CAS 5346-90-7
:α-D-Cellobiose-Oktacetat
Beschreibung:
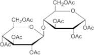
α-D-Cellobiose-Oktacetat ist ein Derivat von Cellobiose, einem Disaccharid, das aus zwei Glucoseeinheiten besteht, die durch eine β-1,4-glykosidische Bindung verbunden sind. Diese Verbindung zeichnet sich durch die Acetylierung aller Hydroxylgruppen in der Struktur der Cellobiose aus, was zu einer vollständig acetylierten Form führt. Sie erscheint typischerweise als weißer bis cremefarbener Feststoff und ist in organischen Lösungsmitteln wie Chloroform und Aceton löslich, aber weniger löslich in Wasser aufgrund ihrer hydrophoben Natur. Die Acetylierung verbessert ihre Stabilität und verändert ihre Reaktivität im Vergleich zum ursprünglichen Disaccharid. α-D-Cellobiose-Oktacetat wird häufig in der Kohlenhydratchemie für verschiedene Anwendungen verwendet, einschließlich als Schutzgruppe in synthetischen Wegen und in Studien zu Glykosylierungsreaktionen. Ihre strukturellen Merkmale können mit Techniken wie NMR-Spektroskopie und Massenspektrometrie analysiert werden, die helfen, ihre molekularen Eigenschaften zu erhellen und ihre Identität zu bestätigen. Insgesamt dient diese Verbindung als wichtiges Werkzeug im Bereich der Kohlenhydratchemie und Biochemie.
Formel:C28H38O19
InChl:InChI=1S/C28H38O19/c1-11(29)37-9-19-21(39-13(3)31)23(40-14(4)32)26(43-17(7)35)28(46-19)47-22-20(10-38-12(2)30)45-27(44-18(8)36)25(42-16(6)34)24(22)41-15(5)33/h19-28H,9-10H2,1-8H3/t19-,20-,21-,22-,23+,24+,25-,26-,27+,28+/m1/s1
InChI Key:InChIKey=WOTQVEKSRLZRSX-AXXYRMHMSA-N
SMILES:O([C@H]1[C@H](OC(C)=O)[C@@H](OC(C)=O)[C@@H](OC(C)=O)O[C@@H]1COC(C)=O)[C@H]2[C@H](OC(C)=O)[C@@H](OC(C)=O)[C@H](OC(C)=O)[C@@H](COC(C)=O)O2
Synonyme:- 1,2,3,6-tetra-O-acetyl-4-O-(2,3,4,6-tetra-O-acetyl-beta-D-glucopyranosyl)-alpha-D-glucopyranose
- 1,2,3,6-tetra-O-acetyl-4-O-(2,3,4,6-tetra-O-acetyl-beta-D-glucopyranosyl)-beta-D-glucopyranose
- 1,2,3,6-tetra-O-acetyl-4-O-(2,3,4,6-tetra-O-acetylhexopyranosyl)hexopyranose
- 4-O-(2,3,4,6-Tetra-O-acetyl--D-glucopyranosyl)-1,2,3,6-tetra-O-acetyl--D-glucopyranose
- Cellobiose Octaacetate
- Cellobiose, octaacetate, α-<span class="text-smallcaps">D</span>-
- D-Cellobiose octaacetate
- D-Glucopyranose, 4-O-(2,3,4,6-tetra-O-acetyl-beta-D-glucopyranosyl)-, 1,2,3,6-tetraacetate
- D-Glucopyranose, 4-O-(2,3,4,6-tetra-O-acetyl-beta-D-glucopyranosyl)-, tetraacetate
- NSC 1221
- NSC 1696
- O-alpha-D-glucopyranosyl(1-4)-alpha-D-glucopyranose
- Octa-O-acetyl-α-<span class="text-smallcaps">D</span>-cellobiose
- Octaacetyl-α-cellobiose
- [(2R,4R,5R)-2,3-diacetoxy-6-(acetoxymethyl)-5-[(2S,4R,5R)-3,4,5-triacetoxy-6-(acetoxymethyl)tetrahydropyran-2-yl]oxy-tetrahydropyran-4-yl] acetate
- α-<span class="text-smallcaps">D</smallcap>-Glucopyranose, 4-O-(2,3,4,6-tetra-O-acetyl-β-<smallcap>D</span>-glucopyranosyl)-, 1,2,3,6-tetraacetate
- α-<span class="text-smallcaps">D</smallcap>-Glucopyranose, 4-O-(2,3,4,6-tetra-O-acetyl-β-<smallcap>D</span>-glucopyranosyl)-, tetraacetate
- α-<span class="text-smallcaps">D</span>-Cellobiose octaacetate
- α-Cellobiopyranose octaacetate
- α-Cellobiose octaacetate
- α-D-Glucopyranose, 4-O-(2,3,4,6-tetra-O-acetyl-β-D-glucopyranosyl)-, tetraacetate
- Cellobiose, octaacetate, α-D-
- Octa-O-acetyl-α-D-cellobiose
- Weitere Synonyme anzeigen
Sortieren nach
Reinheit (%)
0
100
|
0
|
50
|
90
|
95
|
100
7 Produkte gefunden.
α-D-Cellobiose Octaacetate
CAS:Formel:C28H38O19Reinheit:>98.0%(GC)Farbe und Form:White to Almost white powder to crystalMolekulargewicht:678.59D-Cellobiose octaacetate
CAS:This Thermo Scientific Chemicals brand product was originally part of the Alfa Aesar product portfolio. Some documentation and label information may refer to the legacy brand. The original Alfa Aesar product / item code or SKU reference has not changed as a part of the brand transition to Thermo SciFormel:C28H38O19Farbe und Form:White, PowderMolekulargewicht:678.59α-D-cellobiose octaacetate
CAS:α-D-cellobiose octaacetateFormel:C28H38O19Farbe und Form:SolidMolekulargewicht:678.58992D-Cellobiose octaacetate
CAS:Formel:C28H38O19Reinheit:≥ 98.0%Farbe und Form:White to almost white powder or crystalsMolekulargewicht:678.59α-D-Cellobiose octaacetate
CAS:α-D-Cellobiose octaacetate, 98% (alpha-D-Cellobiose octaacetate, 98%) serves as a substrate for glycosidases and is also used in carbohydrate biology research.Formel:C28H38O19Farbe und Form:SolidMolekulargewicht:678.59D-Cellobiose octaacetate
CAS:Fully acetylated cellohexoses, part of a polymer homologous series of oligosaccharides isolated from cellulose by acetolysis followed by chromatography.Formel:C28H38O19Reinheit:Min. 98 Area-%Farbe und Form:White PowderMolekulargewicht:678.59 g/mola-D-Glucopyranose, 4-O-(2,3,4,6-tetra-O-acetyl-b-D-glucopyranosyl)-,tetraacetate
CAS:Formel:C28H38O19Reinheit:98%Farbe und Form:SolidMolekulargewicht:678.5899







