
Autres inhibiteurs
Cette catégorie englobe une grande variété d'inhibiteurs qui ne rentrent pas dans les classifications standard mais qui sont néanmoins cruciaux pour diverses recherches biochimiques et pharmacologiques. Ces inhibiteurs peuvent cibler des voies, des enzymes et des interactions moléculaires uniques ou moins étudiés, fournissant des outils précieux pour des domaines de recherche spécialisés. Chez CymitQuimica, nous offrons une sélection diversifiée d'inhibiteurs de haute qualité ciblant de multiples objectifs biologiques et disciplines de recherche, vous permettant d'explorer de nouvelles avenues thérapeutiques et d'approfondir votre compréhension des processus biologiques complexes.
37827 produits trouvés pour "Autres inhibiteurs"
Trier par
Degré de pureté (%)
0
100
|
0
|
50
|
90
|
95
|
100
Isochromophilone IV
CAS :<p>Isochromophilone IV is a natural product that can be used as a reference standard. The CAS number of Isochromophilone IV is 167173-90-2.</p>Formule :C21H27ClO5Couleur et forme :SolidMasse moléculaire :394.89Preechinulin
CAS :<p>Preechinulin is a useful organic compound for research related to life sciences. The catalog number is T125369 and the CAS number is 21008-43-5.</p>Formule :C19H23N3O2Couleur et forme :SolidMasse moléculaire :325.4123'-amino-dGTP tetrasodium
<p>3'-Amino-3'-deoxyguanosine-5'-O-triphosphate (3'-amino-dGTP), an amine-modified nucleotide, effectively terminates RNA strand synthesis as catalyzed by RNA</p>Formule :C10H13N6O13P3·4NaCouleur et forme :SolidMasse moléculaire :610.121,1,3,3-Tetraethoxypropane
CAS :<p>1,1,3,3-Tetraethoxypropane is an ether compound applicable in biochemical experiments and drug synthesis research.</p>Formule :C11H24O4Couleur et forme :SolidMasse moléculaire :220.31NSC-57969
CAS :<p>NSC-57969 is a MDR-selective agent, exhibiting a robust Pgp-dependent toxic activity across diverse cancer cell lines.</p>Formule :C15H18N2OCouleur et forme :SolidMasse moléculaire :242.3220-HEPE
CAS :<p>20-HEPE, a metabolite of EPA, is formed by CYP ω-oxidases. It activates PPARα and mTRPV1 but not antinociceptive in rats.</p>Formule :C20H30O3Couleur et forme :SolidMasse moléculaire :318.457Perforatumone
<p>Perforatumone is a useful organic compound for research related to life sciences and the catalog number is T124148.</p>Formule :C35H52O5Couleur et forme :SolidMasse moléculaire :552.796Lepetine
CAS :<p>Lepetine is an alkaloid extracted from the root of Aconitum psedohuiliense.</p>Formule :C24H35NO4Couleur et forme :SolidMasse moléculaire :401.547Isochamaejasmenin B
<p>Isochamaejasmenin B is a useful organic compound for research related to life sciences and the catalog number is T124063.</p>Formule :C32H26O10Couleur et forme :SolidMasse moléculaire :570.55Dihydrorobustic deoxybenzoin
<p>Dihydrorobustic deoxybenzoin is a useful organic compound for research related to life sciences and the catalog number is T131596.</p>Formule :C21H24O5Couleur et forme :SolidMasse moléculaire :356.418PROTAC BRAF-V600E degrader-2
CAS :<p>PROTAC BRAF-V600E degrader-2 is a useful organic compound for research related to life sciences. The catalog number is T8744 and the CAS number is 2417296-82-1.</p>Formule :C42H39F2N7O8SCouleur et forme :SolidMasse moléculaire :839.87Dypnone
CAS :<p>Dypnone is a liquid ketone used as a plasticizer.</p>Formule :C16H14OCouleur et forme :SolidMasse moléculaire :222.287Phoyunnanin C
<p>Phoyunnanin C is a useful organic compound for research related to life sciences and the catalog number is T123860.</p>Formule :C30H26O6Couleur et forme :SolidMasse moléculaire :482.532Foetidin
CAS :<p>Foetidin is a natural product that can be used as a reference standard. The CAS number of Foetidin is 89900-57-2.</p>Formule :C20H28O4Couleur et forme :SolidMasse moléculaire :332.44Psilostachyin C
CAS :<p>Psilostachyin C: a nearly water-insoluble, neutral sesquiterpene lactone from Ambrosia, in mugwort; possible consumption biomarker.</p>Formule :C15H20O4Couleur et forme :SolidMasse moléculaire :264.32Antibiotic AB 4015B
<p>Antibiotic AB 4015B is a useful organic compound for research related to life sciences and the catalog number is T125657.</p>Formule :C26H39NO3Couleur et forme :SolidMasse moléculaire :413.602Ro 11-3696
CAS :<p>Ro 11-3696 is a bio-active chemical.</p>Formule :C8H13N3O4Couleur et forme :SolidMasse moléculaire :215.219-deoxy-9-methylene Prostaglandin E2
CAS :<p>9-deoxy-9-methylene PGE2: stable PGE2 analog with similar effects, less side effects, equal potency in rats, gerbils, primates.</p>Formule :C21H34O4Couleur et forme :SolidMasse moléculaire :350.499LIN28-IN-1
<p>LIN28-IN-1 (compound 5) is a selective inhibitor targeting the RNA-binding protein LIN28, specifically binding to its cold shock domain (CSD).</p>Couleur et forme :Odour SolidSchizotenuin A
CAS :<p>Schizotenuin A is a natural product that can be used as a reference standard. The CAS number of Schizotenuin A is 144608-09-3.</p>Formule :C36H28O16Couleur et forme :SolidMasse moléculaire :716.6Compound 0080-0015
<p>Compound 0080-0015 is a useful organic compound for research related to life sciences and the catalog number is T131704.</p>Couleur et forme :Odour SolidUK-122 TFA salt
CAS :<p>UK-122: potent, selective uPA inhibitor (Ki=20nM), IC50=0.2µM (cell-free assay); low CFPAC-1 toxicity, hinders migration/invasion.</p>Formule :C19H14F3N3O4Couleur et forme :SolidMasse moléculaire :405.33(-)-Taxifolin
