl] Lapatinib
CAS :Produit contrôlé<p>Applications A reactive metabolite of Lapatinib (L175800) which is associated with various drug toxicities. Lapatinib is metabolized mainly by P450 3A4 to form O- and N-dealkylated metabolites.<br>References He, K., et al.: Chem. Res. Toxicol., 11, 252 (1998), Rusnuk, D., et al.: Cancer Res., 61, 7196 (2001), Li, X., et al.: Drug Metab. Dispos., 37, 1242 (2009),<br></p>Formule :C26H20ClFN4O2Couleur et forme :NeatMasse moléculaire :474.91Morphine-d3 3-β-D-Glucuronide (1mg/ml in Acetonitrile)
CAS :Produit contrôléFormule :C232H3H24NO9Couleur et forme :Single SolutionMasse moléculaire :450.454N-Lignoceroyl Taurine
CAS :Produit contrôlé<p>Applications N-Lignoceroyl Taurine facilitate skin wound healing in mouse skin where it was observed that margins of a freshly inflicted wound decreases with increasing dosage of N-Lignoceroyl Taurine.<br>References Sasso, O., et al.: Proc. Natl. Acad. Sci. U. S. A., 113, E4397-E4406 (2016)<br></p>Formule :C26H53NO4SCouleur et forme :NeatMasse moléculaire :475.7683-sec-Amylphenyl N-Methylcarbamate
CAS :Produit contrôlé<p>Applications 3-sec-Amylphenyl N-Methylcarbamate is a component of the carbamate insecticide Bufencarb (B689385).<br> Not a dangerous good if item is equal to or less than 1g/ml and there is less than 100g/ml in the package<br>References Kmellar, B., et al.: Food Addit. Contam., 27, 1415 (2010); Kaufmann, A., et al.: Anal. Bioanal. Chem., 403, 1233 (2012);<br></p>Formule :C13H19NO2Couleur et forme :NeatMasse moléculaire :221.35-Methyl-N-[2-(4-sulfamoylphenyl)ethyl]-1,2-oxazole-3-carboxamide
CAS :Produit contrôlé<p>Applications 5-Methyl-N-[2-(4-sulfamoylphenyl)ethyl]-1,2-oxazole-3-carboxamide is a reagent used for the synthesis of glisoxepid (G410600). Glisoxepid is used as an antidiabetic drug. Glisoxepid is a sulfonylurea derivative used in the treatment of diabetes mellitus type 2.<br>References Schulz, M., et al.: Pharmazie, 58, 447 (2003), Viswanathan, C., et al.: Pharm. Res., 24, 1962 (2007), Drees, J., et al.: Clin. Chem., 55, 126 (2009),<br></p>Formule :C13H15N3O4SCouleur et forme :NeatMasse moléculaire :309.34N-(3-((2-Chlorothiazol-5-yl)methyl)-5-methyl-1,3,5-oxadiazinan-4-ylidene)benzenesulfonamide
Produit contrôlé<p>Applications N-(3-((2-Chlorothiazol-5-yl)methyl)-5-methyl-1,3,5-oxadiazinan-4-ylidene)benzenesulfonamide is an impurity of Thiamethoxam (T344180) which is a neonicotinoid insecticide.<br>References Oliver, J., et al.: J. Environ. Horticult., 28, 135 (2010), Ghosh, A., et al.: J. Entomol. Res., 34, 35 (2010), Chem. and Eng. News 90: 10 (2012)<br></p>Formule :C14H15ClN4O3S2Couleur et forme :NeatMasse moléculaire :386.88Pyrametostrobin
CAS :<p>Applications Pyrametostrobin is a novel fungicide. Also, it is derived from 1-Methyl-2-nitrobenzene (N572306), which is a toxic pollutant of the environment because of its large scale use in the production of explosives. It is a useful synthetic intermediate. It shows carcinogenic activity in rats.<br>References Huang, C., et al.: J. Sep., 40, 2335-2343 (2017)<br></p>Formule :C21H23N3O4Couleur et forme :NeatMasse moléculaire :381.43trans-5,6-Dihydrodihydroxynaphthol
CAS :Produit contrôléFormule :C10H10O3Couleur et forme :NeatMasse moléculaire :178.181,2-Epoxy GA3
CAS :Produit contrôlé<p>Applications 1,2-Epoxy GA3, is a derivative of Gibberellic Acid (G3774500), a hormone that is found in plants which promotes the growth and elongation of cells. Gibberellic acid acts as a plant growth regulator on account of its physiological and morphological effects in extremely low concentrations. Generally Gibberellic acid affects only the plant parts above the soil surface.<br>References Bayle, J. et al.: Chem. Biol., 13, 99 (2006); Ihara, S. et al.: J. Cell Sci., 119, 500 (2006); Suh, B. et al.: Science, 314, 1454 (2006); Rinaudo, K. et al.: Nat. Biotechnol., 25, 795 (2007);<br></p>Formule :C19H22O7Couleur et forme :NeatMasse moléculaire :362.37L-Carnitine Orotate
CAS :Produit contrôléFormule :C7H16NO3•C5H3N2O4Couleur et forme :White To Off-WhiteMasse moléculaire :162.21 + 155.09Orysastrobin
CAS :Produit contrôléFormule :C18H25N5O5Couleur et forme :White To Off-WhiteMasse moléculaire :391.42DL-Lactic Acid-13C2 Sodium
