CAS 3646-68-2
:Acide D-glucosaminique
Description :
Acide D-glucosaminique, avec le numéro CAS 3646-68-2, est un acide aminé dérivé du glucose. Il se caractérise par la présence d'un groupe amino (-NH2) en position C2, ce qui le distingue de son composé parent, le glucose. Cette modification confère des propriétés biochimiques uniques, faisant de Acide D-glucosaminique un composant important dans divers processus biologiques, en particulier dans la synthèse des glycoprotéines et des glycolipides. Il joue un rôle crucial dans la structure de la chitine, un polysaccharide structural clé que l'on trouve dans les exosquelettes des arthropodes et dans les parois cellulaires des champignons. Acide D-glucosaminique est généralement un solide cristallin blanc soluble dans l'eau, reflétant sa nature polaire en raison des groupes hydroxyle et amino. Sa réactivité est influencée par les groupes fonctionnels présents, lui permettant de participer à diverses réactions chimiques, y compris l'acylation et l'amidation. De plus, il a des applications potentielles en pharmacie et en biotechnologie, en particulier dans le développement de médicaments ciblant les troubles métaboliques et dans l'ingénierie tissulaire.
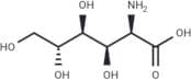
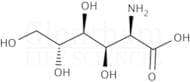
Formule :C6H13NO6
InChI :InChI=1S/C6H13NO6/c7-3(6(12)13)5(11)4(10)2(9)1-8/h2-5,8-11H,1,7H2,(H,12,13)/t2-,3-,4-,5-/m1/s1
Code InChI :InChIKey=UFYKDFXCZBTLOO-TXICZTDVSA-N
SMILES :[C@H]([C@@H]([C@@H](CO)O)O)([C@H](C(O)=O)N)O
Synonymes :- (3R,4S,5R)-3,4,5,6-tetrahydroxy-D-norleucine
- 2-Amino-2-deoxy-<span class="text-smallcaps">D</span>-gluconic acid
- 2-Amino-2-deoxy-D-gluconic acid
- 3,4,5,6-Tetrahydroxynorleucine
- <span class="text-smallcaps">D</span>-Gluconic acid, 2-amino-2-deoxy-
- <span class="text-smallcaps">D</span>-Glucosamic acid
- <span class="text-smallcaps">D</span>-Glucosaminic acid
- D-Glucosamic acid
- Gluconic acid, 2-amino-2-deoxy-, <span class="text-smallcaps">D</span>-
- Glucosamicacid, 98%
- Glucosaminic acid
- NSC 37779
- NSC 404265
- D-Gluconic acid, 2-amino-2-deoxy-
- D-Glucosaminic acid
- Voir plus de synonymes
Trier par
Degré de pureté (%)
0
100
|
0
|
50
|
90
|
95
|
100
12 produits trouvés.
D-Glucosamic Acid
CAS :Formule :C6H13NO6Degré de pureté :>98.0%(T)Couleur et forme :White to Almost white powder to crystalineMasse moléculaire :195.17D-Glucosamic acid
CAS :D-Glucosamic acidFormule :C6H13NO6Degré de pureté :≥98%, 10 mM in DMSOMasse moléculaire :195.17D-Glucosamic Acid
CAS :D-Glucosamic AcidFormule :C6H13NO6Degré de pureté :98%Masse moléculaire :195.17D-Glucosamic Acid
CAS :Formule :C6H13NO6Degré de pureté :98%Couleur et forme :SolidMasse moléculaire :195.1705D-Glucosamic Acid
CAS :Formule :C6H13NO6Couleur et forme :White To Off-White SolidMasse moléculaire :195.17D-Glucosamic acid
CAS :D-Glucosamic acid (2-Amino-2-deoxy-D-gluconic acid) is a useful starting material for the synthesis of aldonic acids.Formule :C6H13NO6Degré de pureté :99.77%Couleur et forme :White SolidMasse moléculaire :195.17D-Glucosaminic Acid
CAS :Applications D-Glucosaminic Acid is a useful starting material for the synthesis of aldonic acids containing a free carboxyl group and having all hydroxyl functions esterified with a simple carboxylic acid are well established deriviatives.
References Major, R.T., et al.: J.A.C.S., 58, 2474 (1936), Hurd, C.D., et al.: J.A.C.S., 60, 235 (1938), Wolfrom, M., et al.: J.A.C.S., 61, 574 (1939)Formule :C6H13NO6Couleur et forme :NeatMasse moléculaire :195.17D-Glucosaminic acid
CAS :D-Glucosaminic acid is a monosaccharide that is found in many glycosaminoglycans. It has been shown to have synergistic effects when combined with malonic acid and hydroxyl group. D-Glucosaminic acid can be used for wastewater treatment, as it is able to form stable complexes with the anionic groups of cell walls. D-Glucosaminic acid also shows antibacterial activity against bacterial strains, including Mycoplasma pneumoniae and Streptococcus pyogenes. The wild-type strain of Escherichia coli is not inhibited by this compound.Formule :C6H13NO6Degré de pureté :Min. 96 Area-%Couleur et forme :White Off-White PowderMasse moléculaire :195.17 g/mol










