
Antibióticos naturales y semisintéticos
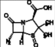
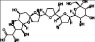
Los antibióticos naturales y semisintéticos se caracterizan por estructuras químicas con anillos heterocíclicos y grupos funcionales activos que inhiben el crecimiento de microorganismos. Sus estructuras les permiten interactuar con los procesos vitales de las bacterias, lo que los hace útiles como tratamientos para infecciones bacterianas. Los antibióticos semisintéticos pueden ser modificados para mejorar el espectro de actividad o la resistencia a la degradación.
En CymitQuimica ofrecemos antibióticos naturales y semisintéticos de alta calidad para investigación en microbiología y desarrollo farmacéutico.
Se han encontrado 6363 productos de "Antibióticos naturales y semisintéticos"
Ordenar por
Pureza (%)
0
100
|
0
|
50
|
90
|
95
|
100
Cefazolin Related Compound D (Cefazolin open-ring lactone)
CAS:Fórmula:C11H12N6O5SPeso molecular:340.314-AA ((2R,3R)-3-((R)-1-(tert-Butyldimethylsilyloxy)ethyl)-4-oxoazetidin-2-yl acetate)
CAS:Fórmula:C13H25NO4SiPeso molecular:287.43
