CAS 23986-74-5
:1,6-Cyclodécadiène, 1-méthyl-5-méthylène-8-(1-méthyléthyl)-, (1E,6E,8S)-
Description :
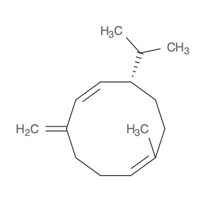
1,6-Cyclodécadiène, 1-méthyl-5-méthylène-8-(1-méthyléthyl)-, (1E,6E,8S)-, avec le numéro CAS 23986-74-5, est un composé organique bicyclique caractérisé par sa structure unique qui comprend un cadre de cyclodécadiène. Ce composé présente plusieurs doubles liaisons, spécifiquement aux positions 1,6 et 5-méthylène, contribuant à sa réactivité et à ses applications potentielles en synthèse organique. La présence d'un groupe méthyle et d'un groupe isopropyle améliore ses propriétés stériques, influençant son comportement chimique et ses interactions. En général, les composés de cette nature présentent des caractéristiques hydrophobes en raison de leur structure hydrocarbonée, les rendant moins solubles dans des solvants polaires. Ils peuvent également participer à diverses réactions chimiques, telles que la polymérisation ou la cycloaddition, en raison de la présence de doubles liaisons conjuguées. De plus, la stéréochimie indiquée par la notation (1E,6E,8S) suggère des arrangements spatiaux spécifiques des substituants, ce qui peut affecter les propriétés physiques et la réactivité du composé. Dans l'ensemble, ce composé représente une classe de molécules organiques avec une utilité potentielle en chimie synthétique et en science des matériaux.
Formule :C15H24
InChI :InChI=1/C15H24/c1-12(2)15-10-8-13(3)6-5-7-14(4)9-11-15/h7-8,10,12,15H,3,5-6,9,11H2,1-2,4H3/b10-8+,14-7+/t15-/m0/s1
Code InChI :InChIKey=GAIBLDCXCZKKJE-RXJOXMPGSA-N
SMILES :[C@@H](C)(C)[C@@H]/1CC\C(\C)=C\CCC(=C)\C=C1
Synonymes :- (-)-Germacrene D
- (1E,6E,8S)-1-Methyl-5-methylene-8-(1-methylethyl)-1,6-cyclodecadiene
- 1,6-Cyclodecadiene, 1-methyl-5-methylene-8-(1-methylethyl)-, [S-(E,E)]-
- Germacra-1(10),4(14),5-triene
- Germacra-1(10),4(15),5-triene, (-)-
- [s-(E,E)]-1-Methyl-5-methylene-8-(1-methylethyl)-1,6-cyclodecyldidiene
- 1,6-cyclodecadiene, 1-methyl-5-methylene-8-(1-methylethyl)-, (1E,6E,8S)-
- (1E,6E,8S)-8-Isopropyl-1-methyl-5-methylenecyclodeca-1,6-diene
- (1E,6E,8S)-1-methyl-5-methylidene-8-(propan-2-yl)cyclodeca-1,6-diene
- 1,6-Cyclodecadiene, 1-methyl-5-methylene-8-(1-methylethyl)-, (1E,6E,8S)-
- Germacrene D (~90%) (Stabilized with hydroquinone)
- (1E,6E,8S)-1-Methyl-5-methylene-8-isopropyl-1,6-cyclodecadiene
- germacreneD,1-methyl-5-methylene-8-(1-methylethyl)-1,6-cyclodecadiene
- Voir plus de synonymes
Trier par
Degré de pureté (%)
0
100
|
0
|
50
|
90
|
95
|
100
7 produits trouvés.
Germacrene D
CAS :Germacrene D analytical standard provided with w/w absolute assay, to be used for quantitative titration.Formule :C15H24Degré de pureté :(GC) ≥97%Couleur et forme :LiquidMasse moléculaire :204.36Germacrene D
CAS :Germacrene D ((-)-Germacrene D) is a sesquiterpene volatile compound that can be extracted from Solidago canadensis and is a RIFM fragrance.Formule :C15H24Degré de pureté :98%Couleur et forme :SolidMasse moléculaire :204.35Germacrene D
CAS :Produit contrôléStability Light Sensitive
Applications Germacrene D is a plant-derived insect repellant used in the design of analogs of olifactory ligands. It is present in the extraction of essential oils from plants.
References Wan Salleh, W., et al.: J. Essen. Oil-Bearing Plants, 17, 1329 (2014); Touchet, S., et al.: Chem. Comm., 51, 7550 (2015);Formule :C15H24Couleur et forme :NeatMasse moléculaire :204.35Germacrene D-d3
CAS :Produit contrôléApplications Isotope labelled Germacrene D is a plant-derived insect repellant used in the design of analogs of olifactory ligands. Present in the extraction of essential oils from plants.
References Touchet, S. et al.: Chem. Comm., 51, 7550 (2015); Wan Salleh, W. et al.: J. Essen. Oil-Bearing Plants, 17, 1329 (2014);Formule :C15D3H21Couleur et forme :NeatMasse moléculaire :207.37Germacrene D (stabilized with hydroquinone)
CAS :Germacrene D (stabilized with hydroquinone) is a sesquiterpene compound that has various applications. It is commonly used in solvation reactions, particularly with sodium metal, to facilitate chemical transformations. Germacrene D has also been studied for its potential health benefits. Research suggests that it may have antioxidant properties and can help reduce oxidative stress in the body. Additionally, germacrene D has shown promising effects in inhibiting the formation of advanced glycation end products (AGEs), which are associated with aging and various diseases. This compound has also been found to have cross-linking properties, making it useful as a cross-linking agent in materials such as collagen and hyaluronic acid-based products. Furthermore, germacrene D exhibits antimicrobial activity against certain strains of bacteria and fungi, making it a valuable ingredient in the development of anti-infective agents. Overall, germacrene D offers a range of potential applications in research, healthcare, and materialFormule :C15H24Degré de pureté :90%NmrMasse moléculaire :204.35 g/molgermacreneD,1-methyl-5-methylene-8-(1-methylethyl)-1,6-cyclodecadiene
CAS :Formule :C15H24Degré de pureté :98%Couleur et forme :LiquidMasse moléculaire :204.3511






