CAS 95673-98-6
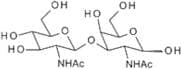
:D-Galactosa,2-(acetilamino)-3-O-[2-(acetilamino)-2-desoxi-b-D-glucopiranosil]-2-desoxi-
Descripción:
D-Galactosa, 2-(acetilamino)-3-O-[2-(acetilamino)-2-desoxi-b-D-glucopiranosilo]-2-desoxi- es un derivado de carbohidrato complejo que presenta múltiples grupos funcionales, incluidos grupos acetilamino y desoxi. Este compuesto es una forma glicosilada de galactosa, que es un monosacárido y un componente importante de varios polisacáridos y glucoproteínas. La presencia de grupos acetilamino sugiere que puede participar en diversas interacciones bioquímicas, potencialmente influyendo en su solubilidad y reactividad. La estructura indica que probablemente esté involucrado en procesos biológicos, como la señalización celular o el reconocimiento, debido a sus enlaces glicosídicos. Su número CAS, 95673-98-6, permite una identificación precisa en bases de datos químicas. Como derivado de carbohidrato, puede exhibir propiedades típicas de los azúcares, como dulzura y la capacidad de formar enlaces de hidrógeno, lo que puede afectar sus propiedades físicas como el punto de fusión y la solubilidad en agua. En general, este compuesto es de interés en la investigación bioquímica y puede tener aplicaciones en farmacéutica o biotecnología.
Fórmula:C16H28N2O11
Sinónimos:- 2-Acetamido-2-deoxy-3-O-(2-acetamido-2-deoxy-b-D-glucopyranosyl)-D-galactopyranose
Ordenar por
Pureza (%)
0
100
|
0
|
50
|
90
|
95
|
100
Se han encontrado 3 productos.
2-Acetamido-2-deoxy-3-O-(β-D-2-acetamido-2-deoxyglucopyranosyl)-D-galactopyranose
CAS:Producto controladoApplications Oligosaccharide widely distributed in the human digestive tract.
References Capon, C., et al.: Biochem. J., 358, 657 (2001), Uchimura, K., et al.: J. Biol. Chem., 277, 3979 (2002), Robbe, C., et al.: Biochem. J., 384, 307 (2004),Fórmula:C16H28N2O11Forma y color:NeatPeso molecular:424.42-Acetamido-3-O-(2-acetamido-2-deoxy-b-D-glucopyranosyl)-2-deoxy-D-galactopyranose
CAS:2-Acetamido-3-O-(2-acetamido-2-deoxy-b-D-glucopyranosyl)-2-deoxy-D-galactopyranose is a methylated, saccharide, Polysaccharide. It is a custom synthesis of a carbohydrate sugar. It is fluorinated to increase its bioavailability. 2 Acetamido 3 O 2 acetamido 2 deoxy b D glucopyranosyl 2 deoxy D galactopyranose has CAS No. 95673 98 6 and the molecular weight is 524.87 g/mol. It has a purity of >99% and comes in powder form.Fórmula:C16H28N2O11Pureza:Min. 95%Forma y color:White PowderPeso molecular:424.4 g/mol


