CAS 26531-85-1
:Primaveras
Descripción:
Primaveras, con el número CAS 26531-85-1, es un azúcar disacárido que se deriva principalmente de la hidrólisis de ciertos polisacáridos. Se caracteriza por su sabor dulce y se conoce como un componente de diversas fuentes naturales, particularmente en plantas. Primaveras es un azúcar no reductor, lo que significa que no tiene un grupo aldehído o cetona libre que pueda participar en reacciones redox. Esta propiedad lo hace estable bajo una variedad de condiciones, incluyendo calor y ambientes ácidos. En términos de solubilidad, Primaveras es típicamente soluble en agua, lo que facilita su uso en diversas aplicaciones, incluyendo las industrias alimentaria y farmacéutica. Sus características estructurales incluyen una disposición específica de unidades de glucosa y fructosa, contribuyendo a sus propiedades y funciones únicas en sistemas biológicos. Además, Primaveras puede tener implicaciones en la investigación relacionada con la biología vegetal y el metabolismo de carbohidratos, aunque sus roles biológicos específicos aún están siendo explorados.
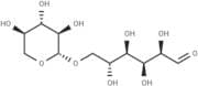
Fórmula:C11H20O10
InChI:InChI=1S/C11H20O10/c12-1-4(13)7(16)8(17)5(14)2-20-11-10(19)9(18)6(15)3-21-11/h1,4-11,13-19H,2-3H2/t4-,5+,6+,7+,8+,9-,10+,11+/m0/s1
Clave InChI:InChIKey=XOPPYWGGTZVUFP-DLWPFLMGSA-N
SMILES:O(C[C@H]([C@H]([C@@H]([C@H](C=O)O)O)O)O)[C@H]1[C@H](O)[C@@H](O)[C@H](O)CO1
Sinónimos:- 26531-85-1
- 6-(β-<span class="text-smallcaps">D</smallcap>-Xylosido)-<smallcap>D</span>-glucose
- 6-O-β-<span class="text-smallcaps">D</smallcap>-Xylopyranosyl-<smallcap>D</span>-glucose
- <span class="text-smallcaps">D</smallcap>-Glucose, 6-O-β-<smallcap>D</span>-xylopyranosyl-
- Primeverose
- D-Glucose, 6-O-β-D-xylopyranosyl-
- 6-O-β-D-Xylopyranosyl-D-glucose
- 6-(β-D-Xylosido)-D-glucose
Ordenar por
Pureza (%)
0
100
|
0
|
50
|
90
|
95
|
100
Se han encontrado 5 productos.
Primeverose
CAS:Primeverose, a natural glucoside, is suitable for biochemical experiments and drug synthesis research.Fórmula:C11H20O10Forma y color:White SolidPeso molecular:312.27Primeverose
CAS:Primeverose is a p-hydroxybenzoic acid that is found in the genus Primula and mammalian tissue. Primeverose has been shown to inhibit the activity of an enzyme called fatty acid activated, which is involved in the biosynthesis of anthraquinone glycosides. Primeverose is also able to hydrolyze enzymes such as primeverose and may act as a signal peptide for biological samples. The hydroxyl group on primeverose can form hydrogen bonds with other molecules and is present in food composition.
Fórmula:C11H20O10Pureza:Min. 95%Peso molecular:312.27 g/mol




