
Antibiotiques Naturels et Semi-Synthétiques
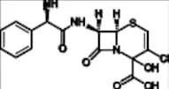
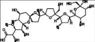
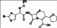
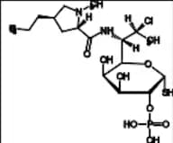
Les antibiotiques naturels et semi-synthétiques se caractérisent par des structures chimiques comprenant des cycles hétérocycliques et des groupes fonctionnels actifs qui inhibent la croissance des micro-organismes. Leurs structures leur permettent d’interagir avec les processus vitaux des bactéries, ce qui les rend utiles pour le traitement des infections bactériennes. Les antibiotiques semi-synthétiques peuvent être modifiés afin d’améliorer leur spectre d’activité ou leur résistance à la dégradation.
Chez CymitQuimica, nous proposons des antibiotiques naturels et semi-synthétiques de haute qualité pour la recherche en microbiologie et le développement pharmaceutique.
6320 produits trouvés pour "Antibiotiques Naturels et Semi-Synthétiques"
Trier par
Degré de pureté (%)
0
100
|
0
|
50
|
90
|
95
|
100
Posaconazole Impurity 72
Formule :C54H59F2N11O6Couleur et forme :White To Off-White SolidMasse moléculaire :996.13Tigecycline impurity (ring-open)
CAS :Formule :C29H37N5O10Couleur et forme :White To Off-White SolidMasse moléculaire :615.64

