CAS 166410-05-5
:1,2-Bis(1,1-dimetiletil) (2S)-4-oxo-1,2-pirrolidindicarboxilato
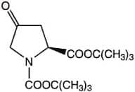
Descripción:
1,2-Bis(1,1-dimetiletil) (2S)-4-oxo-1,2-pirrolidindicarboxilato, identificado por su número CAS 166410-05-5, es un compuesto químico caracterizado por su estructura de pirrolidina, que presenta dos grupos carboxilato y un grupo funcional cetona. Este compuesto se utiliza típicamente en la síntesis orgánica y puede servir como un intermedio en la producción de varios fármacos o agroquímicos. Su estructura incluye grupos tert-butilo voluminosos, que pueden influir en su reactividad y solubilidad, haciéndolo potencialmente útil en aplicaciones que requieren hindrance estérica. La presencia del anillo de pirrolidina sugiere que puede exhibir propiedades estereoespecíficas, que pueden ser cruciales para su actividad biológica. Además, la estabilidad y reactividad del compuesto pueden verse afectadas por condiciones ambientales como la temperatura y el pH. Como con muchos compuestos orgánicos, se deben consultar los datos de seguridad para entender su manejo y posibles peligros. En general, este compuesto representa una combinación única de grupos funcionales que puede prestarse a diversas aplicaciones en la investigación química y la industria.
Fórmula:C14H23NO5
InChI:InChI=1S/C14H23NO5/c1-13(2,3)19-11(17)10-7-9(16)8-15(10)12(18)20-14(4,5)6/h10H,7-8H2,1-6H3/t10-/m0/s1
Clave InChI:InChIKey=MPNWQUWKRDADHK-JTQLQIEISA-N
SMILES:C(OC(C)(C)C)(=O)[C@H]1N(C(OC(C)(C)C)=O)CC(=O)C1
Sinónimos:- (2S)-4-Oxopyrrolidine-1,2-dicarboxylic acid di(tert-butyl) ester
- 1,2-Bis(1,1-dimethylethyl) (2S)-4-oxo-1,2-pyrrolidinedicarboxylate
- 1,2-Pyrrolidinedicarboxylic acid, 4-oxo-, 1,2-bis(1,1-dimethylethyl) ester, (2S)-
- 1,2-Pyrrolidinedicarboxylic acid, 4-oxo-, bis(1,1-dimethylethyl) ester, (2S)-
- 1,2-Pyrrolidinedicarboxylic acid, 4-oxo-, bis(1,1-dimethylethyl) ester, (S)-
- 1-(tert-butoxycarbonyl)-4-oxo-L-proline
- Boc-4-OXO-Pro-OtBu
- N-Boc-4-Oxo-L-Proline Tert-Butyl Ester
- N-T-Boc-4-Oxo-L-Proline Tert-Butyl Ester
- di-tert-butyl (2S)-4-oxopyrrolidine-1,2-dicarboxylate
Ordenar por
Pureza (%)
0
100
|
0
|
50
|
90
|
95
|
100
Se han encontrado 6 productos.
N-Boc-4-oxo-L-proline tert-butyl ester, 97%
CAS:This Thermo Scientific Chemicals brand product was originally part of the Alfa Aesar product portfolio. Some documentation and label information may refer to the legacy brand. The original Alfa Aesar product / item code or SKU reference has not changed as a part of the brand transition to Thermo SciFórmula:C14H23NO5Pureza:97%Forma y color:Pale cream, PowderPeso molecular:285.35Bis(tert-butyl) (2S)-4-oxopyrrolidine-1,2-dicarboxylate
CAS:Bis(tert-butyl) (2S)-4-oxopyrrolidine-1,2-dicarboxylateFórmula:C14H23NO5Pureza:97%Forma y color:SolidPeso molecular:285.336111,2-Pyrrolidinedicarboxylic acid, 4-oxo-, 1,2-bis(1,1-dimethylethyl) ester, (2S)-
CAS:Fórmula:C14H23NO5Pureza:97%Forma y color:SolidPeso molecular:285.3361(S)-Di-tert-butyl 4-oxopyrrolidine-1,2-dicarboxylate
CAS:Fórmula:C14H23NO5Pureza:97%Forma y color:SolidPeso molecular:285.34Boc-4-Oxo-Pro-OtBu
CAS:(S)-Di-tert-butyl 4-oxopyrrolidine-1,2-dicarboxylateFórmula:C14H23NO5Pureza:97%Peso molecular:285.34





