CAS 585-91-1
:α,β-Trealosa
Descripción:
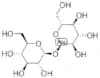
α,β-Trealosa, con el número CAS 585-91-1, es un disacárido no reductor compuesto por dos moléculas de glucosa unidas por un enlace α,α-1,1-glicosídico. Este azúcar se encuentra de forma natural en varios organismos, incluidos hongos, bacterias y plantas, donde sirve como fuente de energía y como agente protector contra condiciones de estrés como la deshidratación y temperaturas extremas. La trehalosa es conocida por su capacidad para estabilizar proteínas y estructuras celulares, lo que la hace valiosa en aplicaciones biotecnológicas y farmacéuticas. También se reconoce por su bajo índice glucémico, lo que la convierte en un posible edulcorante alternativo en productos alimenticios. En términos de solubilidad, la trehalosa es altamente soluble en agua, formando una solución clara, y es estable en un amplio rango de condiciones de pH. Además, exhibe propiedades antioxidantes y se ha estudiado por sus posibles beneficios para la salud, incluidos efectos neuroprotectores. En general, α,β-Trealosa es un compuesto versátil con una relevancia biológica e industrial significativa.
Fórmula:C12H22O11
InChI:InChI=1/C12H22O11/c13-1-3-5(15)7(17)9(19)11(21-3)23-12-10(20)8(18)6(16)4(2-14)22-12/h3-20H,1-2H2/t3-,4+,5-,6+,7+,8-,9-,10+,11-,12-/m1/s1
Clave InChI:InChIKey=HDTRYLNUVZCQOY-BTLHAWITSA-N
SMILES:O([C@H]1O[C@H](CO)[C@@H](O)[C@H](O)[C@H]1O)[C@@H]2O[C@H](CO)[C@@H](O)[C@H](O)[C@H]2O
Sinónimos:- Hexopyranosyl Hexopyranoside
- Neotrehalose
- beta-L-glucopyranosyl alpha-D-glucopyranoside
- α-<span class="text-smallcaps">D</smallcap>-Glucopyranoside, β-<smallcap>D</span>-glucopyranosyl
- β-<span class="text-smallcaps">D</smallcap>-Glucopyranosyl α-<smallcap>D</span>-glucopyranoside
- α,β-Trehalose
- β-D-Glucopyranosyl α-D-glucopyranoside
- α-D-Glucopyranoside, β-D-glucopyranosyl
- ALPHA,BETA-TREHALOSE
- Neotrehalose, α-D-Glucopyranosyl β-D-glucopyranoside
- ALPHA-D-GLUCOPYRANOSYL BETA-D-GLUCOPYRANOSIDE
- beta-D-Glucopyranosyl alpha-D-glucopyranoside
- Ver más sinónimos
Ordenar por
Pureza (%)
0
100
|
0
|
50
|
90
|
95
|
100
Se han encontrado 8 productos.
Neotrehalose
CAS:Neotrehalose is a useful organic compound for research related to life sciences. The catalog number is T124605 and the CAS number is 585-91-1.Fórmula:C12H22O11Forma y color:SolidPeso molecular:342.297α,β-Trehalose
CAS:α,β-Trehalose is a carbohydrate that is found in many organisms and has been shown to have biochemical properties such as energy metabolism, enzyme activities, and x-ray diffraction data. Trehalose has a phase transition temperature of around 98°C, which makes it an ideal sugar for food preservation. Trehalose can also be used as a sugar substitute with the same sweetness level as sucrose. The chemical stability of trehalose allows it to be used as a preservative in food and beverages. Trehalose has been shown to be nontoxic in animal studies with doses up to 2000 mg/kg body weight. It also has an optimum pH of 7 and is stable at high temperatures.
Fórmula:C12H22O11Pureza:Min. 95 Area-%Forma y color:White PowderPeso molecular:342.3 g/mol






