CAS 6920-00-9
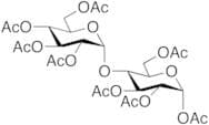
:A-D-maltose octaacétate
Description :
A-D-maltose octaacétate, avec le numéro CAS 6920-00-9, est un dérivé du maltose, un disaccharide composé de deux unités de glucose. Ce composé se caractérise par l'acétylation de tous les groupes hydroxyles présents dans le maltose, résultant en une forme entièrement acétylée. La structure d'octaacétate améliore sa lipophilie, le rendant plus soluble dans les solvants organiques par rapport à son maltose d'origine. A-D-maltose octaacétate est généralement utilisé dans la recherche biochimique et les applications impliquant la chimie des glucides, car il peut servir de substrat ou d'intermédiaire dans divers processus synthétiques. Ses propriétés chimiques incluent la stabilité dans des conditions de laboratoire standard, mais il peut être sensible à l'hydrolyse en présence d'humidité ou de bases fortes. La structure moléculaire du composé contribue à sa réactivité unique et à son interaction avec les enzymes, en faisant un outil précieux pour étudier la glycosylation et le métabolisme des glucides. Dans l'ensemble, A-D-maltose octaacétate est un composé important dans le domaine de la chimie des glucides, avec des applications tant en recherche qu'en industrie.
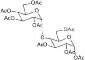
Formule :C28H38O19
Trier par
Degré de pureté (%)
0
100
|
0
|
50
|
90
|
95
|
100
4 produits trouvés.
α-D-Maltose octaacetate
CAS :α-D-Maltose octaacetate is a biochemical reagent utilized in glycobiology research. Glycobiology examines the structure, synthesis, biology, and evolution of sugars, involving carbohydrate chemistry, glycan formation and degradation enzymology, protein-glycan recognition, and the role of glycans in biological systems. This field is closely linked to fundamental research, biomedicine, and biotechnology.Formule :C28H38O19Masse moléculaire :678.59a-D-Maltose octaacetate
CAS :Starch breakdown product; sweetening agent; fermentable intermediate in brewingFormule :C28H38O19Degré de pureté :Min. 95%Masse moléculaire :678.59 g/molα-D-Maltose Octaacetate
CAS :Produit contrôléApplications Protected Maltose.
References Polidori, A., et al.: Bioorg. Med. Chem. Lett., 16, 5827 (2006),Formule :C28H38O19Couleur et forme :NeatMasse moléculaire :678.59




