CAS 39524-08-8
:Asperosaponin VI
Beschreibung:
Asperosaponin VI ist eine triterpenoide Saponin, die hauptsächlich aus der Pflanzenart Asperula gewonnen wird und für ihre potenziellen pharmakologischen Eigenschaften bekannt ist. Diese Verbindung ist durch ihre komplexe glykosidische Struktur gekennzeichnet, die typischerweise ein hydrophobes Aglykon (den triterpenoiden Teil) enthält, das mit einem oder mehreren Zuckermolekülen verbunden ist. Asperosaponin VI zeigt verschiedene biologische Aktivitäten, einschließlich entzündungshemmender, antioxidativer und potenzieller antikanzerogener Wirkungen, was es in der medizinischen Chemie und Pharmakologie von Interesse macht. Seine Löslichkeit in Wasser wird durch die glykosidischen Komponenten beeinflusst, die seine Bioverfügbarkeit erhöhen. Darüber hinaus können Saponine wie Asperosaponin VI mit Zellmembranen interagieren, was potenziell zu hämolytischer Aktivität führen kann, die ein häufiges Merkmal von Saponinen ist. Das Sicherheitsprofil der Verbindung und ihre Wirksamkeit in therapeutischen Anwendungen sind Gegenstand laufender Forschung, was ihre Bedeutung in der Naturstoffchemie und der Arzneimittelentwicklung unterstreicht.
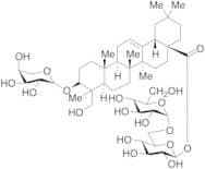
Formel:C47H76O18
InChl:InChI=1S/C47H76O18/c1-42(2)13-15-47(41(59)65-40-37(58)34(55)32(53)26(63-40)20-61-38-36(57)33(54)31(52)25(18-48)62-38)16-14-45(5)22(23(47)17-42)7-8-28-43(3)11-10-29(64-39-35(56)30(51)24(50)19-60-39)44(4,21-49)27(43)9-12-46(28,45)6/h7,23-40,48-58H,8-21H2,1-6H3/t23-,24-,25+,26+,27+,28+,29-,30-,31+,32+,33-,34-,35+,36+,37+,38+,39-,40-,43-,44-,45+,46+,47-/m0/s1
InChI Key:InChIKey=CCRXMHCQWYVXTE-HMRSNRLKSA-N
SMILES:C(O[C@@H]1O[C@H](CO[C@@H]2O[C@H](CO)[C@@H](O)[C@H](O)[C@H]2O)[C@@H](O)[C@H](O)[C@H]1O)(=O)[C@]34[C@](C=5[C@@](C)(CC3)[C@@]6(C)[C@](CC5)([C@]7(C)[C@@](CC6)([C@@](CO)(C)[C@@H](O[C@H]8[C@H](O)[C@@H](O)[C@@H](O)CO8)CC7)[H])[H])(CC(C)(C)CC4)[H]
Synonyme:- 3-O-α-<span class="text-smallcaps">L</smallcap>-Arabinopyranosylhederagenin 28-O-β-<smallcap>D</smallcap>-glucopyranosyl-(1→6)-β-<smallcap>D</span>-glucopyranoside
- Asperosaponin VI
- Hederagenin 3-O-alpha-L-arabinopyranosyl-28-beta-D-glucopyranosyl-beta-D-glucopyranoside
- Hederagenin 3-O-α-<span class="text-smallcaps">L</smallcap>-arabinopyranosyl-28-β-<smallcap>D</smallcap>-glucopyranosyl(1→6)-β-<smallcap>D</span>-glucopyranoside
- Leiyemudanoside A
- Olean-12-en-28-oic acid, 3-(α-<span class="text-smallcaps">L</smallcap>-arabinopyranosyloxy)-23-hydroxy-, 6-O-β-<smallcap>D</smallcap>-glucopyranosyl-β-<smallcap>D</span>-glucopyranosyl ester, (3β,4α)-
- Tauroside St-G<sub>0-1</sub>
- Hederagenin 3-O-α-L-arabinopyranosyl-28-β-D-glucopyranosyl(1→6)-β-D-glucopyranoside
- Akebia saponin D
- Tauroside St-G0-1
- Olean-12-en-28-oic acid, 3-(α-L-arabinopyranosyloxy)-23-hydroxy-, 6-O-β-D-glucopyranosyl-β-D-glucopyranosyl ester, (3β,4α)-
- Asperosaponin VI (Akeboside D)
- Akebia saponin D USP/EP/BP
- Asperosaponin VI, 98%, from Dipsacales
- Dipsacaceae saponin
- AkebosideD
- 3'-Amino-2'-Hydroxy-1,1' biphenyl-3-cAsperosaponin VI
- TIANFUCHEM--39524-08-8--High purity Akebia saponin D factory price
- Akebia saponin D(Asperosaponin VI)
- Weitere Synonyme anzeigen
Sortieren nach
Reinheit (%)
