CAS 10318-26-0
:Mitolactol
Description :
Mitolactol, avec le numéro CAS 10318-26-0, est un composé chimique qui appartient à la classe des lactols, qui sont des esters cycliques formés à partir de la réaction d'acides hydroxyles. Cette substance se caractérise par ses caractéristiques structurelles uniques, y compris un groupe fonctionnel lactol qui contribue à sa réactivité et à ses applications potentielles en synthèse organique. Mitolactol est typiquement un solide blanc à blanc cassé, et il est soluble dans divers solvants organiques, ce qui le rend utile dans les réactions chimiques et les formulations. Le composé a suscité de l'intérêt en chimie médicinale en raison de ses activités biologiques potentielles, bien que les propriétés pharmacologiques spécifiques puissent varier. Comme pour de nombreuses substances chimiques, la manipulation de Mitolactol nécessite le respect des protocoles de sécurité pour atténuer les risques associés à son utilisation. Dans l'ensemble, ses caractéristiques structurelles et son profil de solubilité font de Mitolactol un composé d'intérêt tant pour la recherche que pour les applications industrielles.
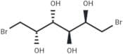
Formule :C6H12Br2O4
InChI :InChI=1/C6H12Br2O4/c7-1-3(9)5(11)6(12)4(10)2-8/h3-6,9-12H,1-2H2/t3-,4+,5+,6-
Code InChI :InChIKey=VFKZTMPDYBFSTM-GUCUJZIJNA-N
SMILES :[C@H]([C@H]([C@@H](CBr)O)O)([C@H](CBr)O)O
Synonymes :- 1,6-Dibromo-1,6-Dideoxy-Galactitol
- 1,6-Dibromo-1,6-Dideoxydulcitol
- 1,6-Dibromo-1,6-Dideoxyhexitol
- 1,6-Dibromo-1,6-Dodeoxygalactitol
- 1,6-Dibromo-1,6-dideoxy-<span class="text-smallcaps">D</span>-dulcitol
- 1,6-Dibromo-1,6-dideoxygalactitol
- 1,6-Dibromodulcitol
- 1,6-dibromo-1,6-dideoxy-D-galactitol
- DBD (alcohol)
- Dibromdulcit
- Dibromoducitol
- Elobromol
- Galactitol, 1,6-dibromo-1,6-dideoxy-
- Mitolactol
- NSC 104800
- Nci C04795
- 1,6-Dibromo-1,6-dideoxy-D-dulcitol
- Voir plus de synonymes
Trier par
Degré de pureté (%)
0
100
|
0
|
50
|
90
|
95
|
100
3 produits trouvés.
Mitolactol
CAS :Mitolactol: an alkylating agent used in breast cancer and brain tumors; marrow-toxic; may combine with other drugs.Formule :C6H12Br2O4Degré de pureté :98%Couleur et forme :SolidMasse moléculaire :307.961,6-Dibromodulcitol
CAS :Produit contrôléApplications 1,6-Dibromodulcitol is an intermediate in the synthesis of Dulcitol Diepoxide (D720515). Dulcitol Diepoxide is a cytostatic drug. Dulcitol Diepoxide can be used for treatment of leukemia, lung cancer, multiple myeloma, and nasopharyngeal carcinoma.
References Ren, S., et al.: J. Drug Target, 4, 103 (1996), Ren, S., et al.: Prog. Drug Res., 54, 1 (2000), Brustle, M., et al.: J. Med. Chem., 45, 3345 (2002), McGuire, J., et al.: Curr. Pharm. Design, 9, 2593 (2003),Formule :C6H12Br2O4Couleur et forme :NeatMasse moléculaire :307.965Dibromodulcitol
CAS :Dibromodulcitol (DBD) is a water soluble compound that is used in analytical chemistry to measure the concentration of bromine. It has been used as a radioprotectant and is also an analog of the natural hormone, epidermal growth factor. DBD can be measured by colorimetric methods or by enzyme-linked immunosorbent assay (ELISA). This chemical is found in wastewater and has been shown to inhibit the growth of cancer cells through its effects on fatty acid metabolism. DBD has also been shown to have pharmacokinetic properties, as it can be detected in biological samples for up to 2 hours after injection.Formule :C6H12Br2O4Degré de pureté :Min. 95%Masse moléculaire :307.97 g/mol


