CAS 13133-07-8
:Nystose
Beschreibung:
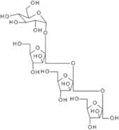
Nystose, mit der CAS-Nummer 13133-07-8, ist ein natürlich vorkommendes Oligosaccharid, das aus Fructoseeinheiten besteht. Es wird als Fructooligosaccharid (FOS) klassifiziert und stammt hauptsächlich aus der enzymatischen Hydrolyse von Inulin, einem Polysaccharid, das in verschiedenen Pflanzen vorkommt. Nystose besteht typischerweise aus einer Kette von Fructosemolekülen, oft mit einer Glucoseeinheit an einem Ende. Diese Verbindung ist bekannt für ihren süßen Geschmack, obwohl sie weniger süß ist als Saccharose. Nystose ist in Wasser löslich und zeigt präbiotische Eigenschaften, die das Wachstum von nützlichen Darmbakterien fördern. Es wird häufig in Lebensmitteln als Zuckeralternative und in Nahrungsergänzungsmitteln wegen seiner potenziellen gesundheitlichen Vorteile, einschließlich verbesserter Verdauungsgesundheit und erhöhter Mineralstoffaufnahme, verwendet. Darüber hinaus ist Nystose für seinen niedrigen Kaloriengehalt bekannt, was es zu einer beliebten Wahl in kalorienarmen und zuckerfreien Formulierungen macht. Seine Stabilität unter verschiedenen Bedingungen macht es für eine Vielzahl von Anwendungen in der Lebensmittel- und Pharmaindustrie geeignet.
Formel:C24H42O21
InChl:InChI=1S/C24H42O21/c25-1-8-12(30)16(34)17(35)21(41-8)45-24(20(38)15(33)11(4-28)44-24)7-40-23(19(37)14(32)10(3-27)43-23)6-39-22(5-29)18(36)13(31)9(2-26)42-22/h8-21,25-38H,1-7H2/t8-,9-,10-,11-,12-,13-,14-,15-,16+,17-,18+,19+,20+,21-,22-,23-,24+/m1/s1
InChI Key:InChIKey=FLDFNEBHEXLZRX-DLQNOBSRSA-N
SMILES:O([C@]1(CO[C@]2(CO[C@]3(CO)O[C@H](CO)[C@@H](O)[C@@H]3O)O[C@H](CO)[C@@H](O)[C@@H]2O)O[C@H](CO)[C@@H](O)[C@@H]1O)[C@H]4O[C@H](CO)[C@@H](O)[C@H](O)[C@H]4O
Synonyme:- 1,1-Kestotetraose
- Fructosyl-(2→1)-fructosyl-(2→1)-fructosyl-(2→1)-glucose
- Fungitetraose
- Glucopyranoside, O-β-<span class="text-smallcaps">D</smallcap>-fructofuranosyl-(2→1)-O-β-<smallcap>D</smallcap>-fructofuranosyl-(2→1)-β-<smallcap>D</smallcap>-fructofuranosyl, α-<smallcap>D</span>-
- Nystose
- O-β-<span class="text-smallcaps">D</smallcap>-Fructofuranosyl-(2→1)-O-β-<smallcap>D</smallcap>-fructofuranosyl-(2→1)-β-<smallcap>D</smallcap>-fructofuranosyl α-<smallcap>D</span>-glucopyranoside
- beta-D-fructofuranosyl-(2->1)-beta-D-fructofuranosyl-(2->1)-beta-D-fructofuranosyl alpha-D-glucopyranoside
- α-<span class="text-smallcaps">D</smallcap>-Glucopyranoside, O-β-<smallcap>D</smallcap>-fructofuranosyl-(2→1)-O-β-<smallcap>D</smallcap>-fructofuranosyl-(2→1)-β-<smallcap>D</span>-fructofuranosyl
- α-D-Glucopyranoside, O-β-D-fructofuranosyl-(2→1)-O-β-D-fructofuranosyl-(2→1)-β-D-fructofuranosyl
- O-β-D-Fructofuranosyl-(2→1)-O-β-D-fructofuranosyl-(2→1)-β-D-fructofuranosyl α-D-glucopyranoside
- Glucopyranoside, O-β-D-fructofuranosyl-(2→1)-O-β-D-fructofuranosyl-(2→1)-β-D-fructofuranosyl, α-D-
Sortieren nach
Reinheit (%)
0
100
|
0
|
50
|
90
|
95
|
100
12 Produkte gefunden.
Nystose
CAS:Formel:C24H42O21·xH2OReinheit:≥ 98.0% (anhydrous basis)Farbe und Form:White or off-white crystalline powderMolekulargewicht:666.58 (anhydrous)Nystose
CAS:Nystose has antioxidant capacity. Nystose and 1-Kestose can modulate the intestinal Microorganisms flora, a high content of kestose and nestose in the diet can cause a decrease in ileal and cecal pH (to 5.42 and 5.49, respectively)of turkeys, which may promote digestion.Formel:C24H42O21Reinheit:95%~99%Molekulargewicht:666.579Nystose
CAS:(2R,3R,4S,5S,6R)-2-(((2S,3S,4S,5R)-2-((((2R,3S,4S,5R)-2-((((2R,3S,4S,5R)-3,4-Dihydroxy-2,5-bis(hydroxymethyl)tetrahydrofuran-2-yl)oxy)methyl)-3,4-dihydroxy-5-(hydroxymethyl)tetrahydrofuran-2-yl)oxy)methyl)-3,4-dihydroxy-5-(hydroxymethyl)tetrahydrofuran-2-yl)oxy)-6-(hydroxymethyl)tetrahydro-2H-pyran-3,4,5-triolFormel:C24H42O21Reinheit:95%Molekulargewicht:666.58Nystose
CAS:Nystose (1,1-Kestotetraose) is a tetrasaccharide composed of two fructose molecules linked via beta (1→2) bonds to the fructosyl moiety of sucrose.Formel:C24H42O21Reinheit:99.90% - 99.93%Farbe und Form:SolidMolekulargewicht:666.58Nystose
CAS:A short chain isomer of inulinFormel:C24H42O21Reinheit:Min. 98 Area-%Farbe und Form:White Off-White PowderMolekulargewicht:666.58 g/molNistose Trihydrate
CAS:Formel:C24H42O21·3H2OReinheit:>99.0%(HPLC)Farbe und Form:White to Almost white powder to crystalMolekulargewicht:720.63