CAS :<p>(-)-Taxifolin, less active enantiomer with anti-tyrosinase, collagenase inhibition (IC50 = 193.3 μM), antifibrotic, antioxidant properties.</p>Formule :C15H12O7Couleur et forme :SolidMasse moléculaire :304.252',5,6',7-Tetrahydroxyflavone
CAS :<p>2',5,6',7-Tetrahydroxyflavone is a useful organic compound for research related to life sciences.</p>Formule :C15H10O6Couleur et forme :SolidMasse moléculaire :286.2393-epi-25-hydroxy Vitamin D3
CAS :<p>3-epi-25-hydroxy Vitamin D3 lowers serum PTH in male weanling rats at 0.5 and 1 IU/g doses; doesn't affect females.</p>Formule :C27H44O2Couleur et forme :SolidMasse moléculaire :400.64m-(1-Pyrrolidinyl)phenol
CAS :<p>m-(1-Pyrrolidinyl)phenol is a bioactive chemical.</p>Formule :C10H13NOCouleur et forme :SolidMasse moléculaire :163.2163Eupomatenoid 12
CAS :<p>Eupomatenoid 12 is a useful organic compound for research related to life sciences. The catalog number is T124879 and the CAS number is 41365-37-1.</p>Formule :C21H22O4Couleur et forme :SolidMasse moléculaire :338.403Tralomethrin
CAS :<p>Tralomethrin is used as a pyrethroid insecticide.</p>Formule :C22H19Br4NO3Couleur et forme :SolidMasse moléculaire :665.01Isorhamnetin 3,5-O-diglucoside
CAS :<p>Isorhamnetin 3,5-O-diglucoside is a natural product that can be used as a reference standard. The CAS number of Isorhamnetin 3,5-O-diglucoside is 2035413-03-5.</p>Formule :C28H32O17Couleur et forme :SolidMasse moléculaire :640.615-Hydroxyferruginol
<p>15-Hydroxyferruginol is a useful organic compound for research related to life sciences and the catalog number is T124260.</p>Formule :C20H30O2Couleur et forme :SolidMasse moléculaire :302.458H-γ-Glu-Gln-OH
CAS :<p>H-γ-Glu-Gln-OH, a hydrophilic peptide, serves as a drug carrier with high water solubility, robust drug-loading capacity, excellent biocompatibility, and</p>Formule :C10H17N3O6Couleur et forme :SolidMasse moléculaire :275.26Nocardicin G
CAS :<p>Nocardicin G is a universal precursor of nocardicins.</p>Formule :C19H19N3O6Couleur et forme :SolidMasse moléculaire :385.373-(4-Hydroxy-3-methoxyphenyl)propane-1,2-diol
<p>3-(4-Hydroxy-3-methoxyphenyl)propane-1,2-diol is a useful organic compound for research related to life sciences and the catalog number is T125143.</p>Formule :C10H14O4Couleur et forme :SolidMasse moléculaire :198.218Hydrocortamate Hydrochloride
CAS :<p>Hydrocortamate HCl, a synthetic glucocorticoid, treats inflammatory skin diseases topically.</p>Formule :C27H42ClNO6Couleur et forme :SolidMasse moléculaire :512.08Hederagenin 3-O-(2-O-acetyl-α-L-arabinopyranoside)
CAS :<p>Hederagenin 3-O-(2-O-acetyl-α-L-arabinopyranoside) significantly elevated alkaline phosphatase (ALP) activity and enhanced the protein expression levels of bone sialoprotein (BSP) and osteocalcin (OC).</p>Formule :C37H58O9Couleur et forme :SolidMasse moléculaire :646.9VH 032 amide-alkylC7-amine
<p>VHL ligand for PROTACs with E3 ligase and linker for protein conjugation—tool for PROTAC research.</p>Couleur et forme :LiquidAnticancer agent 13
CAS :<p>Anticancer agent 13 is an anticancer agent from dicarboxylic acids and amines.</p>Formule :C18H20N2O3Couleur et forme :SolidMasse moléculaire :312.3696-Oxocativic acid
<p>6-Oxocativic acid is a useful organic compound for research related to life sciences and the catalog number is T131104.</p>Formule :C20H32O3Couleur et forme :SolidMasse moléculaire :320.473Benzyl-PEG6-MS
CAS :<p>Benzyl-PEG6-MS is a PEG-based linker for PROTACs which joins two essential ligands, crucial for forming PROTAC molecules.</p>Formule :C20H34O9SCouleur et forme :SolidMasse moléculaire :450.54Altamisic acid
<p>Altamisic acid is a useful organic compound for research related to life sciences and the catalog number is T130879.</p>Formule :C15H20O5Couleur et forme :SolidMasse moléculaire :280.32CP-8668
CAS :<p>CP-8668 is an orally active nonsteroidal progesterone receptor modulator with tetrahydrobenzoindolone skeleton.</p>Formule :C21H30N2O4Couleur et forme :SolidMasse moléculaire :374.47AAL Toxin TB2
<p>AAL Toxin TB2 is a useful organic compound for research related to life sciences and the catalog number is T125787.</p>Formule :C25H45NO9Couleur et forme :SolidMasse moléculaire :503.634Herniariasaponin 2
CAS :<p>Herniariasaponin 2 is a useful organic compound for research related to life sciences. The catalog number is T125718 and the CAS number is 157446-62-3.</p>Formule :C56H88O26Couleur et forme :SolidMasse moléculaire :1177.29Cinerubine A
CAS :<p>Cinerubine A is an anthracycline.</p>Formule :C42H53NO16Couleur et forme :SolidMasse moléculaire :827.877Stachyanthuside A
CAS :<p>Stachyanthuside A, an ellagic acid glycoside, has been isolated from the leaves of Diplopanax stachyanthus.</p>Formule :C21H18O13Couleur et forme :SolidMasse moléculaire :478.3621-Dodecanoyl-sn-glycerophosphoethanolamine
CAS :1-Dodecanoyl-sn-glycerophosphoethanolamine is a bioactive cehmical.Formule :C17H36NO7PCouleur et forme :SolidMasse moléculaire :397.44Acuminatum C
CAS :<p>Acuminatum C is a useful organic compound for research related to life sciences. The catalog number is T123812 and the CAS number is 99316-99-1.</p>Formule :C44H71N7O11Couleur et forme :SolidMasse moléculaire :874.09AD 128
CAS :<p>AD 128 is a bioactive chemical and therapeutic agent.</p>Formule :C17H23Cl2N3O2Couleur et forme :SolidMasse moléculaire :372.29AB 3217-A
