
Antibióticos naturales y semisintéticos
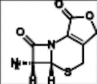
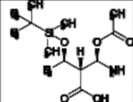
Los antibióticos naturales y semisintéticos se caracterizan por estructuras químicas con anillos heterocíclicos y grupos funcionales activos que inhiben el crecimiento de microorganismos. Sus estructuras les permiten interactuar con los procesos vitales de las bacterias, lo que los hace útiles como tratamientos para infecciones bacterianas. Los antibióticos semisintéticos pueden ser modificados para mejorar el espectro de actividad o la resistencia a la degradación.
En CymitQuimica ofrecemos antibióticos naturales y semisintéticos de alta calidad para investigación en microbiología y desarrollo farmacéutico.
Se han encontrado 6363 productos de "Antibióticos naturales y semisintéticos"
Ordenar por
Pureza (%)
0
100
|
0
|
50
|
90
|
95
|
100
Terbinafine EP Impurity A-13C-d3 ( Terbinafine USP Related Compound A-13C-d3 (Free Form))
Fórmula:C1113CH10D3NPeso molecular:175.25Pneumocandin B0 Related Compound 1
CAS:Fórmula:C50H80N8O17Forma y color:Off-White To Pale Brown SolidPeso molecular:1065.23
