CAS 9064-57-7
:Lambda-carragenina
Descripción:
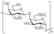
Lambda-carragenina es un polisacárido sulfatado derivado de algas rojas, particularmente del género Chondrus, comúnmente conocido como musgo irlandés. Se caracteriza por su capacidad para formar geles en presencia de iones de potasio, lo que lo convierte en un valioso agente espesante y gelificante en varios productos alimenticios, cosméticos y farmacéuticos. Lambda-carragenina es soluble en agua caliente y exhibe una alta viscosidad cuando se disuelve, lo que contribuye a su funcionalidad como estabilizador y emulsionante. Su estructura molecular consiste en unidades repetitivas de galactosa y 3,6-anhidrogalactosa, con grupos sulfato que mejoran su solubilidad y propiedades gelificantes. Lambda-carragenina es generalmente reconocido como seguro (GRAS) para el consumo, pero su uso está regulado en productos alimenticios, y a menudo se etiqueta como E407. Además, tiene aplicaciones en el campo biomédico, particularmente en sistemas de liberación de fármacos e ingeniería de tejidos, debido a su biocompatibilidad y capacidad para formar hidrogeles. En general, Lambda-carragenina es un biopolímero versátil y ampliamente utilizado con una relevancia industrial y científica significativa.
Fórmula:Unspecified
InChI:InChI=1/C24H42O39S6/c25-1-5-9(27)11(29)18(61-67(42,43)44)22(54-5)57-15-8(4-52-65(36,37)38)56-23(19(13(15)31)62-68(45,46)47)59-16-10(28)6(2-26)55-24(20(16)63-69(48,49)50)58-14-7(3-51-64(33,34)35)53-21(32)17(12(14)30)60-66(39,40)41/h5-32H,1-4H2,(H,33,34,35)(H,36,37,38)(H,39,40,41)(H,42,43,44)(H,45,46,47)(H,48,49,50)/p-6/t5-,6-,7-,8-,9+,10+,11+,12+,13+,14+,15+,16+,17-,18-,19-,20-,21+,22+,23-,24+/m1/s1
Sinónimos:- 2-O-sulfonato-beta-D-galactopyranosyl-(1->4)-2,6-di-O-sulfonato-alpha-D-galactopyranosyl-(1->3)-2-O-sulfonato-beta-D-galactopyranosyl-(1->4)-2,6-di-O-sulfonato-alpha-D-galactopyranose
- Carrageenan CSL 1
- Carrageenan CSL 2
- Carrageenan Type Iv
- Carravisco DFL 1
- Cs 67
- Gelamix L
- Genugel X 3948
- Genuvisco CMS 2
- Inagel V 240
- Inagel V 40
- Lactarin MV 306
- Lactarin MV 406
- Picnin A
- San Support P 30
- Sankara 634
- Satiagel MM 30
- Satiagum BDC 20
- Satiagum UTC 30
- Soageena ML 210
- Sunkara 1057
- Sunkara 634
- Supungeru HMV
- Ticaloid 750
- Viscarin GP 109
- Viscarin GP 209
- Viscarin GP 209F
- Viscarin GP 209NF
- Welgeenan ED 1039
- λ-Carrageenan
- λ-Carrageenin
- Lambda-carrageenan
- -Carrageenan(High-viscosity)
- GAMMA-CARRAGEENAN
- lambda-Carrageenan (Low-viscosity)
- λ-Carrageenan (Low-viscosity)
- lambda-Carrageenan (High-viscosity)
- DEGRADEDLAMBDACARRAGEENAN
- Ver más sinónimos
Ordenar por
Pureza (%)
0
100
|
0
|
50
|
90
|
95
|
100
Se han encontrado 5 productos.
lambda-Carrageenan
CAS:Lambda-Carrageenan is a non-gelling sulphated galactan extracted from red seaweed (typically Gigartina stellata and Chondrus crispus). The structure of all carrageenans consists of a strictly alternating masked repeating unit of 1,3-linked α-D-galactose and 1,4-linked β-D-galactose. λ-Carrageenan has the α-linked unit 2-6-disulphated and the β-linked unit is 2-sulphated. The image was kindly provided by Prof Mike Guiry from Cork who runs ‘The Seaweed Site’.Forma y color:PowderPeso molecular:1140.92




