Informazioni sul prodotto
Nome:Dextran (Technical Grade~ 500K)
Sinonimi:
- Dextrans
- DEX 500
- Detrax 40
- Dextranen
- Dextraven
- Eudextran
- Expandex
- G 75
- Gentran
- Gentran 40
- Hemodex
- Hyscon
- Hyskon
- Infucoll
- Intrader
- Intradex
- LMD
- LMWD
- LU 122
- LVD
- Longasteril 70
- Macrodex
- Macrose
- Oncovertin N
- Onkotin
- PL 1S
- Plasmafusin
- Plasmodex
- Plavolex
- Polyglucin
- Polyglusol
- Promit
- Rheodextran
- Rheoisodex
- Rheomacrodex
- Rheopolyglucin
- Rheopolyglucine
- Rheorondex
- Rheotran
- Rondex
- Serva G
- T 10
- T 110
- T 150
- T 20
- T 250
- T 4
- T 40
- T 5
- T 500
- T 6
- T 70
- Ultradex
- α-Dextran
- Dextran 1.5
- Dextran 10
- Dextran 1000
- Dextran 10000
- Dextran 110
- Dextran 15
- Dextran 150
- Dextran 2000
- Dextran 20000
- Dextran 250
- Dextran 3000
- Dextran 40
- Dextran 40000
- Dextran 45
- Dextran 500
- Dextran 60
- Dextran 70
- Dextran 75
- Dextran B 512
- Dextran B1355
- Dextran D 10
- Dextran PL 1S
- Dextran PT 25
- Dextran PVD
- Dextran RMI
- Dextran T 10
- Dextran T 100
- Dextran T 110
- Dextran T 150
- Dextran T 20
- Dextran T 2000
- Dextran T 40
- Dextran T 500
- Vedi altri sinonimi
Marchio:TRC
Descrizione:
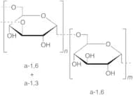
Applications Dextran is a polysaccharide composed of glucose molecules used as an antithrombotic to reduce blood viscosity and as a volume expander in anemia. Studies show that it inhibits the mannose receptor-mediated clearance of tissue-type plasminogen activator (t-PA).
References MacNeil, B.D. et al.: Fund. Clin. Cardiol., 52, 473 (2005); Noorman, F. et al.: Thromb. Haemost., 80, 210 (1998); Fushbane, S. et al.: Am. J. Kidney Dis., 28, 529 (1996);
Avviso:I nostri prodotti sono destinati esclusivamente ad uso di laboratorio. Per qualsiasi altro utilizzo, vi preghiamo di contattarci.
Proprietà chimiche
Peso molecolare:504.4
Formula:H2(C6H9O5)n(C7H12O5)mOH
Colore/Forma:Neat
InChI:InChI=1S/C17H32O10/c1-4-8-12(18)16(22)13(19)10(26-8)6-25-7-11-15(21)17(24-3)14(20)9(27-11)5-23-2/h8-22H,4-7H2,1-3H3/t8-,9-,10-,11-,12+,13-,14-,15+,16-,17+/m1/s1
InChI key:InChIKey=DPFYBZWSVVKNPZ-DTVHVPENSA-N
SMILES:CC[C@H]1O[C@H](COC[C@H]2O[C@H](COC)[C@@H](O)[C@H](OC)[C@H]2O)[C@@H](O)[C@H](O)[C@H]1O
Richiesta tecnica su: Dextran (Technical Grade~ 500K)
Si prega di utilizzare piuttosto il carrello per richiedere un preventivo o un ordine
Si prega di utilizzare piuttosto il carrello per richiedere un preventivo o un ordine. Se si desidera richiedere un preventivo o effettuare un ordine, si prega invece di aggiungere i prodotti desiderati al carrello e poi richiedere un preventivo o un ordine dal carrello. È più veloce, più economico, e potrà beneficiare degli sconti disponibili e di altri vantaggi.