CAS :AB 3217-A, a streptomycete-derived anti-mite agent, effectively targets Tetranychus urticae.Formule :C17H23NO7Couleur et forme :SolidMasse moléculaire :353.37Hosenkoside E
CAS :<p>Hosenkoside E, a natural compound, is extractable from the seeds of Impatiens balsamina [1].</p>Formule :C42H72O15Couleur et forme :SolidMasse moléculaire :817.01Chlorimuron-ethyl
CAS :<p>Chlorimuron-ethyl, an influential herbicide extensively employed in soybean cultivation, exerts its action by inducing oxidative stress.</p>Formule :C15H15ClN4O6SCouleur et forme :SolidMasse moléculaire :414.82Neoolivil
<p>Neoolivil is a useful organic compound for research related to life sciences and the catalog number is T126106.</p>Formule :C40H46O14Couleur et forme :SolidMasse moléculaire :750.794PF-722135
CAS :<p>PF-722135 is a bio-chemical.</p>Formule :C18H18ClN5Couleur et forme :SolidMasse moléculaire :339.8215(R)-HETE
<p>15(R)-HETE, a monohydroxy fatty acid, is synthesized from arachidonic acid via aspirin-acetylated COX-2, leading to the formation of specialized pro-resolving mediators 15(R)-lipoxin A4 and B4 through a transcellular mechanism involving 5-lipoxygenase (5-LO). Additionally, this compound is produced by the cytochrome P450 (CYP) isoform CYP2C9 and can be generated from arachidonic acid by COX-1 in human mast cells, where it accumulates due to its resistance to conversion into 15-KETE by 15-hydroxyprostaglandin dehydrogenase (15-PGDH). As an agonist of PPARβ/δ, 15(R)-HETE induces the expression of a target gene in NIH3T3 cells, demonstrating its biological significance.</p>Couleur et forme :Odour SolidLudovicin B
CAS :<p>Ludovicin B is a bioactive chemical.</p>Formule :C15H20O4Couleur et forme :SolidMasse moléculaire :264.32Kaempferol 3-b-laminaribioside
CAS :<p>Kaempferol 3-b-laminaribioside is a useful organic compound for research related to life sciences.</p>Formule :C27H30O16Couleur et forme :SolidMasse moléculaire :610.521Gypenoside VN3
CAS :<p>Gypenoside VN3 is a useful organic compound for research related to life sciences. The catalog number is T126173 and the CAS number is 1235721-51-3.</p>Formule :C53H88O22Couleur et forme :SolidMasse moléculaire :1077.27Cryptochrysin, Di-methyl ether
<p>Cryptochrysin, Di-methyl ether is a useful organic compound for research related to life sciences and the catalog number is T131523.</p>Formule :C18H16O4Couleur et forme :SolidMasse moléculaire :296.3225'-pGpG (sodium salt)
<p>5'-pGpG, a linear cyclic di-GMP derivative and STING activator, forms by PDE hydrolysis and has lower affinity for the di-GMP-I riboswitch.</p>Couleur et forme :SolidLupanine, 17-hydroxy-, monohydrochloride
CAS :<p>Lupanine, 17-hydroxy-, monohydrochloride is a drug / Therapeutic Agent.</p>Formule :C15H25ClN2O2Couleur et forme :SolidMasse moléculaire :300.82Morindin
<p>Morindin is a useful organic compound for research related to life sciences and the catalog number is T124563.</p>Formule :C26H28O14Couleur et forme :SolidMasse moléculaire :564.4965,7-Dihydroxyisoflavone
<p>5,7-Dihydroxyisoflavone is a useful organic compound for research related to life sciences and the catalog number is T131561.</p>Couleur et forme :Odour SolidEstradiol 3-sulfate 17β-Glucuronide potassium salt
CAS :<p>Estradiol 3-sulfate 17β-Glucuronide potassium salt is a naturally occurring estrogen and can be used to study metabolic diseases.</p>Formule :C24H30K2O11SCouleur et forme :SolidMasse moléculaire :604.75Fluorescein-NAD+
<p>Fluorescein NAD+ is a non-radioactive PARP assay substrate, enabling direct enzyme measurement by fluorescence. Comes as 81μg in 250μl water.</p>Couleur et forme :SolidFuranofukinin
<p>Furanofukinin is a useful organic compound for research related to life sciences and the catalog number is T125001.</p>Formule :C16H24O2Couleur et forme :SolidMasse moléculaire :248.366Aknadinine
CAS :<p>Aknadinine is a biochemical isolated from Stephania sutchuenensis.</p>Formule :C20H25NO5Couleur et forme :SolidMasse moléculaire :359.42Hopeachinol B
<p>Hopeachinol B is a useful organic compound for research related to life sciences and the catalog number is T126169.</p>Formule :C35H24O9Couleur et forme :SolidMasse moléculaire :588.568(±)-Clopidogrel (hydrochloride)
CAS :<p>Clopidogrel is an antithrombic compound whose active metabolite is a selective, irreversible antagonist of the platelet purinergic P2Y12 receptor (IC50 = 100 nM</p>Formule :C16H17Cl2NO2SCouleur et forme :SolidMasse moléculaire :358.28Taiwapyrone
CAS :<p>Taiwapyrone is a useful organic compound for research related to life sciences. The catalog number is T124578 and the CAS number is 60031-98-3.</p>Formule :C10H14O4Couleur et forme :SolidMasse moléculaire :198.218Trachelanthamidine
<p>Trachelanthamidine is a useful organic compound for research related to life sciences and the catalog number is T124710.</p>Formule :C8H15NOCouleur et forme :SolidMasse moléculaire :141.214Lyoniol B
CAS :<p>Lyoniol B is a grayanane diterpenoids from the leaves of Craiobiodendron yunnanense.</p>Formule :C20H32O6Couleur et forme :SolidMasse moléculaire :368.47Uncarine F
<p>Uncarine F is a natural product that can be used as a reference standard.</p>Formule :C21H24N2O4Couleur et forme :SolidMasse moléculaire :368.433Ro 24-2446
CAS :<p>Ro 24-2446 is a bioactive chemical.</p>Formule :C26H34N2O2Couleur et forme :SolidMasse moléculaire :406.56Acetamide, 2-chloro-N-(3-methoxyphenyl)-
