CAS 595-15-3
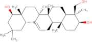
:Soyasapogenol B
Descripción:
Soyasapogenol B es un saponina triterpenoide derivada de la soja, específicamente de la fracción de saponina de la soja. Se caracteriza por su estructura compleja, que incluye un marco similar a un esteroide con múltiples grupos hidroxilo, lo que contribuye a su actividad biológica. Este compuesto es conocido por sus posibles beneficios para la salud, incluyendo propiedades antioxidantes y posibles efectos en el metabolismo del colesterol. Soyasapogenol B exhibe baja solubilidad en agua pero es soluble en disolventes orgánicos, lo cual es típico de muchas saponinas. Su estructura molecular le permite interactuar con las membranas celulares, influyendo potencialmente en los procesos celulares. Además, se ha estudiado por su papel en la medicina tradicional y sus posibles aplicaciones en nutracéuticos. El perfil de seguridad y eficacia del compuesto en diversas aplicaciones relacionadas con la salud continúa siendo un área de investigación, destacando su importancia tanto en la ciencia de los alimentos como en la farmacología. En general, Soyasapogenol B representa un ejemplo fascinante de compuestos derivados de plantas con diversas actividades biológicas.
Fórmula:C30H50O3
InChI:InChI=1S/C30H50O3/c1-25(2)16-20-19-8-9-22-27(4)12-11-23(32)28(5,18-31)21(27)10-13-30(22,7)29(19,6)15-14-26(20,3)24(33)17-25/h8,20-24,31-33H,9-18H2,1-7H3/t20-,21+,22+,23-,24+,26+,27-,28+,29+,30+/m0/s1
Clave InChI:InChIKey=YOQAQNKGFOLRGT-UXXABWCISA-N
SMILES:C[C@]12[C@@]3(C)C([C@]4([C@@](C)(CC3)[C@H](O)CC(C)(C)C4)[H])=CC[C@@]1([C@]5(C)[C@@](CC2)([C@](CO)(C)[C@@H](O)CC5)[H])[H]
Sinónimos:- (3Beta,22Beta)-Olean-12-Ene-3,22,24-Triol
- (3β,4β,22β)-Olean-12-ene-3,22,23-triol
- 3β,22β,24-Trihydroxyolean-12-ene
- Olean-12-en-3β,22β,24-triol
- Olean-12-ene-3,22,23-triol, (3beta,4beta,22beta)-
- Olean-12-ene-3,22,23-triol, (3β,4β,22β)-
- Olean-12-ene-3β,22β,24-triol
- Soyasapogenin B
- Soyasapogenol B
- Soyasapogenol I
Ordenar por
Pureza (%)
0
100
|
0
|
50
|
90
|
95
|
100
Se han encontrado 7 productos.
Soyasapogenol B
CAS:Soyasapogenol B has anti-cancer, hypocholesterolemic, anticomplementary, hepatoprotective effects, it inhibits proliferation of cultured Hep-G2.Fórmula:C30H50O3Pureza:95%~99%Peso molecular:458.727Soyasapogenol B
CAS:Soyasapogenol B has anti-cancer, hypocholesterolemic, anticomplementary, hepatoprotective effects, it inhibits proliferation of cultured Hep-G2.Fórmula:C30H50O3Pureza:99.51% - 99.81%Forma y color:SolidPeso molecular:458.72Soyasapogenol B
CAS:Cyclic alcoholFórmula:C30H50O3Pureza:≥ 95.0 % (HPLC)Forma y color:PowderPeso molecular:458.73Soyasapogenol B
CAS:Producto controladoSoyasapogenol B is a bioactive compound, classified as a soyasaponin, which is primarily derived from soybeans (Glycine max). Originating from the plant's seeds, Soyasapogenol B is part of a group of naturally occurring triterpenoid saponins. The mode of action of Soyasapogenol B involves its ability to modulate inflammatory pathways and potentially inhibit certain enzymes involved in inflammation. It acts on molecular targets that may reduce oxidative stress and modulate immune responses.
Fórmula:C30H50O3Pureza:Min. 95%Forma y color:White PowderPeso molecular:458.72 g/mol