CAS :<p>Stability Very Hygroscopic<br>Applications DL-Lactic Acid-13C2 Sodium Salt is the isotope labelled sodium salt of DL-Lactic Acid. DL-Lactic Acid occurs in small quantities in the blood and muscle fluid of man and animals. The lactic acid concentration increases in muscle and blood after vigorous activity.<br>References He, W. et al.: Comp. Biochem. Phys. Part A: Mol. Int. Phys., 166, 308 (2013); Borsook, et al.: J. Biol. Chem., 102, 449 (1933); Brin, M., et al.: Ann. N.Y. Acad. Sci., 119, 851 (1965);<br></p>Formule :C13C2H5NaO3Couleur et forme :NeatMasse moléculaire :114.05Fenpropimorph
CAS :Produit contrôlé<p>Applications Systemic fungicide for control of powdery mildew, rust in cereal crops.<br> Not a dangerous good if item is equal to or less than 1g/ml and there is less than 100g/ml in the package<br>References Baloch, R.I., et al.: Phytochemistry, 23, 2219 (1984), Pommer, E.-H., et al.: Pestic. Sci., 15, 285 (1984),<br></p>Formule :C20H33NOCouleur et forme :ColourlessMasse moléculaire :303.48(±)-Octanoylcarnitine Chloride
CAS :Produit contrôléFormule :C15H30NO4•ClCouleur et forme :NeatMasse moléculaire :288.40 + 35.45Benzyl-α-α-d2 Chloride
CAS :Produit contrôlé<p>Applications Benzyl-alpha-alpha-d2 Chloride (CAS# 33712-34-4) is a useful isotopically labeled research compound.<br></p>Formule :C7H5D2ClCouleur et forme :NeatMasse moléculaire :128.6Lauric Acid-d23
CAS :Produit contrôlé<p>Applications Labeled Lauric Acid which may be used in combination with drug loading to reduce side effects, such as irritation with clarithromycin.<br>References Liu, X. et al.: Int. J. Pharma., 443, 318 (2013);<br></p>Formule :C122H23HO2Couleur et forme :NeatMasse moléculaire :223.46Pseudo Morphine (Morphine Impurity) (1mg/ml in Acetonitrile)
CAS :Produit contrôléFormule :C34H36N2O6Couleur et forme :Single SolutionMasse moléculaire :568.66(5Z,8Z)-Tetradecadienoylcarnitine
CAS :Produit contrôléFormule :C21H37NO4Couleur et forme :NeatMasse moléculaire :367.523rac-Naproxen-13C3
CAS :Produit contrôléFormule :C3C11H14O3Couleur et forme :NeatMasse moléculaire :233.237Palmitoyl-L-carnitine-13C3 Hydrochloride
CAS :Produit contrôléFormule :C20C3H46ClNO4Couleur et forme :NeatMasse moléculaire :435.015Nor Dihydrocodeine
CAS :Produit contrôlé<p>Applications Nor Dihydrocodeine is a metabolite of Dihydrocodeine (D448850).This is a controlled substance.<br>References Lahti, R., et al.: Eur. J. Pharmacol., 109, 281 (1985), Schwanstecher, M., et al.: J. Neurochem., 59, 1325 (1992), Bartlett, S., et al.: Life Sci., 57, 609 (1995), Ammon, S., et al.: Brit. J. Clin. Pharmacol., 48, 317 (1999),<br></p>Formule :C17H21NO3Couleur et forme :NeatMasse moléculaire :287.35Isodrine (>90%)
CAS :Produit contrôlé<p>Stability Light Sensitive<br>Applications Isodrine is a highly toxic compound that is used as a pesticide in the agricultural industry.<br> Not a dangerous good if item is equal to or less than 1g/ml and there is less than 100g/ml in the package<br>References Gaines, T.: Toxicol. Appl. Pharm., 14, 515 (1969); Walton, I., et al.: Org. Lett., 14, 2686 (2012)<br></p>Formule :C12H8Cl6Couleur et forme :NeatMasse moléculaire :364.9115β-Hydroxytestosterone
CAS :Produit contrôléFormule :C19H28O3Couleur et forme :NeatMasse moléculaire :304.424N-Methyl Imino Deferiprone
Produit contrôléFormule :C8H12N2OCouleur et forme :NeatMasse moléculaire :152.1942,4-Dimethylphenol-3,5,6-d3
CAS :Produit contrôlé<p>Applications 2,4-Dimethylphenol is used both as a pesticide to ward of insects or other common pests from crops from crops as well as in the synthesis of anti-oxidant compounds due to the phenol moiety in the structure. This is a labelled analog.<br>References Liu, B. et al.: J. Agri. Chem., 58, 2673 (2010); Guillen, M. et al.: J. Agri. Chem., 47, 3016 (1999); Guillen, M. et al.: J. Agri. Chem., 46, 1276 (1999); Kim, S. et al.: J. Agri. Chem., 59, 4570 (2011);<br></p>Formule :C8H7D3OCouleur et forme :Yellow-OrangeMasse moléculaire :125.18Imazalil Sulfate
CAS :Produit contrôlé<p>Stability Hygroscopic<br>Applications Imazalil Sulfate is an imidazole derivative used as a fungicide. Imazalil Sulfate controlled epidermis anthracnosis caused by Colletotrichum musae and crown rot in harvested bananas. Imazalil Sulfate is used for fungal protection of citrus fruits such as oranges and lemons as well as other fruits. Imazalil Sulfate is an effective fungicide allowing induction of barley callusin culture media.<br> Not a dangerous good if item is equal to or less than 1g/ml and there is less than 100g/ml in the package<br>References Frossard, P. et al.: Fruits, 361 (1976); Van Gestel, J. et al.: Plant Dis. Rep., 63, 283 (1979); Laencina, J. et al.: EFCE Pub. Ser., 12, 295 (1980); Coppens, L. et al.: Meded. Fac. Landbouw. Uni. Gent., 49, 351 (1984);<br></p>Formule :C14H14Cl2N2O·H2O4SCouleur et forme :NeatMasse moléculaire :395.26Diethylmorphine-d10