CAS :<p>Acetamide, 2-chloro-N-(3-methoxyphenyl)- (9CI) is a bioactive chemical.</p>Formule :C9H10ClNO2Couleur et forme :SolidMasse moléculaire :199.63Tectorigenin sodium sulfonate
CAS :<p>Tectorigenin sodium sulfonate, a derivative of tectorigenin, is synthesized through sulfonation with sulfuric acid followed by neutralization in saturated</p>Formule :C16H11NaO9SCouleur et forme :SolidMasse moléculaire :402.31Zinnimidine
CAS :<p>Zinnimidine is a useful organic compound for research related to life sciences. The catalog number is T125806 and the CAS number is 148717-77-5.</p>Formule :C15H19NO3Couleur et forme :SolidMasse moléculaire :261.321Kessane
CAS :<p>Kessane is a sesquiterpenoid oxide isolated from Japanese valerians.</p>Formule :C15H26OCouleur et forme :SolidMasse moléculaire :222.371H-Pyrido[3,4-b]indole-1,3 4(2H,9H)-trione
1H-Pyrido[3,4-b]indole-1,3 4(2H,9H)-trione is a useful organic compound for research related to life sciences and the catalog number is T125636.Formule :C11H6N2O3Couleur et forme :SolidMasse moléculaire :214.18Actinopyrone A
CAS :<p>Actinopyrone A, from S. pactum, targets H. pylori (MIC 0.1 ng/mL), mildly affects Gram-positive bacteria/dermatophytes, and boosts dog coronary flow by 196.2%.</p>Formule :C25H36O4Couleur et forme :SolidMasse moléculaire :400.559SHP2-IN-16
<p>SHP2-IN-16 (compound 222) is a potent SHP2 inhibitor exhibiting an IC50 of 1 nM, and is applicable in glioblastoma research [1].</p>Formule :C25H24F2N6OCouleur et forme :SolidMasse moléculaire :462.49TRK-380
<p>TRK-380, a β3-adrenergic agonist, reduces rat urination and dog bladder contractions by 37.6%.</p>Couleur et forme :SolidNorjuziphine
<p>Norjuziphine is a useful organic compound for research related to life sciences and the catalog number is T124294.</p>Formule :C17H19NO3Couleur et forme :SolidMasse moléculaire :285.343Ass-52
CAS :Ass-52 is a analog of somatostatin.Formule :C43H60N8O8S2Couleur et forme :SolidMasse moléculaire :881.122,3-Diphosphoglyceric acid
CAS :<p>2,3-Diphosphoglyceric acid (2,3-DPG), an intermediate of the glycolytic pathway, allosterically binds to deoxygenated hemoglobin, stabilizing it and</p>Formule :C3H8O10P2Couleur et forme :SolidMasse moléculaire :266.04FAPI-2 TFA
<p>FAPI-2 TFA is a fibroblast activation protein (FAP) inhibitor, potentially applicable in cancer research. [1]</p>Couleur et forme :Odour SolidL-163,101
CAS :<p>L-163,101 is a bioactive chemical.</p>Formule :C34H36N4O3SCouleur et forme :SolidMasse moléculaire :580.75Ristocetin B
CAS :<p>Ristocetin B is a biochemical.</p>Formule :C84H92N8O35Couleur et forme :SolidMasse moléculaire :1773.681Albuminamide
CAS :Albuminamide is a novel peptide amide that has an identical sequence to the N-terminal (1-7) fragment of bovine serum albumin.Formule :C34H57N11O13Couleur et forme :SolidMasse moléculaire :827.894Z3-Dodecenyl E2-butenoate
CAS :<p>Z3-Dodecenyl E2-butenoate, a female sex pheromone of the sweet potato weevil (C. formicarius), is utilized for baiting and trapping male sweet potato weevils. This method aids in managing their populations in agricultural fields while minimizing insecticide use.</p>Formule :C16H28O2Couleur et forme :SolidMasse moléculaire :252.398Compound 0449-0126
<p>Compound 0449-0126 is a useful organic compound for research related to life sciences and the catalog number is T131651.</p>Formule :C30H46O9Couleur et forme :SolidMasse moléculaire :550.6891-O-p-Coumaroyl-β-D-glucose
CAS :<p>1-O-p-Coumaroyl-β-D-glucose, a compound extractable from Luffa cylindrica (L.) Roem (sponge gourds) [1] [2], has been found to enhance glucose uptake in HuH7 cells.</p>Formule :C15H18O8Couleur et forme :SolidMasse moléculaire :326.10017Taccalonolide C
CAS :<p>Taccalonolides C is an anti-cancer agent.</p>Formule :C36H46O14Couleur et forme :SolidMasse moléculaire :702.74Ganoderiol D
CAS :<p>Ganoderiol D is a natural product that can be used as a reference standard. The CAS number of Ganoderiol D is 114567-45-2.</p>Formule :C30H48O5Couleur et forme :SolidMasse moléculaire :488.7SKI 23325
CAS :<p>SKI 23325 is a biochemical.</p>Formule :C16H24Cl4N2O2Couleur et forme :SolidMasse moléculaire :418.19Quercetin 3-(2-xylosylrhamnoside)
CAS :<p>Quercetin 3-(2-xylosylrhamnoside) is a useful organic compound for research related to life sciences.</p>Formule :C26H28O15Couleur et forme :SolidMasse moléculaire :580.495Tempoacmcta
CAS :<p>Tempoacmcta is a peptide.</p>Formule :C22H34N5O5SCouleur et forme :SolidMasse moléculaire :480.6DOTA Zoledronate
CAS :<p>DOTA Zoledronate represents a novel, advanced compound utilized specifically in bone-targeted radionuclide therapy to diagnose bone metastases.</p>Formule :C23H41N7O14P2Couleur et forme :SolidMasse moléculaire :701.564N-Desmethyl Sildenafil (citrate)
<p>N-Desmethyl sildenafil, a major sildenafil metabolite, is formed by CYP3A4, CYP3A5, and CYP3A7 oxidation.</p>Couleur et forme :SolidAM-6761
CAS :<p>AM-6761: Potent MDM2-p53 inhibitor, strong antitumor effect on SJSA-1 osteosarcoma; ED50 is 11 mg/kg.</p>Formule :C33H37Cl2FN2O5S2Couleur et forme :SolidMasse moléculaire :695.69Yellamycin A
CAS :<p>Yellamycin A is a biochemical.</p>Formule :C28H33NO9Couleur et forme :SolidMasse moléculaire :527.56Phosphoenolpyruvate carboxylase
CAS :<p>Phosphoenolpyruvate carboxylase (PEPC) is an enzyme that irreversibly catalyzes the conversion of phosphoenolpyruvate and bicarbonate to oxaloacetate and</p>Couleur et forme :SolidTpl2 Kinase Inhibitor (hydrochloride)
