Informazioni sul prodotto
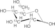
- 2,3,4,5,6-13C5-Glucose
- D-[2,3,4,5,6-13C5]Glucose
- Glucose-2,3,4,5,6-13C5
- [2,3,4,5,6-13C5]-D-Glucose
- [2,3,4,5,6-13C5]D-Glucose
Applications Labelled D-Glucose is a simple sugar that is present in plants. A monosaccharide that may exist in open chain or cyclic conformation if in solution. It plays a vital role in photosynthesis and fuels the energy required for cellular respiration. D-Glucose is used in various metabolic processes including enzymic synthesis of cyclohexyl-α and β-D-glucosides. Can also be used as a diagnostic tool in detection of type 2 diabetes mellitus and potentially Huntington's disease through analysis of blood-glucose in type 1 diabetes mellitus.
References Wang, R., et al.: J. Mol. Catal. B. Enz., 56, 131 (2009); Springhorn, C. et al.: J. Clin. Endocrinol. Metab., 97, 4640 (2012); Hashimoto, K. et al.: J. Clin. Endocrinol. Metab., 97, 3016 (2012); Avelange, M. et al.: Plant. Phys., 94, 1157 (1990); Cramer, C. et al.: J. Chem. Soc., 115, 5745 (1993);
Proprietà chimiche
Richiesta tecnica su: D-Glucose-2,3,4,5,6-13C5
Si prega di utilizzare piuttosto il carrello per richiedere un preventivo o un ordine