CAS :Produit contrôlé<p>Applications Ethylmorphine impurity.<br>References Pfeifer, S., et al.: Pharmazie, 27, 648 (1972),<br></p>Formule :C21H17D10NO3Couleur et forme :NeatMasse moléculaire :351.51Gemfibrozil 1-O-β-D-(3,4,5-O-Triacetyl)hydroxy-glucuronide (Mixture of Structural Isomers)
Produit contrôléFormule :C25H34O11Couleur et forme :NeatMasse moléculaire :510.54Ticlopidine-d4
CAS :Produit contrôlé<p>Applications An antithrombotic. A platelet aggregation inhibitor.<br>References Leblonde, G., : Biochem. Pharmacol., 27, 2099 (1978), O’Brien, J.R., et al: Thromb. Res., 13, 245 (1978), Katsumura, T., et al.: Angiology, 33, 357 (1982),<br></p>Formule :C142H4H10ClNSCouleur et forme :NeatMasse moléculaire :267.816α,3'-p-Dihydroxy Paclitaxel-d5
CAS :Produit contrôléFormule :C47H46D5NO16Couleur et forme :NeatMasse moléculaire :890.944-Hydroxy Propofol 1-O-β-D-Glucuronic Acid Methyl Ester
Produit contrôlé<p>Applications Protected Propofol metabolite.<br></p>Formule :C19H28O8Couleur et forme :NeatMasse moléculaire :384.42Heptadecanoyl L-carnitine-d3 HCl
CAS :Produit contrôléFormule :C24D3H45NO4·ClCouleur et forme :NeatMasse moléculaire :453.114Tecloftalam
CAS :Produit contrôlé<p>Applications Tecloftalam is an agrochemical fungicide. Tecloftalam is used for the control of rice bacterial leaf blight.<br>References Nakagami, K. et al.: Nip. Noyak. Gak., 5, 511 (1980); Kirkpatrick, D. et al.: J. Agric. Food Chem., 29, 608 (1981); Takahi, Y. et al.: Jap. Past. Info., 46, 25 (1985);<br></p>Formule :C14H5Cl6NO3Couleur et forme :ColourlessMasse moléculaire :447.915-Hydroxy Diclofenac-d5
Produit contrôléFormule :C14D5H6Cl2NO3Couleur et forme :NeatMasse moléculaire :317.179Methomyl Oxime
CAS :Produit contrôlé<p>Applications A metabolite of Methomyl, a carbamate pesticide, in post-mortem samples.<br>References Harvey, J., Jr., et al.: J. Agric. Food Chem., 21, 781 (1973), Pereira, W., et al.: Environ. Sci. Technol., 24, 1400 (1990),<br></p>Formule :C3H7NOSCouleur et forme :Off White SolidMasse moléculaire :105.16(R)-7-Hydroxy Warfarin-d5
CAS :Produit contrôléFormule :C19D5H11O5Couleur et forme :NeatMasse moléculaire :329.358Desloratadine-d4 N-Carboxylic Acid Methyl Ester
CAS :Produit contrôléFormule :C21D4H17ClN2O2Couleur et forme :NeatMasse moléculaire :372.88118-Hydroxycortisol (Hemiketal)-D7
CAS :Produit contrôléFormule :C21D7H23O6Couleur et forme :Off-WhiteMasse moléculaire :385.502Cyclizine-d4 Hydrochloride
CAS :Produit contrôlé<p>Applications Labelled Cyclizine. It is a piperazine derivative with anti-emetic activity that is useful in the prevention and treatment of nausea and vomiting associated with motion sickness. Antiemetic.<br> Not a dangerous good if item is equal to or less than 1g/ml and there is less than 100g/ml in the package<br>References Kuntzman, R., et al.: J. Pharmacol. Exp. Ther., 158, 332 (1967), Walker, R., et al.: Eur. J. Pharm. Sci., 4, 301 (1996), Dumasia, M., et al.: Xenobiotica, 32, 795 (2002),<br></p>Formule :C18H19D4ClN2Couleur et forme :NeatMasse moléculaire :306.8710-Hydroxy Warfarin β-D-Glucuronide-D₅
Produit contrôléFormule :C25D5H19O11Couleur et forme :NeatMasse moléculaire :505.482Everolimus, Cyclosporine and Tacrolimus Mix Standard
CAS :Produit contrôléFormule :MixtureVisitourWebsiteCouleur et forme :MixtureMasse moléculaire :Mixture - Visit our Website2-[2-(4-Fluorophenyl)ethoxy]adenosine
CAS :Produit contrôlé<p>Applications Adenosine A2 receptor agonist.<br>References Matova, M., et al.: J. Med. Chem., 32, 505 (1997), Matova, M., et al.: Drug Des. Discov., 16, 255 (2000), Adachi, H., et al.: J. Med. Chem., 50, 1810 (2007),<br></p>Formule :C18H20FN5O5Couleur et forme :NeatMasse moléculaire :405.381-Phenylthiourea
CAS :Produit contrôléFormule :C7H8N2SCouleur et forme :NeatMasse moléculaire :152.226-(2,2,2-Trifluoroacetamido)tenofovir 2,2,2-Trifluoroacetic Anhydride-d6
Produit contrôléFormule :C13D6H6F6N5O6PCouleur et forme :NeatMasse moléculaire :485.2653-Hydroxyoleylcarnitine-d3
CAS :Produit contrôléFormule :C25D3H44NO5Couleur et forme :NeatMasse moléculaire :444.663Fenitrothion-d6
