CAS 59936-29-7
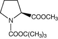
:Boc-L-Prolina-éster metílico
Descripción:
Boc-L-Prolina-éster metílico, con el número CAS 59936-29-7, es un derivado de la prolina, un aminoácido que juega un papel crucial en la síntesis de proteínas. Este compuesto presenta un grupo protector de tert-butyloxycarbonilo (Boc) en el grupo amino y un éster metílico en el grupo ácido carboxílico, lo que mejora su estabilidad y solubilidad en disolventes orgánicos. Típicamente es un sólido blanco a blanco sucio y es soluble en disolventes orgánicos polares como el metanol y el diclorometano. El grupo Boc sirve para proteger la funcionalidad amino durante la síntesis de péptidos, permitiendo reacciones selectivas en otros grupos funcionales. Boc-L-Prolina-éster metílico se utiliza a menudo en síntesis orgánica y química de péptidos, particularmente en la formación de péptidos que contienen prolina. Sus características incluyen un punto de fusión relativamente bajo y una reactividad moderada, lo que lo hace adecuado para diversas aplicaciones sintéticas. Además, es importante manejar este compuesto con cuidado, al igual que con muchas sustancias químicas, debido a los peligros potenciales asociados con su uso.
Fórmula:C11H19NO4
InChI:InChI=1/C11H19NO4/c1-11(2,3)16-10(14)12-7-5-6-8(12)9(13)15-4/h8H,5-7H2,1-4H3/t8-/m0/s1
SMILES:CC(C)(C)OC(=O)N1CCC[C@H]1C(=O)OC
Sinónimos:- Pyrrolidine-1,2-dicarboxylic acid 1-tert-butyl ester 2-methyl ester
- 1-Tert-Butyl 2-Methyl Pyrrolidine-1,2-Dicarboxylate
- 1-tert-butyl 2-methyl (2S)-pyrrolidine-1,2-dicarboxylate
- Boc-Pro-Ome
- 1-BOC-pyrrolidine-2-carboxylic acid methyl ester
- Boc-L-proline methyl ester
Ordenar por
Pureza (%)
0
100
|
0
|
50
|
90
|
95
|
100
Se han encontrado 10 productos.
N-(tert-Butoxycarbonyl)-L-proline Methyl Ester
CAS:Fórmula:C11H19NO4Pureza:>97.0%(GC)Forma y color:Colorless to Light yellow clear liquidPeso molecular:229.28N-Boc-L-proline methyl ester, 96%
CAS:N-Boc-L-proline methyl ester is generally used as a intermediate in pharmaceutical and chemical research. This Thermo Scientific Chemicals brand product was originally part of the Alfa Aesar product portfolio. Some documentation and label information may refer to the legacy brand. The original AlfaFórmula:C11H19NO4Pureza:96%Peso molecular:229.27Boc-Pro-OMe
CAS:Boc-Pro-OMe (Boc-L-proline methyl ester) is a lipid compound utilized in liposome preparation. Liposomes consist of concentric phospholipid bilayer vesicles, which serve as vital components in constructing drug delivery systems for anticancer and anti-infection applications. These systems effectively encapsulate high-polarity water-soluble payloads within the internal aqueous space of the liposome, while lipophilic payloads are integrated into and become part of the lipid bilayer. This compound is particularly effective for delivering antisense oligonucleotides, addressing issues of low cellular uptake and rapid bodily excretion.Fórmula:C11H19NO4Forma y color:SolidPeso molecular:229.27N-Boc-L-proline methyl ester
CAS:N-Boc-L-proline methyl ester is an organocatalyst that is synthesized through the condensation of proline with methylamine and a methylating agent. It is used as a synthetic intermediate in the synthesis of peptides, pharmaceuticals, and other organic compounds. The compound has been shown to be effective in asymmetric hydrogenation reactions. N-Boc-L-proline methyl ester has also been shown to be useful in the formation of imines and amides, which are important intermediates in organic synthesis.
Fórmula:C11H19NO4Pureza:Min. 97%Forma y color:Clear LiquidPeso molecular:229.27 g/molBoc-L-Pro-OMe
CAS:M06194 - Boc-L-Pro-OMe
Fórmula:C11H19NO4Pureza:95%Forma y color:LiquidPeso molecular:229.276