<p>Tpl2 inhibitor blocks enzyme (IC50=0.05μM), selective over MEK/p38/Src/MK2/PKC. Cuts LPS-induced TNF-α; aids leukemia cell differentiation.</p>Couleur et forme :SolidTuberonic acid glucoside
CAS :<p>Tuberonic acid glucoside is a useful organic compound for research related to life sciences. The catalog number is T126155 and the CAS number is 124649-25-8.</p>Formule :C18H28O9Couleur et forme :SolidMasse moléculaire :388.413N-Methyltetrahydrocolumbamine
CAS :<p>N-Methyltetrahydrocolumbamine is a natural product that can be used as a reference standard. The CAS number of N-Methyltetrahydrocolumbamine is 92758-34-4.</p>Formule :C21H26NO4Couleur et forme :SolidMasse moléculaire :356.4GPX4 24
<p>GPX4 24, a derivative of (1S,3R)-RSL3, acts as a potent inhibitor of glutathione peroxidase 4 (GPX4) through covalent binding in a concentration-dependent</p>Formule :C22H21ClN2O5SCouleur et forme :SolidMasse moléculaire :460.93BPC 157 (X acetate)
CAS :<p>Body Protection Compound 157 (BPC 157) is a pentadecapeptide derived from BPC, identified in gastric juice, exhibiting diverse biological activities. At 2 µg/ml, BPC 157 enhances primary rat tendon fibroblast cell migration and F-actin formation. Furthermore, doses of 0.01 and 10 µg/kg, intraperitoneally (i.p.), mitigate paw swelling, bone erosion, and mononuclear cell infiltration in the joints of rats with rheumatoid arthritis induced by complete Freund's adjuvant (CFA). It also diminishes gastric ulcer size in rats caused by indomethacin, aspirin, or diclofenac at these doses. Additionally, BPC 157 reduces catalepsy duration and tremor severity in a mouse model of Parkinson's disease triggered by MPTP.</p>Formule :C62H98N16O22XC2H4O2Couleur et forme :SolidMasse moléculaire :1419.543-O-Caffeoyl-4-O-sinapoylquinic acid
CAS :<p>3-O-Caffeoyl-4-O-sinapoylquinic acid is a useful organic compound for research related to life sciences.</p>Formule :C27H28O13Couleur et forme :SolidMasse moléculaire :560.508(Z,Z)-3,13-Octadecadienyl acetate
CAS :<p>(Z,Z)-3,13-Octadecadienyl acetate, extracted from the pheromone glands of female S.</p>Formule :C20H36O2Couleur et forme :SolidMasse moléculaire :308.5Rotihibin A
CAS :<p>Rotihibin A is a novel plant growth regulator.</p>Formule :C35H63N11O13Couleur et forme :SolidMasse moléculaire :845.953ZIKV-IN-6
<p>ZIKV-IN-6 (compound 22) acts as a direct inhibitor of the Zika virus (ZIKV) by binding to its RNA-dependent RNA polymerase (RdRp) and obstructing viral RNA</p>Couleur et forme :Odour SolidPancuronium (bromide hydrate)
<p>Pancuronium is a non-depolarizing neuromuscular blocker, targeting nAChRs with a 14.8 nM IC50; it potentiates isoflurane anesthesia.</p>Couleur et forme :SolidBromo-C10-OBn
CAS :<p>Bromo-C10-OBn is a PROTAC linker that can be used in the synthesis of PROTACs.</p>Formule :C18H27BrO2Couleur et forme :SolidMasse moléculaire :355.316Avenalumic acid
CAS :<p>Avenalumic acid is a biochemical.</p>Formule :C11H10O3Couleur et forme :SolidMasse moléculaire :190.2Crucigasterin 275
<p>Crucigasterin 275 is a natural product that can be used as a reference standard.</p>Formule :C18H29NOCouleur et forme :SolidMasse moléculaire :275.436PX-866-17OH
CAS :<p>PX-866-17OH can be used in related research in the field of life sciences. Its product number is T36312 and CAS number is 1012327-63-7.</p>Formule :C29H37NO8Couleur et forme :SolidMasse moléculaire :527.612-Pyridineacetamide, 5-methylthio-
CAS :<p>2-Pyridineacetamide, 5-methylthio- is a biochemical.</p>Formule :C8H10N2SCouleur et forme :SolidMasse moléculaire :166.24Ganglioside GD1b Mixture (sodium salt)
CAS :<p>GD1b: acidic glycosphingolipid with two sialic acids linked to galactose, in plasma membranes, modulates cell signaling, increasing brain levels with age.</p>Formule :C84H146N4O392NaCouleur et forme :SolidMasse moléculaire :1882.1Ethomoxane
CAS :<p>Ethomoxane is a bioactive chemical.</p>Formule :C15H23NO3Couleur et forme :SolidMasse moléculaire :265.35Glycidyl methacrylate
CAS :<p>Glycidyl methacrylate is an ester of methacrylic acid and glycidol. Glycidyl methacrylate is a common monomer used in the creation of epoxy resins.</p>Formule :C7H10O3Couleur et forme :SolidMasse moléculaire :142.15Dansylproline
CAS :<p>Dansylproline is a bioactive chemical.</p>Formule :C17H20N2O4SCouleur et forme :SolidMasse moléculaire :348.42Heliovicine
<p>Heliovicine is a useful organic compound for research related to life sciences and the catalog number is T124404.</p>Formule :C15H27NO4Couleur et forme :SolidMasse moléculaire :285.3846-Hydroxyrotenone
<p>6-Hydroxyrotenone is a useful organic compound for research related to life sciences and the catalog number is T130419.</p>Formule :C23H22O7Couleur et forme :SolidMasse moléculaire :410.422Clematine
CAS :<p>Clematine is a useful organic compound for research related to life sciences. The catalog number is T125781 and the CAS number is 150172-22-8.</p>Formule :C28H34O15Couleur et forme :SolidMasse moléculaire :610.565Lacticolorin
CAS :<p>Lacticolorin is a phenolic glucoside ester; metabolite of Protea lacticolor Salisb.</p>Formule :C20H22O9Couleur et forme :SolidMasse moléculaire :406.383,5-Diiodothyroacetic Acid