CAS :Produit contrôlé<p>Applications Insecticide.<br> Not a dangerous good if item is equal to or less than 1g/ml and there is less than 100g/ml in the package<br>References Nishizawa, Y., et al.: Agric. Biol. Chem., 25, 605 (1961),<br></p>Formule :C92H6H6NO5PSCouleur et forme :Clear Colourless To YellowMasse moléculaire :283.27Desfluoro Fluvoxamine Alcohol
Produit contrôléFormule :C14H22N2O2Couleur et forme :NeatMasse moléculaire :250.337Dibutyldiethyltin
CAS :Produit contrôlé<p>Applications Dibutyldiethyltin belongs to a class of organotin compounds that are commonly used as pesticides and fungicides and as plastics additives.<br>References Krupp, E.M. et al.: Environ. Sci. Technol., 45, 943 (2011)<br></p>Formule :C12H28SnCouleur et forme :NeatMasse moléculaire :291.061,2-Dihydro-6-methyl-4-(1-methylethyl)naphthalene
CAS :Produit contrôléFormule :C14H18Couleur et forme :NeatMasse moléculaire :186.2936-Defluoro-(ethoxycarbonyl)piperazinyl-7-N-ethoxycarbonyl Norfloxacin
Produit contrôléFormule :C26H35N5O7Couleur et forme :NeatMasse moléculaire :529.593-Bromo-1-(2,2-dimethoxyethyl)-1,4-dihydro-4-oxo-2,5-pyridinedicarboxylic Acid 2,5-Diethyl Ester
CAS :Produit contrôléFormule :C15H20BrNO7Couleur et forme :NeatMasse moléculaire :406.23(S)-7,8-Dihydroxy Efavirenz
CAS :Produit contrôlé<p>Applications (S)-7,8-Dihydroxy Efavirenz is a metabolite of (S)-Efavirenz (E425000); a nonnucleoside HIV-1 reverse transcriptase inhibitor.<br>References Young, S. D., et al.: Antimicrob. Ag. Chemother., 39, 2602 (1995); Deng, Y., et al.: J. Sep. Sci., 38, 1529 (2015)<br></p>Formule :C14H9ClF3NO4Couleur et forme :NeatMasse moléculaire :347.673-Desmethyl Trimethoprim Glucuronide
CAS :Produit contrôléFormule :C19H24N4O9Couleur et forme :NeatMasse moléculaire :452.415Boc Velpatasvir R Isomer (Methoxy Methyl)
CAS :Produit contrôléFormule :C44H53N7O7Couleur et forme :NeatMasse moléculaire :791.956-(Aminomethyl)-5-fluoro-3-pyridinecarboxylic Acid Methyl Ester
CAS :Produit contrôléFormule :C8H9FN2O2Couleur et forme :NeatMasse moléculaire :184.168Eugenol-glucuronide
CAS :Produit contrôlé<p>Applications Eugenol-glucuronide is a metabolite of Eugenol (E938640) formed in isolated rat hepatocytes.<br>References Thompson, David C., et al.: Chemico-Bio. Inter., 77(2), 137-47 (1991)<br></p>Formule :C16H20O8Couleur et forme :NeatMasse moléculaire :340.325Zanamivir Azide Methyl Ester
CAS :Produit contrôlé<p>Applications An intermediate used in the preparation of Zanamivir derivatives.<br>References Andrews, D., et al.: Eur. J. Med. Chem., 34, 563 (1999), Altamore, T., et al.: Bioorg. Med. Chem., 14, 1126 (2006),<br></p>Formule :C12H18N4O7Couleur et forme :NeatMasse moléculaire :330.29Ethyl 4-(4-Fluorophenyl)-6-isopropyl-2-amino-pyrimidine-5-carboxylate
CAS :Produit contrôlé<p>Applications An intermediate of Rosuvastatin (R700500).<br>References Laufer, S., et al.: J. Med. Chem., 45, 2733 (2002), Palani, A., et al.: Bioorg. Med. Chem. Lett., 13, 709 (2003),<br></p>Formule :C16H18FN3O2Couleur et forme :NeatMasse moléculaire :303.33(1R,6S)-2,8-Diazabicyclo[4.3.0]nonane
CAS :Produit contrôléFormule :C7H14N2Couleur et forme :NeatMasse moléculaire :126.2(+)-6-Aminopenicillanic Acid-d3
CAS :Produit contrôléFormule :C8D3H9N2O3SCouleur et forme :NeatMasse moléculaire :219.276(3-Ethyl-1-adamantyl)amine Hydrochloride
CAS :Produit contrôlé<p>Applications 3-Ethyl 3,5-Didemethyl Memantine is an impurity of Memantine (HCl salt, M218000) which is used as an antiparkinsonian and antispasmodic.<br>References Rohde, H., et al.: Fortschr. Med., 100, 2023 (1982), Kornhuber, J., et al.: Eur. J. Pharmacol., 166, 589 (1989), Gortelmeyer, R. and Erbler, H.: Arzneimittel-Forsch., 42, 904 (1992)<br></p>Formule :C12H21N·ClHCouleur et forme :NeatMasse moléculaire :215.76Ceftiofur Sulfoxide
Produit contrôléFormule :C19H17N5O8S3Couleur et forme :NeatMasse moléculaire :539.562Bicyclo[2.2.2]octan-1-amine Hydrochloride
CAS :Produit contrôléFormule :C8H15N·HClCouleur et forme :NeatMasse moléculaire :161.672Vancomycin Methyl Ester
CAS :Produit contrôléFormule :C67H77Cl2N9O24Couleur et forme :NeatMasse moléculaire :1463.28Forsythoside A
CAS :Produit contrôlé<p>Applications Forsythoside A is used as an antiinflammatory agent in traditional Chinese medicine.<br>References Li, H. et al.: Phytother. Res., 25, 338 (2011);<br></p>Formule :C29H36O15Couleur et forme :NeatMasse moléculaire :624.592-[syn-2-Phenoxy-hex-3-yl]-2,4-dihydro-4-[4-[4-(4-hydroxyphenyl)-1-piperazinyl]phenyl]-3H-1,2,4-triazol-3-one
