
CAS 109304-40-7
:Sortieren nach
Der Reinheitsfilter ist nicht sichtbar, weil die aktuellen Produkte keine zugeordneten Reinheitsdaten für die Filterung besitzen.
1 Produkte gefunden.
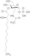
(R)-2-(Acetylamino)-2-deoxy-α-D-glucopyranose 1-(Dihydrogen phosphate) 3-(3-Hydroxytetradecanoate)
CAS:Kontrolliertes ProduktApplications (R)-2-(Acetylamino)-2-deoxy-α-D-glucopyranose 1-(Dihydrogen phosphate) 3-(3-Hydroxytetradecanoate) is an intermediate in synthesizing UDP-3-O[R-3-Hydroxymyristoyl]-N-acetylglucosamine Tris Salt (U250525), a lipid A precursor for Escherichia coli.
References Anderson, M. S. et al.: Biochem., 27, 1908 (1988)Formel:C22H42NO11PFarbe und Form:NeatMolekulargewicht:527.54