CAS :<p>3,5-Diiodothyroacetic acid is a thyroid hormone analog that has been found to reduce cholesterol concentrations and may be used in the study of hypothyroidism.</p>Formule :C14H10I2O4Couleur et forme :SolidMasse moléculaire :496.039Decane, 4,6-dimethyl-
CAS :<p>Decane, 4,6-dimethyl- is a biochemical.</p>Formule :C12H26Couleur et forme :SolidMasse moléculaire :170.33Dipsacussaponin C
<p>Dipsacussaponin C is a useful organic compound for research related to life sciences and the catalog number is T125760.</p>Formule :C64H104O30Couleur et forme :SolidMasse moléculaire :1353.51L 693593
CAS :<p>L 693593 is a bioactive chemical.</p>Formule :C18H18N2O3Couleur et forme :SolidMasse moléculaire :310.35Pyrithioxin dihydrochloride
CAS :<p>Pyrithioxin dihydrochloride (Pyrithioxine HCl) has anti-nociceptive and anti-allodynic effects and can be used to study neurological diseases.</p>Formule :C16H22Cl2N2O4S2Degré de pureté :98%Couleur et forme :SolidMasse moléculaire :441.39N-(Biotin-PEG4)-N-bis(PEG4-acid) HCl salt
CAS :<p>N-(Biotin-PEG4)-N-bis(PEG4-acid) HCl salt is a PEG Linker which may be useful in the development of antibody drug conjugates.</p>Formule :C42H79ClN4O18SDegré de pureté :98%Couleur et forme :SolidMasse moléculaire :995.61Compound N042-0026
<p>Compound N042-0026 is a useful organic compound for research related to life sciences and the catalog number is T131259.</p>Formule :C17H22O5Couleur et forme :SolidMasse moléculaire :306.358L 642946
CAS :<p>L 642946 is a bioactive chemical.</p>Formule :C24H21N5NaO5S4Couleur et forme :SolidMasse moléculaire :610.692-Deoxy-lyxo-hexose
CAS :<p>2-Deoxy-lyxo-hexose is a bioactive chemical.</p>Formule :C6H12O5Couleur et forme :SolidMasse moléculaire :164.16UNC 2399
<p>Biotinylated UNC 1999 (IC50 = 17 nM). Enriches lysine methyltransferase EZH2 from HEK293T cells. Negative control also avilable.</p>Couleur et forme :Solid12-O-Methylsordariol
CAS :<p>12-O-Methylsordariol is a useful organic compound for research related to life sciences. The catalog number is T125463 and the CAS number is 1938054-84-2.</p>Formule :C13H18O4Couleur et forme :SolidMasse moléculaire :238.283Neurotensin (1-6)
CAS :<p>Neurotensin (1-6) affects dopamine release from striatum.</p>Formule :C35H52N8O12Couleur et forme :SolidMasse moléculaire :776.83Valacyclovir Related Compound D
CAS :<p>Valacyclovir Related Compound D is a bioactive chemical.</p>Formule :C15H24N6O4Couleur et forme :SolidMasse moléculaire :352.39Mitraciliatine
CAS :<p>Mitraciliatine, an alkaloid discovered in M.</p>Formule :C23H30N2O4Couleur et forme :SolidMasse moléculaire :398.50Decyl bromide
CAS :<p>Decyl bromide was used in the synthesis of ferrocene containing hexacatenar metallomesogen.</p>Formule :C10H21BrCouleur et forme :SolidMasse moléculaire :221.18Nesosteine
CAS :<p>Nesosteine is a mucoregulatory agent.</p>Formule :C11H11NO3SCouleur et forme :SolidMasse moléculaire :237.2724-epi-7,8-Didehydrocimigenol 3-xyloside
CAS :<p>24-epi-7,8-Didehydrocimigenol 3-xyloside is a natural product that can be used as a reference standard. The CAS number of 24-epi-7,8-Didehydrocimigenol 3-xyloside is 150972-77-3.</p>Formule :C35H54O9Couleur et forme :SolidMasse moléculaire :618.8Resact
CAS :<p>Resact is an extracellular peptide from egg jelly of the sea urchin Arbacia punctulata.</p>Formule :C50H88N18O15S2Couleur et forme :SolidMasse moléculaire :1245.497,8-Dihydroyangonin
CAS :<p>7,8-Dihydroyangonin is a useful organic compound for research related to life sciences. The catalog number is T125064 and the CAS number is 3155-52-0.</p>Formule :C15H16O4Couleur et forme :SolidMasse moléculaire :260.28911-deoxy Prostaglandin F1β
CAS :<p>11-deoxy PGF1β is a synthetic analog of PGF1β.</p>Formule :C20H36O4Couleur et forme :SolidMasse moléculaire :340.5FD-211
CAS :<p>FD-211, a δ lactone from M. lutea, targets various cancer cells and is effective against adriamycin resistance; inhibits DNA/RNA/protein synthesis.</p>Formule :C13H16O4Couleur et forme :SolidMasse moléculaire :236.267Aspergillopepsin I
CAS :<p>Aspergillopepsin I (Aspergillus acid protease) is an aspartic endopeptidase that catalyzes the hydrolysis of peptide bonds within proteins, exhibiting broad</p>Couleur et forme :SolidLup-20(29)-en-28-al, 3-hydroxy-, (3α)-
CAS :<p>Lup-20(29)-en-28-al, 3-hydroxy-, (3alpha)- is a bioactive chemical.</p>Formule :C30H48O2Couleur et forme :SolidMasse moléculaire :440.7Antibiotic NK-A 17E-233I
CAS :<p>Antibiotic NK-A 17E-233I is a useful organic compound for research related to life sciences. The catalog number is T126331 and the CAS number is 115103-30-5.</p>Formule :C15H16O5Couleur et forme :SolidMasse moléculaire :276.2887-O-Methylrutin
CAS :<p>7-O-Methylrutin is a useful organic compound for research related to life sciences. The catalog number is T125008 and the CAS number is 34202-83-0.</p>Formule :C28H32O16Couleur et forme :SolidMasse moléculaire :624.548Etedesiran
<p>Etedesiran acts as an inhibitor of Myotonin-protein kinase (MT-PK, MDPK, or DMPK) [1].</p>Couleur et forme :Odour SolidKobusine derivative-1
<p>Kobusine derivative-1, a variant of Kobusine, exhibits antiproliferative effects on cancer cells [1].</p>Couleur et forme :Odour Solidm-((((3-Heptadecyl-1,5-dihydro-5-thioxo-4H-1,2,4-triazol-4-yl)amino)carbonyl)amino)benzenesulphonyl fluoride
CAS :<p>m-((((3-Heptadecyl-1,5-dihydro-5-thioxo-4H-1,2,4-triazol-4-yl)amino)carbonyl)amino)benzenesulphonyl fluoride can be used in related research in the field of</p>Formule :C26H42FN5O3S2Couleur et forme :SolidMasse moléculaire :555.77Neuromedin U-23 (rat) (trifluoroacetate salt)