Produit contrôléFormule :C30H35N5O3Couleur et forme :NeatMasse moléculaire :513.63(1R,2R)-2-((Benzyloxy)methyl)cyclopent-3-en-1-yl 4-Nitrobenzoate
Produit contrôléFormule :C20H19NO5Couleur et forme :NeatMasse moléculaire :353.3694-Amino-1-(10-aminodecyl)-2-methylquinolin-1-ium Iodide
Produit contrôléFormule :C20H32N3·ICouleur et forme :NeatMasse moléculaire :441.393Ritonavir Hydroperoxide
CAS :Produit contrôléFormule :C37H48N6O7S2Couleur et forme :NeatMasse moléculaire :752.94N-FMoc-13-O-Ethylamphotericin B
Produit contrôléFormule :C64H87NO19Couleur et forme :NeatMasse moléculaire :1174.371Atorvastatin Lactam Phenanthrene Calcium Salt Impurity (mixture of diastereomers)
CAS :Produit contrôlé<p>Impurity Atorvastatin lactam phenanthrene calcium salt impurity<br>Applications Atorvastatin (A791750) impurity. A stable Atorvastatin formulation.<br></p>Formule :C33H32FN2O6·CaCouleur et forme :NeatMasse moléculaire :1183.31b-Phenylethyl Furoate
CAS :Produit contrôlé<p>Applications b-Phenylethyl Furoate (cas# 7149-32-8) is a useful research chemical.<br></p>Formule :C13H12O3Couleur et forme :Dark OrangeMasse moléculaire :216.23Cefoperazone N-Methyl-d3
CAS :Produit contrôléFormule :C25D3H24N9O8S2Couleur et forme :NeatMasse moléculaire :648.686(5R)-Flucloxacillin N4-[N-[[3-(2-Chloro-6-fluoro-phenyl)-5-methyl-4-isoxazolyl]carbonyl]-glycinyl] Penilloic Acid
Produit contrôlé<p>Applications (5R)-Flucloxacillin N4-[N-[[3-(20chloro-6-fluoro-phenyl)-5-methyl-4-isoxazolyl]carbonyl]-glycinyl] Penilloic Acid is an impurity of Flucloxacillin (F419200), a new semisynthetic penicillin.<br>References Markovich, M., et al.: Antibiot. Med. Biotekhnol., 31, 603 (1986), Rahman, M., et al.: Biochem. Pharmacol., 46, 1721 (1993), Silva, D., et al.: Med. Biol. Res., 37, 963 (2004),<br></p>Formule :C32H27Cl2F2N5O9SCouleur et forme :NeatMasse moléculaire :766.553Itraconazole Imidazolium Impurity
Produit contrôléFormule :C34H35Cl2N8O4·ClCouleur et forme :NeatMasse moléculaire :726.052Cuprous Cyanide-15N
CAS :Produit contrôlé<p>Applications Cuprous Cyanide-15N is an intermediate in the synthesis of Bictegravir-15N, d2 (B382096), which is the labeled version of Bictegravir, which is a novel, potent inhibitor of HIV-1 integrase with an IC50 of 7.5 nM.<br>References Tsiang M. et al.: Antimicrob Agents Chemother. 2016 Nov 21;60(12):7086-7097;<br></p>Formule :CCu15NCouleur et forme :NeatMasse moléculaire :90.557Ethanol-13C2
CAS :Produit contrôlé<p>Applications Ethanol-13C2 is a labelled analogue of Ethanol, which is used in alcoholic beverages in suitable dilutions and as solvent in laboratory and industry, in the manufacture of denatured alcohol, pharmaceuticals, in perfumery, and in organic synthesis.<br> Not a dangerous good if item is equal to or less than 1g/ml and there is less than 100g/ml in the package<br>References Wiberg, G.S., et al.: Toxicol. Appl. Pharmacol., 16, 718 (1970); Brown, N.A., et al.: Science, 206, 573 (1979);<br></p>Formule :C2H6OCouleur et forme :NeatMasse moléculaire :48.054,4-Dibromo-2,4-dihydro-5-methyl-3H-pyrazol-3-one
CAS :<p>Applications 4,4-Dibromo-2,4-dihydro-5-methyl-3H-pyrazol-3-one is used in the preparation of antimoebic compounds such as thiosemicarbazide derivatives. Also used in the preparation of triazine molecules displaying antifungal activity.<br>References Singh, S. et al.: Eur. J. Pharm. Sci., 25, 255 (2005); Tewari, A. et al.: Indian. J. Chem. B., 41B, 664 (2002);<br></p>Formule :C4H4Br2N2OCouleur et forme :NeatMasse moléculaire :255.8951-(Hexadecyl-d33)pyridin-1-ium Bromide
CAS :Produit contrôléFormule :C21H5D33ClBrNCouleur et forme :NeatMasse moléculaire :417.64(AlphaS,BetaR)-β-(2,5-Difluorophenyl)-β-hydroxy-α-methyl-1H-1,2,4-triazole-1-butanenitrile
CAS :Produit contrôléFormule :C13H12F2N4OCouleur et forme :NeatMasse moléculaire :278.26ent-Ritonavir Isopropyl-D6
Produit contrôléFormule :C37D6H42N6O5S2Couleur et forme :NeatMasse moléculaire :726.981rac Efavirenz-8-d1
CAS :Produit contrôléFormule :C14DH8ClF3NO2Couleur et forme :NeatMasse moléculaire :316.681Sulfamonomethoxine-N1-glucosiduronic Acid-d4
CAS :Produit contrôléFormule :C17D4H16N4O9SCouleur et forme :NeatMasse moléculaire :460.452Florasulam-d3
CAS :Produit contrôléFormule :C12D3H5F3N5O3SCouleur et forme :NeatMasse moléculaire :362.3025-Nitrobenzimidazole
CAS :Produit contrôléFormule :C7H5N3O2Couleur et forme :NeatMasse moléculaire :163.142-(2,4-Difluorophenyl)propan-2-ol
