
CAS 1921-48-8
:Thionicotinamidadenindinukleotid, *reduziert
Beschreibung:
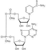
Die Thionicotinamid-Adenin-Dinukleotid (reduzierte Form), allgemein als TADH abgekürzt, ist ein Coenzym, das an verschiedenen biochemischen Reaktionen beteiligt ist, insbesondere an Redoxprozessen. Es ist ein Derivat des Nicotinamid-Adenin-Dinukleotids (NADH) und spielt eine entscheidende Rolle im Zellstoffwechsel, indem es als Elektronentransporter in Oxidations-Reduktions-Reaktionen fungiert. Die reduzierte Form zeigt an, dass es Elektronen akzeptiert hat, was es für die Energieproduktion in der Zellatmung unerlässlich macht. TADH zeichnet sich durch seine Fähigkeit aus, an enzymatischen Reaktionen teilzunehmen und den Transfer von Elektronen und Protonen zu erleichtern. Dieses Coenzym ist auch an der Synthese von Nukleotiden und der Regulation von Stoffwechselwegen beteiligt. Seine Struktur umfasst eine Nicotinamid-Gruppe, eine Adenin-Einheit und eine Phosphatgruppe, die zu seiner biochemischen Funktionalität beiträgt. Die CAS-Nummer 1921-48-8 identifiziert diese Verbindung eindeutig in chemischen Datenbanken und unterstützt deren Erkennung und Untersuchung in verschiedenen wissenschaftlichen Forschungskontexten. Insgesamt ist TADH in der Biochemie von Bedeutung für seine Rolle im Energiestoffwechsel und in der Zellfunktion.
Formel:C21H27N7Na2O13P2S
Sortieren nach
Reinheit (%)
0
100
|
0
|
50
|
90
|
95
|
100
3 Produkte gefunden.
β-Thionicotinamide adenine dinucleotide, reduced form disodium salt
CAS:β-Thionicotinamide adenine dinucleotide, reduced form disodium saltFormel:C21H27N7O13P2S·2NaReinheit:92%Farbe und Form:SolidMolekulargewicht:725.47024Thionicotinamide Adenine Dinucleotide Disodium Salt reduced form [for Biochemical Research]
CAS:Formel:C21H27N7Na2O13P2SReinheit:>93.0%(HPLC)Farbe und Form:White to Yellow to Orange powder to crystalMolekulargewicht:725.47Thionicotinamide Adenine Dinucleotide Disodium Salt Reduced (Thio-NADH) extrapure, 93%
CAS:Formel:C21H27N7O13SP2Na2Reinheit:min. 93%Farbe und Form:Yellow, PowderMolekulargewicht:725.47



