CAS 56889-55-5
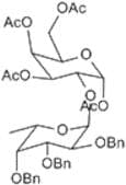
:[(3S,4S,5S,6R)-3,4,6-triacétoxy-5-[(3S,4S,5R,6S)-3,4,5-tribenzyloxy-6-méthyl-tétrahydropyran-2-yl]oxy-tétrahydropyran-2-yl]méthyl acétate
Description :
La substance chimique portant le nom "[(3S,4S,5S,6R)-3,4,6-triacétoxy-5-[(3S,4S,5R,6S)-3,4,5-tribenzyloxy-6-méthyl-tétrahydropyran-2-yl]oxy-tétrahydropyran-2-yl]méthyl acétate" et le numéro CAS 56889-55-5 est un composé organique complexe caractérisé par plusieurs groupes fonctionnels, y compris des moieties acétoxy et benzyloxy. Elle présente un squelette de tétrahydropyran, qui est un éther cyclique à six membres, contribuant à sa complexité structurelle et à son activité biologique potentielle. La présence de plusieurs groupes acétoxy suggère que le composé peut présenter une réactivité typique des esters, tandis que les groupes benzyloxy pourraient améliorer sa lipophilie et influencer sa solubilité dans les solvants organiques. La stéréochimie indiquée par les désignations (S) et (R) suggère des arrangements spatiaux spécifiques des atomes, ce qui peut affecter de manière significative les propriétés et les interactions du composé. De tels composés suscitent souvent un intérêt en chimie médicinale et dans la synthèse de produits naturels en raison de leurs applications thérapeutiques potentielles. Dans l'ensemble, cette substance illustre la nature complexe des molécules organiques et leurs diverses fonctionnalités.
Formule :C41H48O14
InChI :InChI=1/C41H48O14/c1-25-34(47-21-30-15-9-6-10-16-30)36(48-22-31-17-11-7-12-18-31)38(49-23-32-19-13-8-14-20-32)40(50-25)55-39-37(52-28(4)44)35(51-27(3)43)33(24-46-26(2)42)54-41(39)53-29(5)45/h6-20,25,33-41H,21-24H2,1-5H3/t25-,33?,34+,35-,36-,37-,38-,39-,40?,41-/m0/s1
Trier par
Degré de pureté (%)
0
100
|
0
|
50
|
90
|
95
|
100
2 produits trouvés.
1,3,4,6-Tetra-O-acetyl-2-(2,3,4-tri-O-benzyl-a-L-fucopyranosyl)-a-D-galactopyranose
CAS :1,3,4,6-Tetra-O-acetyl-2-(2,3,4-tri-O-benzyl-a-L-fucopyranosyl)-a-D-galactopyranose is a methylated saccharide that has been synthesized to be used in the synthesis of complex carbohydrates. It is also called Tetra O Acetyl D Galactopyranoside. The chemical name of this product is 1,3,4,6 Tetra O Acetyl 2-(2,3,4 Tri O Benzyl A L Fucopyranosyl) A D Galactopyranose Methyl Ester. This product is also known as 6Fluoro 3 Indoxyl Beta D Galactopyranoside. This product can be custom synthesized to order and it can be modified based on customer specifications.Formule :C41H48O14Degré de pureté :Min. 95%Masse moléculaire :764.81 g/mol