CAS :Produit contrôlé<p>Applications Intermediate in the preparation of antifungal agents.<br>References Saksena, A., et al.: Bioorg. Med. Chem. Lett., 4, 2023 (1994),<br></p>Formule :C9H10F2OCouleur et forme :NeatMasse moléculaire :172.174’-Hydroxy Diclofenac-d4 Acyl Glucuronide
Produit contrôléFormule :C20D4H15Cl2NO9Couleur et forme :NeatMasse moléculaire :492.297Ethyl-2,2,2-d3 Alcohol
CAS :Produit contrôlé<p>Applications Ethyl-2,2,2-d3 Alcohol: Most ethyl alcohols are used in alcoholic beverages in suitable dilutions. Other uses are as solvents in laboratory and industry , in the manufacture of denatured alcohol, pharmaceuticals, in perfumery, in organic synthesis. Used as antiseptic.<br>References Wiberg, G.S., et al.: Toxicol. Appl. Pharmacol., 16, 718 (1970), Brown, N.A., et al.: Science, 206, 573 (1979),<br></p>Formule :C2D3H3OCouleur et forme :NeatMasse moléculaire :198.673Deschloro Ticlopidine-d5
CAS :Produit contrôlé<p>Applications Isotope labelled Deschloro Ticlopidine is an impurity of Ticlopidine (T438325), an antithrombotic. A platelet aggregation inhibitor.<br>References Leblonde, G., et al.: Biochem. Pharmacol., 27, 2099 (1978), O’Brien, J.R., et al: Thromb. Res., 13, 245 (1978), Katsumura, T., et al.: Angiology, 33, 357 (1982),<br></p>Formule :C14H10D5NSCouleur et forme :NeatMasse moléculaire :234.375-epi Emtricitabine
CAS :Produit contrôlé<p>Applications 5-epi Emtricitabine is an epimer of Emtricitabine (E525000), a nucleoside reverse transcriptase inhibitor approved for treatment of human immunodeficiency virus (HIV) 1, and also has antagonistic activity against the hepatitis B virus. 5-epi Emtricitabine is also used as a reagent for the synthesis of β-L-(2R,5S)- and α-L-(2R,5R)-1,3-oxathiolane-pyrimidine and -purine nucleosides as potential HIV agents.<br>References Jeong, L., et al.: J. Med. Chem., 36, 181 (1993); Lim, S. et al.: Arch. Intern. Med., 166, 49 (2006); Smith, K., et al.: AIDS, 23, 1547 (2009)<br></p>Formule :C8H10FN3O3SCouleur et forme :NeatMasse moléculaire :247.25Lanoconazole-d3
CAS :Produit contrôléFormule :C14D3H7ClN3S2Couleur et forme :NeatMasse moléculaire :322.851Lincomycin 2,7-Dipalmitate-d62
Produit contrôléFormule :C50D62H32N2O8SCouleur et forme :NeatMasse moléculaire :945.7373-Hydromyristoyl Carnitine Inner Salt
CAS :Produit contrôléFormule :C21H41NO5Couleur et forme :NeatMasse moléculaire :387.554N2-Des(L-valinyl) Lopinavir N2,O5-Oxazine-d9
Produit contrôléFormule :C29D9H23N2O4Couleur et forme :NeatMasse moléculaire :481.631Anileridine Dihydrochloride
CAS :Produit contrôléFormule :C22H28N2O2·2ClHCouleur et forme :NeatMasse moléculaire :425.39Oseltamivir-13C2,d3 Phosphate
CAS :Produit contrôléFormule :C2C14D3H25N2O4·H2·HO4PCouleur et forme :NeatMasse moléculaire :415.404Emtricitabine-d2,15N
CAS :Produit contrôléFormule :C8D2H8F15NN2O3SCouleur et forme :NeatMasse moléculaire :250.252Sesamol-d2
CAS :Produit contrôlé<p>Applications Sesamol-d2 is the isotope labelled analog of Sesamol (S280600), which is a natural component of sesame oil with antioxidant activity. Sesamol has potential protective effects against free radicals as well as some antifungal activity. Sesamol can also be used as an intermediate in the preparation of antidepressants such as Paroxetine (P205750).<br>References Kim, J.Y. et al.: J. Agric. Food Chem., 51, 3460 (2003); Toshiko, O.: New Food Indust., 33, 1 (1991); Wynn, J.P. et al.: Lipids, 32, 605 (1997);<br></p>Formule :C7D2H4O3Couleur et forme :NeatMasse moléculaire :140.1333-(tert-Butyldimethylsilyl)morphine
CAS :Produit contrôlé<p>Applications Protected Morphine, a principal alkaloid of opium.<br>References Buchwald, M.E., et al.: J. Pharmacol. Exp. Ther., 71, 197 (1941), Muhtadi, F.J., et al.: Anal. Profiles Drug Subs., 17, 259 (1988),<br></p>Formule :C23H33NO3SiCouleur et forme :NeatMasse moléculaire :399.6(S)-Praziquantel-d11
Produit contrôléFormule :C19D11H13N2O2Couleur et forme :NeatMasse moléculaire :323.474Clarithromycin (9Z)-O-Methyloxime
CAS :Produit contrôlé<p>Impurity Clarithromycin Impurity O EP<br>Stability Hygroscopic<br>Applications Clarithromycin (9Z)-O-Methyloxime is an impurity of Clarithromycin (C559750); a semi-synthetic macrolide antibiotic and derivative of Erythromycin (E650000).<br>References Morgan, D., et al.: J. Chromatogr., 502, 351 (1990); Benson, C., et al.: Eur. J. Clin. Microbiol., 6, 173 (1987); Boyanova, L., et al.: J. Med. Microb., 61, 85 (2012); Lin, Z., et al.: Toxicol. Sci., 126, 114 (2012)<br></p>Formule :C39H72N2O13Couleur et forme :Beige SolidMasse moléculaire :776.994-Biphenylyl Sulfate Potassium Salt