<p>NMU-23, a neuropeptide, is an agonist for NMUR1 (EC50=0.17 nM) and NMUR2, affecting muscle, metabolism, and pain.</p>Couleur et forme :SolidC2 3'-sulfo Galactosylceramide (d18:1/2:0)
CAS :<p>C2 3'-sulfo Galactosylceramide: sulfatide glycolipid, internal standard for lysosulfatide quantification in mouse brain/plasma.</p>Formule :C26H49NO11SCouleur et forme :SolidMasse moléculaire :583.73Tiliacorine
CAS :<p>Tiliacorine is a dibenzodioxin biphenylalkaloid.</p>Formule :C36H36N2O5Couleur et forme :SolidMasse moléculaire :576.693DBM-819
CAS :<p>DBM-819 is a biochemical.</p>Formule :C23H27N3O2Couleur et forme :SolidMasse moléculaire :377.48N-acetylglucosamine-1-P uridyltransferase (AGX1)
<p>N-acetylglucosamine-1-P uridyltransferase (AGX1) (GlcNAc1pUT) is a bifunctional enzyme that couples with GlcNAc-1-P and UTP to catalyze the synthesis of UDP-</p>Couleur et forme :Odour SolidHydratropamide, α-methyl-
CAS :<p>Hydratropamide, alpha-methyl- is a bioactive chemical.</p>Formule :C10H13NOCouleur et forme :SolidMasse moléculaire :163.21633'-Hydroxy-Volkensiflavon
CAS :<p>3'-Hydroxy-Volkensiflavon is a useful organic compound for research related to life sciences. The catalog number is T126253 and the CAS number is 119459-71-1.</p>Formule :C30H20O11Couleur et forme :SolidMasse moléculaire :556.479Cyproquinate
CAS :<p>Cyproquinate is a bio-active chemical.</p>Formule :C20H23NO5Couleur et forme :SolidMasse moléculaire :357.4Estriol 3-sulfate
<p>Estriol 3-sulfate is a useful organic compound for research related to life sciences and the catalog number is T124799.</p>Formule :C18H24O6SCouleur et forme :SolidMasse moléculaire :368.44Soladulcoside A
CAS :<p>Soladulcoside A, a steroidal glycoside with antineoplastic properties, is derived from the entire Solanum nigrum plant.</p>Formule :C39H62O15Couleur et forme :SolidMasse moléculaire :770.9Lupinol C
<p>Lupinol C is a useful organic compound for research related to life sciences and the catalog number is T125991.</p>Formule :C20H18O7Couleur et forme :SolidMasse moléculaire :370.357Crotonanilide, m-hydroxy-, isopropylcarbamate (ester)
CAS :<p>Crotonanilide, m-hydroxy-, isopropylcarbamate (ester) is a bioactive chemical.</p>Formule :C14H18N2O3Couleur et forme :SolidMasse moléculaire :262.309Axillaridine
<p>Axillaridine is a natural product that can be used as a reference standard.</p>Formule :C18H27NO6Couleur et forme :SolidMasse moléculaire :353.415Carbanilic acid, m-heptyloxy-, 2-(dimethylamino)ethyl ester, hydrochloride
CAS :<p>Carbanilic acid, m-heptyloxy-, 2-(dimethylamino)ethyl ester, hydrochloride is a bioactive chemical.</p>Formule :C18H31ClN2O3Couleur et forme :SolidMasse moléculaire :358.904'-Deoxyprovincialin
CAS :<p>4'-Deoxyprovincialin is a useful organic compound for research related to life sciences. The catalog number is T124331 and the CAS number is 72057-04-6.</p>Formule :C27H34O9Couleur et forme :SolidMasse moléculaire :502.56Metolcarb
CAS :<p>Metolcarb is a bioactive chemical.</p>Formule :C9H11NO2Degré de pureté :98%Couleur et forme :Colorless Crystalline Solid Leafhoppers Planthoppers Codling Moth Citrus Mealybug Onion Thrips Fruit Flies Bollworms AndMasse moléculaire :165.1912-Acetoxy ganoderic acid D
<p>12-Acetoxy ganoderic acid D is a natural product that can be used as a reference standard.</p>Formule :C32H44O9Couleur et forme :SolidMasse moléculaire :572.7Lunacrine, (+)-
CAS :<p>Lunacrine, (+)- is a bioactive chemical.</p>Formule :C16H19NO3Couleur et forme :SolidMasse moléculaire :273.33AAA
<p>AAA blocks GPR75, boosts its protein levels, and stops 20-HETE effects on EGFR, NF-κB, Akt phosphorylation, and PC3 cell migration.</p>Formule :C24H39NNa2O6Couleur et forme :SoildMasse moléculaire :483.55CYCA-117-70
CAS :<p>CYCA-117-70, a DCAF1 ligand with a dissociation constant (K D) of 70 μM, serves as an optimal chemical handle for the recruitment of DCAF1 in PROTACs [1].</p>Formule :C19H24FN5OCouleur et forme :SolidMasse moléculaire :357.43(p-Acetylphenoxy)acetic acid
CAS :<p>(p-Acetylphenoxy)acetic acid is an agent of biochemical.</p>Formule :C10H10O4Couleur et forme :SolidMasse moléculaire :194.182-(cyclohexylmethyl)-Plumbagin
<p>2-(Cyclohexylmethyl)-Plumbagin, a naphthoquinone derivative, exhibits selective cytotoxicity towards PANC-1 human pancreatic cancer cells under nutrient-</p>Formule :C17H18O3Couleur et forme :SolidMasse moléculaire :270.30N-desmethyl Rosiglitazone
CAS :<p>N-desmethyl Rosiglitazone, a major rosiglitazone metabolite by CYP2C8, treats type 2 diabetes as a selective PPARγ ligand.</p>Formule :C17H17N3O3SCouleur et forme :SolidMasse moléculaire :343.43,4'-Di-O-methylellagic acid
<p>3,4'-Di-O-methylellagic acid is a useful organic compound for research related to life sciences and the catalog number is T124627.</p>Formule :C16H10O8Couleur et forme :SolidMasse moléculaire :330.248Elsinochrome A
CAS :<p>Elsinochrome A is a natural perylenequinone photosensitizer with antifungal activity.</p>Formule :C30H24O10Couleur et forme :SolidMasse moléculaire :544.51Securinine mononitrate
CAS :<p>Securinine mononitrate is a cholinergic agent and an antagonist of gamma-aminobutyric acid A (GABAA) receptor.</p>Formule :C13H16N2O5Degré de pureté :98%Couleur et forme :SolidMasse moléculaire :280.2765Isoamburoside B
