CAS 2649-64-1
:Clovanediol
Descripción:
Clovanediol, identificado por su número CAS 2649-64-1, es un compuesto químico que pertenece a la clase de compuestos orgánicos conocidos como dioles, que contienen dos grupos funcionales hidroxilo (-OH). Esta sustancia se caracteriza por sus características estructurales, que incluyen un marco bicíclico derivado de la estructura clovana. Clovanediol es típicamente un líquido incoloro a amarillo pálido, que exhibe una solubilidad moderada en agua y buena solubilidad en disolventes orgánicos. Sus propiedades físicas pueden incluir un punto de ebullición y un punto de fusión específicos, que están influenciados por su estructura molecular. Clovanediol es de interés en varios campos, incluida la síntesis orgánica y potencialmente en el desarrollo de fragancias o agentes saborizantes debido a sus propiedades químicas únicas. Además, puede exhibir actividad biológica, lo que lo convierte en un tema de investigación en química medicinal. Al igual que con muchas sustancias químicas, se deben consultar las hojas de datos de seguridad para obtener información sobre el manejo y la toxicidad.
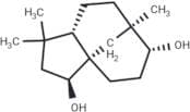
Fórmula:C15H26O2
InChI:InChI=1S/C15H26O2/c1-13(2)8-12(17)15-7-5-11(16)14(3,9-15)6-4-10(13)15/h10-12,16-17H,4-9H2,1-3H3/t10-,11+,12-,14+,15-/m0/s1
Clave InChI:InChIKey=BWXJQHJHGMZLBT-OEMOEHNSSA-N
SMILES:O[C@@H]1[C@]23[C@](C(C)(C)C1)(CC[C@](C)(C2)[C@H](O)CC3)[H]
Sinónimos:- (1S,2S,5S,8R,9R)-Clovane-2,9-diol
- (3S,3aS,6R,7R,9aS)-Decahydro-1,1,7-trimethyl-3a,7-methano-3aH-cyclopentacyclooctene-3,6-diol
- 2b,9a-Dihydroxyclovane
- 2β,9α-Clovanediol
- 3a,7-Methano-3aH-cyclopentacyclooctene-3,6-diol, decahydro-1,1,7-trimethyl-,[3S-(3a,3ab,6b,7b,9aa)]-
- 3a,7-Methano-3aH-cyclopentacyclooctene-3,6-diol,1,2,3a,4,5,6b,7,8,9,9a-decahydro-1,1,7b-trimethyl-
- Clovane-2b,9a-diol
- Clovanediol
- Cloven-2b,9a-diol
- 3a,7-Methano-3aH-cyclopentacyclooctene-3,6-diol, decahydro-1,1,7-trimethyl-, (3S,3aS,6R,7R,9aS)-
Ordenar por
Pureza (%)
0
100
|
0
|
50
|
90
|
95
|
100
Se han encontrado 5 productos.
Clovanediol
CAS:Clovanediol is a natural product of Psidium, Myrtaceae.Fórmula:C15H26O2Pureza:98%Forma y color:SolidPeso molecular:238.37Clovanediol
CAS:Producto controladoApplications Clovanediol is a natural product found in cloves and other plant species.
Fórmula:C15H26O2Forma y color:NeatPeso molecular:238.366Clovanediol
CAS:Clovanediol is a multifunctional antimicrobial agent, which is derived from natural clove oil. It acts by disrupting the cell membranes of microorganisms, thereby inhibiting their growth and proliferation. This mechanism of action involves penetrating microbial cell membranes, leading to the leakage of cellular contents and eventual cell death. Clovanediol is utilized primarily for its antimicrobial efficacy, making it a valuable component in a variety of applications.Fórmula:C15H26O2Pureza:Min. 95%Peso molecular:238.37 g/mol