CAS :Produit contrôlé<p>Applications 4-Biphenylyl Sulfate Potassium Salt is a derivative of 4-Phenylphenol (P336135). 4-Phenylphenol is a reagent used in the synthesis of pyrrolo[1,2-c]imidazole dione derivatives as selective serotonin 5-HT1A receptor agonists with antinociceptive activity.<br> Not a dangerous good if item is equal to or less than 1g/ml and there is less than 100g/ml in the package<br>References Valhondo, M., et al.: J. Med. Chem., 56, 7851 (2013); Nichols, D., et al.: Chem. Rev., 108, 1614 (2008)<br></p>Formule :C12H9O4S·KCouleur et forme :NeatMasse moléculaire :288.3608(R)-Linezolid-d3
CAS :Produit contrôlé<p>Applications Labelled analogue of (R)-Linezolid, an enatiomeric impurity of Linezolid (L466500).<br>References Bednarek, E. et al.: J. Chrom. A, 1193, 164 (2008); Nirogi, R. et al.: J. Chrom. Sci., 46, 764 (2008);<br></p>Formule :C16H17D3FN3O4Couleur et forme :NeatMasse moléculaire :340.36Stearoyl Ethanolamide-d4
CAS :Produit contrôlé<p>Applications Stearoyl Ethanolamide-d4 is the labelled analogue of Stearoyl Ethanolamide (S686608), which is a prolific fatty acid ethanolamide produced by PLD hydrolysis of membrane phospholipids.<br>References Kasatkina, L. A., et al.: Biochem. Pharmacol. 174, 113783 (2020)<br></p>Formule :C20D4H37NO2Couleur et forme :NeatMasse moléculaire :331.57(T-4)-Bis(acetato-κO)[1-cyclopropyl-6,7-difluoro-1,4-dihydro-8-methoxy-7-4-(oxo-κO)-3-quinolinecarboxylato-κO3]boron-13C,D3
Produit contrôléFormule :CC17D3H13B3F2NO8Couleur et forme :NeatMasse moléculaire :448.762N-Acetyl Didesethyl Chloroquine-d4
CAS :Produit contrôléFormule :C16D4H16ClN3OCouleur et forme :NeatMasse moléculaire :309.8276-Methoxy-1,2,3,4-tetrahydro-naphthalen-2-ylamine-d5 Hydrochloride
CAS :Produit contrôléFormule :C11H10D5NO·HClCouleur et forme :NeatMasse moléculaire :218.74Amylmetacresol-d9
CAS :Produit contrôléFormule :C12D9H9OCouleur et forme :NeatMasse moléculaire :187.326DL-threo-Chloramphenicol-d5
CAS :Produit contrôléFormule :C112H5H7Cl2N2O5Couleur et forme :NeatMasse moléculaire :328.163’,5’-Dihydrodiol Simvastatin-d6(Mixture of Diastereomers)
CAS :Produit contrôléFormule :C25D6H34O7Couleur et forme :NeatMasse moléculaire :458.618Sch 58053-d4
CAS :Produit contrôlé<p>Applications A labelled analog of Ezetimibe (E975000). SCH 58053 is a potent, rapid, and selective inhibitor of lymphatic cholesterol transport in the intestine.<br>References Ly, H., et al.: Biochem. J., 286, 937 (1992), Dujovne, C., et al.: Am. J. Cardiol., 90, 1092 (2002), Repa, J., et al.: J. Lipid Res., 43, 1864 (2002), Knopp, R., et al.: Eur. Heart J., 24, 729 (2003), Altmann, S., et al.: Science, 303, 1201 (2004),<br></p>Formule :C26H19D4ClFNO3Couleur et forme :NeatMasse moléculaire :455.95Vinclozolin
CAS :Produit contrôlé<p>Applications Vinclozolin is an agricultural fungicide which acts through an anti-androgenic mode of action, however is incapable of disrupting endocrine homeostasis (1). Affects male reproductive organs through increased gonad activity with spermatogenesis with deformities (2). Drinking water contaminant candidate list 3 (CCL 3) compound as per United States Environmental Protection Agency (EPA). Environmental contaminants; Food contaminants.<br> Not a dangerous good if item is equal to or less than 1g/ml and there is less than 100g/ml in the package<br>References 1. Flick, B. et al.: Arch. Toxicol. 2017 Apr;91(4):1941-1956.2. Watermann, B. et al.: J. Environ. Sci Health A Tox Hazard Subst Environ Eng. 2016 Nov 9;51(13):1111-20.<br></p>Formule :C12H9Cl2NO3Couleur et forme :Off-WhiteMasse moléculaire :286.111-Cyclopropyl-8-ethoxy-6,7-difluoro-1,4-dihydro-4-oxo-3-quinolinecarboxylic Acid
CAS :Produit contrôlé<p>Applications 1-Cyclopropyl-8-ethoxy-6,7-difluoro-1,4-dihydro-4-oxo-3-quinolinecarboxylic Acid is an impurity in the synthesis of Moxifloxacin (M745000), a fluorinated quinolone antibacterial.<br>References Woodcock, J.M., et al.: Antimicrob. Ag. Chemother., 41, 101 (1997), Stass, H., et al.: Antimicrob. Ag. Chemother., 42, 2060 (1998)<br></p>Formule :C15H13F2NO4Couleur et forme :NeatMasse moléculaire :309.26Des-(2-butyl) N-Allyl Itraconazole-D5
Produit contrôléFormule :C34D5H29Cl2N8O4Couleur et forme :NeatMasse moléculaire :694.6224-Acetoxynisoldipine
