CAS 4753-07-5
:bromure de a-D-glucopyranosyle, 4-O-(2,3,4,6-tétra-O-acétyl-b-D-galactopyranosyle)-, 2,3,6-triacétate
Description :
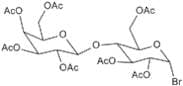
Le bromure d'α-D-glucopyranosyle, 4-O-(2,3,4,6-tetra-O-acétyl-β-D-galactopyranosyle)-, 2,3,6-triacétate, avec le numéro CAS 4753-07-5, est un dérivé glycosidique complexe caractérisé par ses composants structurels dérivés du glucose et du galactose. Ce composé présente une unité glucopyranosyle liée à une partie galactopyranosyle, toutes deux acétylées, ce qui améliore leur stabilité et leur solubilité. La présence de brome dans la partie glucopyranosyle indique une réactivité potentielle, ce qui le rend utile en chimie organique synthétique, en particulier dans les réactions de glycosylation. Les groupes acétyle servent à protéger les fonctions hydroxyles, permettant des réactions sélectives à des sites spécifiques. Ce composé est généralement utilisé en chimie des glucides pour la synthèse d'oligosaccharides plus complexes ou comme intermédiaires dans la préparation de composés glycosylés. Ses propriétés, telles que la solubilité dans les solvants organiques et la réactivité envers les nucléophiles, en font un élément de base précieux dans le développement de médicaments glycosylés et de molécules biologiquement actives.
Formule :C26H35BrO17
Synonymes :- Glucopyranosylbromide, 4-O-b-D-galactopyranosyl-,heptaacetate, a-D-(8CI)
- a-D-Glucopyranosyl bromide,4-O-(2,3,4,6-tetra-O-acetyl-b-D-galactopyranosyl)-, triacetate (9CI)
- a-D-Glucopyranosyl bromide, 4-O-b-D-galactopyranosyl-,heptaacetate (7CI)
- 2,2',3,3',4',6,6'-Hepta-O-acetyl-a-D-lactosyl bromide
- Hepta-O-acetyl-a-D-lactosyl bromide
- Heptaacetyl-a-bromolactose
- a-Bromoheptacetyllactose
- a-D-Lactosyl bromide peracetate
Trier par
Degré de pureté (%)
0
100
|
0
|
50
|
90
|
95
|
100
4 produits trouvés.
2,3,6,2',3',4',6'-Hepta-O-acetyl-α-D-lactosyl bromide
CAS :This Thermo Scientific Chemicals brand product was originally part of the Alfa Aesar product portfolio. Some documentation and label information may refer to the legacy brand. The original Alfa Aesar product / item code or SKU reference has not changed as a part of the brand transition to Thermo SciFormule :C26H35BrO17Masse moléculaire :699.452,3,6,2',3',4',6'-Hepta-O-acetyl-1-bromo-1-deoxy-α-D-lactopyranose
CAS :2,3,6,2',3',4',6'-Hepta-O-acetyl-1-bromo-1-deoxy-α-D-lactopyranoseFormule :C26H35BrO17Degré de pureté :>98%Couleur et forme :Off-white SolidMasse moléculaire :699.44992,3,6,2',3',4',6'-Hepta-O-acetyl-a-D-lactosyl bromide
CAS :2,3,6,2',3',4',6'-Hepta-O-acetyl-a-D-lactosyl bromide is a chemical substance that absorbs infrared radiation and reflects light. It is used as an infrared reflector in India to improve the efficiency of solar panels.Formule :C26H35BrO17Couleur et forme :White Off-White PowderMasse moléculaire :699.45 g/mol




