CAS 69655-76-1
:Octavinyle-T8-silsesquioxane
Description :
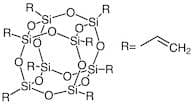
Octavinyle-T8-silsesquioxane, avec le numéro CAS 69655-76-1, est un composé de silsesquioxane caractérisé par sa structure unique qui incorpore des groupes vinyles. Ce composé présente généralement un réseau tridimensionnel de liaisons silicium-oxygène, ce qui contribue à sa stabilité et à sa polyvalence dans diverses applications. La présence de groupes vinyles permet une fonctionnalisation et un réticulation supplémentaires, ce qui le rend utile en chimie des polymères et en science des matériaux. Octavinyle-T8-silsesquioxane est souvent utilisé comme précurseur dans la synthèse de matériaux à base de silicone, de revêtements et d'adhésifs en raison de sa excellente stabilité thermique et de ses propriétés mécaniques. De plus, sa faible viscosité et sa capacité à former des films le rendent adapté à une utilisation dans des applications électroniques, comme dans la production de matériaux diélectriques. Dans l'ensemble, ce composé est apprécié pour sa stabilité chimique, sa réactivité et son potentiel de modification, ce qui permet une large gamme d'applications industrielles.
Formule :C16H24O12Si8
InChI :InChI=1/C16H24O12Si8/c1-9-29-17-30(10-2)20-33(13-5)22-31(11-3,18-29)24-35(15-7)25-32(12-4,19-29)23-34(14-6,21-30)27-36(16-8,26-33)28-35/h9-16H,1-8H2
SMILES :C=C[Si]12O[Si]3(C=C)O[Si]4(C=C)O[Si](C=C)(O1)O[Si]1(C=C)O[Si](C=C)(O2)O[Si](C=C)(O3)O[Si](C=C)(O4)O1
Synonymes :- Octavinyloctasilasesquioxane
- 1,3,5,7,9,11,13,15-Octavinylpentacyclo-Octasiloxa
- OctavinylTsilsesquioxane
- Poly(vinylsilsesquioxane)-T8 with all silicons vinyl substituted
- Poly(vinylsilsesquioxane)
- 1,3,5,7,9,11,13,15-Octaethenylpentacyclo[9.5.1.1~3,9~.1~5,15~.1~7,13~]Octasiloxane
Trier par
Degré de pureté (%)
0
100
|
0
|
50
|
90
|
95
|
100
5 produits trouvés.
Octavinyloctasilasesquioxane
CAS :Formule :C16H24O12Si8Degré de pureté :95%Couleur et forme :SolidMasse moléculaire :633.0386Octavinyloctasilasesquioxane
CAS :OctavinyloctasilasesquioxaneFormule :C16H24O12Si8Degré de pureté :98%Couleur et forme :SolidMasse moléculaire :633.04Octavinyloctasilasesquioxane
CAS :Formule :C16H24O12Si8Couleur et forme :White to Almost white powder to crystalMasse moléculaire :633.041,3,5,7,9,11,13,15-Octavinyl-2,4,6,8,10,12,14,16,17,18,19,20-dodecaoxa-1,3,5,7,9,11,13,15-octasilapentacyclo[9.5.1.13,9.15,15.17,13]icosane
CAS :1,3,5,7,9,11,13,15-Octavinyl-2,4,6,8,10,12,14,16,17,18,19,20-dodecaoxa-1,3,5,7,9,11,13,15-octasilapentacyclo[9.5.1.13,9.15,15.17,13]icosaneFormule :C16H24O12Si8Degré de pureté :95%Masse moléculaire :633.04Octavinyl-T8-silsequioxane
CAS :S25251 - Octavinyl-T8-silsequioxane
Formule :C16H24O12Si8Degré de pureté :95%Couleur et forme :SolidMasse moléculaire :633.036




