CAS 96850-29-2
:Kaura-2,16-dien-1-ona,15-(acetiloxi)-7,20-epoxi-6,7-dihidroxi-, (6b,7a,15b)-
Descripción:
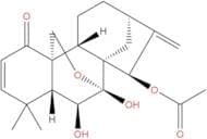
Kaura-2,16-dien-1-ona,15-(acetiloxi)-7,20-epoxi-6,7-dihidroxi-, (6b,7a,15b)-, identificado por su número CAS 96850-29-2, es un compuesto orgánico complejo que pertenece a la clase de diterpenos kaurano. Esta sustancia se caracteriza por sus características estructurales únicas, que incluyen múltiples grupos hidroxilo, un grupo epóxido y un grupo funcional acetoxi, que contribuyen a su potencial actividad biológica. La presencia de estos grupos funcionales sugiere que puede exhibir diversas propiedades farmacológicas, incluidos efectos antiinflamatorios o antimicrobianos. La estereoquímica indicada por la nomenclatura sugiere arreglos espaciales específicos de átomos, que pueden influir en la reactividad del compuesto y su interacción con objetivos biológicos. Además, los derivados de kaurano a menudo se estudian por sus roles en la fisiología vegetal y sus posibles aplicaciones en medicina y agricultura. En general, este compuesto ejemplifica la diversidad y complejidad de los productos naturales derivados de fuentes vegetales, destacando su importancia tanto en la investigación como en aplicaciones prácticas.
Fórmula:C22H28O6
Sinónimos:- MaoecrystalB
- Rabdosianone II
Ordenar por
Pureza (%)
0
100
|
0
|
50
|
90
|
95
|
100
Se han encontrado 5 productos.
Kaura-2,16-dien-1-one, 15-(acetyloxy)-7,20-epoxy-6,7-dihydroxy-,(6b,7a,15b)-
CAS:Fórmula:C22H28O6Pureza:97%Forma y color:SolidPeso molecular:388.4541Maoecrystal B
CAS:Maoecrystal B is a diterpenoid isolated from the leaves of Isodon eriocalyx var.Fórmula:C22H28O6Pureza:97.00%Forma y color:SolidPeso molecular:388.45Maoecrystal B
CAS:Maoecrystal B is a diterpenoid alkaloid, which is a naturally occurring compound derived from the plant Isodon excisoides. It exhibits a unique mode of action, primarily through its ability to disrupt tubulin polymerization, which in turn inhibits cell division. This interference with cellular microtubule dynamics can lead to cell cycle arrest and apoptosis, making it a potent anti-cancer agent.Fórmula:C22H28O6Pureza:Min. 95%Peso molecular:388.45 g/mol