CAS :Produit contrôlé<p>Applications Useful as vasodilators, antihypertensives, and spasmolytics.<br></p>Formule :C22H26N2O8Couleur et forme :NeatMasse moléculaire :446.45Octahydro-6-(phenylmethyl)-1H-Pyrrolo[3,4-b]pyridine
CAS :Produit contrôlé<p>Applications Octahydro-6-(phenylmethyl)-1H-Pyrrolo[3,4-b]pyridine is an intermediate in the synthesis of moxifoxacin (M745000), a fluorinated quinolone antibacterial.<br>References Somisetti, N. et al.: Org. Chem. Indian J., 7, 123 (2011);<br></p>Formule :C14H20N2Couleur et forme :NeatMasse moléculaire :216.327-Epi-lincomycin 2,7-Dipalmitate-d62
Produit contrôléFormule :C50D62H32N2O8SCouleur et forme :NeatMasse moléculaire :945.7372-Chlorobenzhydrol-d5
Produit contrôléFormule :C13D5H6ClOCouleur et forme :NeatMasse moléculaire :223.71Terbuthylazine
CAS :<p>Applications A triazine herbicide.<br>References Schenck, F., et al.: Bull Environ. Contam. Toxicol., 73, 24 (2004),<br></p>Formule :C9H16ClN5Couleur et forme :Off-WhiteMasse moléculaire :229.714-Bromo-2-(ethyl-d3)pyridine
CAS :Produit contrôlé<p>Applications 4-Bromo-2-(ethyl-d3)pyridine is an intermediate in the synthesis of Ethionamide-d3 (E890422), a labelled antibacterial (tuberculostatic) agent.<br>References Banerjee, A., et al.: Science, 263, 227 (1994), Newton, G., et al.: J. Bacteriol., 178, 1990 (1996), Baulard, A., et al.: J. Biol. Chem., 275, 28326 (2000), Koledin, T., et al.: Arch. Microbiol., 178, 331 (2002), Cardoso, R., et al.: Antimicrob. Agents Chemother., 48, 3373 (2004),<br></p>Formule :C7D3H5BrNCouleur et forme :NeatMasse moléculaire :189.068N-7-Hydroxymethyl Baricitinib
CAS :Produit contrôlé<p>Applications 2-(1-(Ethylsulfonyl)-3-(4-(7-(hydroxymethyl)-7H-pyrrolo[2,3-d]pyrimidin-4-yl)-1H-pyrazol-1-yl)azetidin-3-yl)acetonitrile is an impurity of Baricitinib (B118690), which is a JAK1 and JAK2 inhibitor and has been studied as a promising treatment for rheumatoid arthritis.<br>References Rodgers, J., et. al.: PCT Int. Appl. 185 pp.Patent (2009), WO 2009114512 A1 20090917;Dasari, S., et. al.: Russ. J. Org., 55, 1569 (2019);<br></p>Formule :C17H19N7O3SCouleur et forme :NeatMasse moléculaire :401.443Sulfisoxazole Acetyl-d4
Produit contrôléFormule :C13D4H11N3O4SCouleur et forme :NeatMasse moléculaire :313.366Cefotaxime Proxetil-d3
CAS :Produit contrôléFormule :C22D3H24N5O10S2Couleur et forme :NeatMasse moléculaire :588.626δ-1,2,3,4,5,6-Hexachlorocyclohexane (Technical Grade)
CAS :Produit contrôléFormule :C6H6Cl6Couleur et forme :NeatMasse moléculaire :290.83Mycophenolic Acid Carboxybutoxy Ether Dimethyl Ester
Produit contrôlé<p>Applications Mycophenolic Acid Carboxybutoxy Ether Dimethyl Ester is a metabolite of Mycophenolic Acid (M831500).<br>References Wieland, E., et al.: Clin. Biochem., 33, 107 (2000), Shipkova, M., et al.: Ther. Drug Monit., 25, 1 (2003),<br></p>Formule :C24H32O8Couleur et forme :NeatMasse moléculaire :448.506Lopinavir N2,N5-(2,6-Xylyloxy)acetyl Impurity
CAS :Produit contrôlé<p>Applications Lopinavir N2,N5-(2,6-Xylyloxy)acetyl Impurity is an impurity of Lopinavir (L469480), which is a selective HIV protease inhibitor. An analogue of Ritonavir. Antiviral. It is a COVID19-related research product.<br>References Sham, H.L., et al.: Antimicrob. Ag. Chemother., 42, 3218 (1998), Kumar, G.N., et al.: Drug Metab. Dispos., 27, 86 (1999), Murphy, R.L., et al.: Antiviral Ther., 4, Suppl. 3, 85 (1999)<br></p>Formule :C38H44N2O5Couleur et forme :NeatMasse moléculaire :608.784-Hydroxy Nebivolol Hydrochloride-d4(Mixture of Diastereomers)
CAS :Produit contrôléFormule :C22H21D4F2NO5·HClCouleur et forme :NeatMasse moléculaire :461.93N-[2-(Dimethylamino)ethyl]-9,10-dihydro-9-oxo-4-acridinecarboxamide-d6
CAS :Produit contrôléFormule :C18H13D6N3O2Couleur et forme :NeatMasse moléculaire :315.4Secorapamycin B
CAS :Produit contrôléFormule :C51H81NO14Couleur et forme :NeatMasse moléculaire :932.19Pyrazinamide-d3
CAS :Produit contrôléFormule :C5D3H2N3OCouleur et forme :NeatMasse moléculaire :126.1313-Sulfobenzaldehyde Sodium (>85%)
CAS :Produit contrôlé<p>Applications 3-Sulfobenzaldehyde Sodium Salt, can be used for the preparation of a series of novel sulfonamide derivatives, as inhibitors of the enzyme histone deacetylase (HDAC) as a novel approach to the treatment of cancer.<br>References Finn, P., et al.: Helvetica Chimica Acta, 88 (7), 1630 (2005);<br></p>Formule :C7H5O4S·NaDegré de pureté :>85%Couleur et forme :NeatMasse moléculaire :208.17

