CAS 18680-27-8
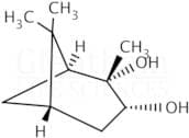
:(+)-Pinanediol
Descripción:
(+)-Pinanediol, con el número CAS 18680-27-8, es un compuesto orgánico bicíclico que pertenece a la clase de los terpenoides. Es un diol, lo que significa que contiene dos grupos funcionales hidroxilo (-OH), que contribuyen a su reactividad y solubilidad en disolventes polares. Este compuesto se deriva típicamente del pineno, un terpeno común que se encuentra en la resina de pino. (+)-Pinanediol se caracteriza por su naturaleza quiral, existiendo en una forma enantiomérica específica que exhibe actividad óptica. A menudo se utiliza en la síntesis de fragancias, sabores y como un posible intermedio en la síntesis orgánica. La presencia de grupos hidroxilo permite la formación de enlaces de hidrógeno, lo que influye en sus propiedades físicas, como el punto de ebullición y la solubilidad. Además, (+)-Pinanediol puede exhibir actividad biológica, lo que lo hace de interés en varios campos, incluidos los productos farmacéuticos y agroquímicos. Su estabilidad y reactividad pueden verse influenciadas por el entorno circundante, lo que lo convierte en un compuesto versátil en aplicaciones químicas.
Fórmula:C10H18O2
InChI:InChI=1S/C10H18O2/c1-9(2)6-4-7(9)10(3,12)8(11)5-6/h6-8,11-12H,4-5H2,1-3H3/t6-,7-,8+,10-/m0/s1
Clave InChI:InChIKey=MOILFCKRQFQVFS-OORONAJNSA-N
SMILES:CC1(C)[C@@]2(C[C@]1(C[C@@H](O)[C@@]2(C)O)[H])[H]
Sinónimos:- (+)-2-Hydroxyisopinocampheol
- (+)-Pinanediol
- (1S,2S,3R,5S)-(+)-Pinane-2,3-diol
- (1S,2S,3R,5S)-2,6,6-Trimethylbicyclo[3.1.1]heptane-2,3-diol
- (1S,2S,5S)-2,6,6-Trimethylbicyclo[3.1.1]heptane-2,3-diol
- (1S,3R,4S,5S)-4,6,6-trimethylbicyclo[3.1.1]heptane-3,4-diol
- 1s,2s,3R,5s(+)Pinanediol
- 2,3-Pinanediol
- 2,3-Pinanediol, (1S,2S,3R,5S)-(+)-
- 2,6,6-Trimethylbicyclo[3.1.1]Heptane-2,3-Diol
- 2α,3α-Pinanediol
- Bicyclo[3.1.1]heptane-2,3-diol, 2,6,6-trimethyl-, (1S,2S,3R,5S)-
- Bicyclo[3.1.1]heptane-2,3-diol, 2,6,6-trimethyl-, [1S-(1α,2α,3α,5α)]-
- Ver más sinónimos
Ordenar por
Pureza (%)
0
100
|
0
|
50
|
90
|
95
|
100
Se han encontrado 12 productos.
(1S,2S,3R,5S)-(+)-2,3-Pinanediol
CAS:Fórmula:C10H18O2Pureza:>98.0%(GC)Forma y color:White to Yellow to Orange powder to crystalPeso molecular:170.25(1S,2S,3R,5S)-2,3-Pinanediol, 99%
CAS:This Thermo Scientific Chemicals brand product was originally part of the Alfa Aesar product portfolio. Some documentation and label information may refer to the legacy brand. The original Alfa Aesar product / item code or SKU reference has not changed as a part of the brand transition to Thermo SciFórmula:C10H18O2Pureza:99%Forma y color:Crystals or powder or crystalline powder, White to creamPeso molecular:170.25(1S,2S,3R,5S)-(+)-2,3-Pinanediol
CAS:Fórmula:C10H18O2Pureza:98%Forma y color:SolidPeso molecular:170.2487Ref: IN-DA0037NG
1g20,00€5g23,00€10g31,00€25g54,00€50g81,00€100g118,00€250g206,00€500g546,00€5kg3.396,00€10kg6.334,00€(1S,2S,3R,5S)-(+)-2,3-Pinanediol
CAS:Fórmula:C10H18O2Pureza:(GC) ≥ 98.0%Forma y color:White to light beige solidPeso molecular:170.25(+)-Pinanediol
CAS:(+)-Pinanediol is a chiral terpene that induces melanin biosynthesis and nitric oxide production, useful for pigment cell biology and melanogenic research.Fórmula:C10H18O2Pureza:98.75%Forma y color:White ViscousPeso molecular:170.25(+)-Pinanediol
CAS:(1S,2S,3R,5S)-2,6,6-Trimethylbicyclo[3.1.1]heptane-2,3-diolFórmula:C10H18O2Pureza:97%Peso molecular:170.25(1S,2S,3R,5S)-(+)-2,6,6-Trimethylbicyclo[3.1.1]heptane-2,3-diol
CAS:(1S,2S,3R,5S)-(+)-2,6,6-Trimethylbicyclo[3.1.1]heptane-2,3-diolFórmula:C10H18O2Pureza:98%Forma y color:SolidPeso molecular:170.24872(1S,2S,3R,5S)-(+)-2,3-Pinanediol
CAS:Producto controladoApplications (1S,2S,3R,5S)-(+)-2,3-Pinanediol is a bicyclic monoterpene diols that has been shown to induce differentiation of S91 melanoma and PC12 pheochromocytoma cells and thus provide possible therapeutic and sunless tanning use. It is also used in the transformation of isopinocampheol and caryophyllene oxide.
References Brown, D.A. et al.: Pigment Cell Res., 12, 36 (1999); Noma, Y. et al.: Flav. Frag. J., 25, 161 (2010);Fórmula:C10H18O2Forma y color:NeatPeso molecular:170.25(1S,2S,3R,5S)-(+)-Pinanediol
CAS:Fórmula:C10H18O2Pureza:95%Forma y color:Crystalline PowderPeso molecular:170.252(1S,2S,3R,5S)-(+)-2,3-Pinanediol
CAS:(1S,2S,3R,5S)-(+)-2,3-Pinanediol is an optimized chiral catalyst that has been shown to be catalytic in a number of reactions. It is also used as a reagent for the oxidation of acetylacetonate and the derivatization of pharmaceuticals. (1S,2S,3R,5S)-(+)-2,3-Pinanediol is most commonly used in research studies to explore the mechanism of peptidases and recycling. It has been found that this molecule can be used to activate fibroblasts and promote cell growth.Fórmula:C10H18O2Pureza:Min. 98%Forma y color:White PowderPeso molecular:170.25 g/mol