0
100
|
0
|
50
|
90
|
95
|
100
11 Produkte gefunden.
Asperosaponin VI
CAS:(2S,3R,4S,5S,6R)-3,4,5-Trihydroxy-6-((((2R,3R,4S,5S,6R)-3,4,5-trihydroxy-6-(hydroxymethyl)tetrahydro-2H-pyran-2-yl)oxy)methyl)tetrahydro-2H-pyran-2-yl (4aS,6aS,6bR,8aR,9R,10S,12aR,12bR,14bS)-9-(hydroxymethyl)-2,2,6a,6b,9,12a-hexamethyl-10-(((2S,3R,4S,5S)-3,4,5-trihydroxytetrahydro-2H-pyran-2-yl)oxy)-1,3,4,5,6,6a,6b,7,8,8a,9,10,11,12,12a,12b,13,14b-octadecahydropicene-4a(2H)-carboxylateFormel:C47H76O18Reinheit:98%Molekulargewicht:929.1Asperosaponin VI
CAS:Asperosaponin VI (ASA VI) is a kind of saponin in the medicinal herb Dipsacus asper Wall which has long been used as an antiosteoporosis drug, exhibits a significant induction of proliferation, differentiation and mineralization in MC3T3-E1 and primary osteoblastic cells, it may induce osteoblast maturation and differentiation, and then increase bone formation via increasing BMP-2 synthesis, and activating p38 and ERK1/2.Formel:C47H76O18Reinheit:95%~99%Farbe und Form:PowderMolekulargewicht:929.107Asperosaponin VI
CAS:Formel:C47H76O18Reinheit:>95.0%(HPLC)Farbe und Form:White to Light yellow powder to crystalMolekulargewicht:929.11Asperosaponin VI (Standard)
CAS:Asperosaponin VI (Standard) is a reference standard for research and analysis in studies involving Asperosaponin VI. Asperosaponin VI (Akebia saponin D) , the most abundant constituent of the rhizome of Dipsacus asper, has been used for the treatment of lower back pain, traumatic hematoma and bone fractures.Formel:C47H76O18Farbe und Form:SolidMolekulargewicht:929.10Asperosaponin VI
CAS:Asperosaponin VI, from Dipsacus asper rhizome, treats back pain, hematoma, and fractures.Formel:C47H76O18Reinheit:97.15% - 99.79%Farbe und Form:White SolidMolekulargewicht:929.10Asperosaponin VI
CAS:Natural glycosideFormel:C47H76O18Reinheit:≥ 95.0 % (HPLC)Farbe und Form:PowderMolekulargewicht:929.11Asperosaponin VI
CAS:Kontrolliertes ProduktApplications Asperosaponin VI is a steroidal extract with anti-inflammatory and antinociceptive activity. long term use has been seen to attenuate cardiac dysfunction.
References Choi, J. et al.: J. Med. Food, 8, 78 (2005); Li, C. et al.: Food. Chem. Toxicol., 8, 1432 (2012);Formel:C47H76O18Farbe und Form:NeatMolekulargewicht:929.1