CAS :<p>Isoamburoside B is a useful organic compound for research related to life sciences. The catalog number is T126522 and the CAS number is 1018449-95-0.</p>Formule :C21H24O10Couleur et forme :SolidMasse moléculaire :436.413Oleodaphnone
<p>Oleodaphnone is a useful organic compound for research related to life sciences and the catalog number is T125176.</p>Formule :C15H18O2Couleur et forme :SolidMasse moléculaire :230.307Daphnezomine B
<p>Daphnezomine B is a useful organic compound for research related to life sciences and the catalog number is T125212.</p>Formule :C23H37NO3Couleur et forme :SolidMasse moléculaire :375.553(±)-cis-Δ9-THC
<p>(±)-cis-Δ9-THC, a racemic mixture of the phytocannabinoid (–)-cis-Δ9-THC and synthetic cannabinoid (+)-cis-Δ9-THC, serves as an analytical reference standard. It is classified as a Schedule I compound in the United States, denoting regulation due to its notable potential for abuse. This compound is specifically designed for use in research and forensic applications.</p>Couleur et forme :Odour SolidFormononetin, 7-O-[?-D-Apiofuranosyl-(1?6)-?-D-glu
<p>Formononetin, 7-O-[?-D-Apiofuranosyl-(1?6)-?-D-glu is a useful organic compound for research related to life sciences and the catalog number is T129516.</p>Formule :C27H30O13Couleur et forme :SolidMasse moléculaire :562.524Compound 0449-0125
<p>Compound 0449-0125 is a useful organic compound for research related to life sciences and the catalog number is T131652.</p>Formule :C29H44O11Couleur et forme :SolidMasse moléculaire :568.66Linoleic acid alkyne
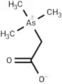
CAS :<p>Linoleic acid alkyne, an ω-alkyne derivative of Linoleic acid, serves as a precursor for synthesizing alkyne-containing compounds, including glycerophospholipids, suited for click chemistry applications [1].</p>Formule :C18H28O2Couleur et forme :SolidMasse moléculaire :276.42Arsenobetaine
CAS :<p>Arsenobetaine, an organoarsenical and compatible solute, is discovered in numerous marine animals like lobsters and crabs, and terrestrial organisms such as earthworms and lichens. It protects against B. subtilis cell death caused by high osmolarity or extreme temperatures at 1 mM concentration. Notably, arsenobetaine exhibits non-toxicity to mice with an LD50 of 10 g/kg.</p>Formule :C5H11AsO2Couleur et forme :SolidMasse moléculaire :178.06m-Methylphenylacetonitrile
CAS :<p>m-Methylphenylacetonitrile is a bioactive chemical.</p>Formule :C9H9NCouleur et forme :SolidMasse moléculaire :131.171-bromo-5-hydroxyanthra-9,10-quinone
1-bromo-5-hydroxyanthra-9,10-quinone is a useful organic compound for research related to life sciences and the catalog number is T131407.Formule :C14H7BrO3Couleur et forme :SolidMasse moléculaire :303.111D-Lysine lactam
CAS :<p>D-Lysine lactam is a chiral compound suitable for biochemical experiments and drug synthesis research.</p>Formule :C6H12N2OCouleur et forme :SolidMasse moléculaire :128.17SC46275
CAS :<p>SC46275 is a bioactive chemical.</p>Formule :C25H36O5Couleur et forme :SolidMasse moléculaire :416.55jhu-75528c-11
CAS :<p>JHU-75528 C-11 can be used as a Radiotracer for PET Imaging of CB1 Cannabinoid Receptors.</p>Formule :C23H21Cl2N5O2Couleur et forme :SolidMasse moléculaire :469.35(E,E)-Farnesol
CAS :(E,E)-Farnesol ((2E,6E)-Farnesol) is a sesquiterpene acyclic alcohol produced by bacteria, fungi, plants, and animals. (E,E)-Farnesol promotes vasodilation.Formule :C15H26OCouleur et forme :SolidMasse moléculaire :222.37AT-9010
CAS :<p>AT-9010, a triphosphate AT-527 derivative, strongly inhibits NiRAN, key in viral replication, suppressing SARS-CoV-2 effectively.</p>Formule :C11H17FN5O13P3Couleur et forme :SolidMasse moléculaire :539.20Sibiriquinone B
<p>Sibiriquinone B is a useful organic compound for research related to life sciences and the catalog number is T124328.</p>Formule :C19H22O2Couleur et forme :SolidMasse moléculaire :282.383D-Mannose-6-Phosphate sodium salt hydrate
D-Mannose-6-Phosphate sodium salt hydrate is a multifunctional monosaccharide used in the study of metabolism, lysosomal delivery and cancer.Formule :C6H11Na2O9P·xH2ODegré de pureté :95%Couleur et forme :SolidPalonosetron N-oxide
CAS :<p>Palonosetron N-oxide: metabolite and potential impurity of 5-HT3 antagonist palonosetron; forms under oxidative stress.</p>Formule :C19H24N2O2Couleur et forme :SolidMasse moléculaire :312.413Aucubigenin
CAS :<p>Aucubigenin is a biochemical.</p>Formule :C9H12O4Couleur et forme :SolidMasse moléculaire :184.191-Arachidonoyl-d8-rac-glycerol
CAS :<p>1-Arachidonoyl-d8-rac-glycerol (1-AG-d8) serves as an internal standard for 1-AG quantification via GC or LC-MS. As a weak CB1 receptor agonist, 1-AG exhibits potential pharmacological effects. Notably, 1-AG, an isomer of 2-AG, is more stable, avoiding the rapid in vitro and in vivo isomerization that diminishes 2-AG's cannabinergic efficacy due to conversion to 1-AG (also known as 1(3)-AG), a common impurity in synthetic 2-AG formulations.</p>Formule :C23H30D8O4Couleur et forme :SolidMasse moléculaire :386.6SARS-CoV-2-IN-10
CAS :<p>SARS-CoV-2-IN-10 is a potent, non-toxic SARS-CoV-2 3CL protease inhibitor with IC50=0.13 nM, EC50=1.03 nM, hindering viral replication.</p>Formule :C27H37F2N3O5Couleur et forme :SolidMasse moléculaire :521.606Ichangin-4-O-b-D-glucopyranoside
CAS :<p>Ichangin-4-O-b-D-glucopyranoside is a useful organic compound for research related to life sciences.</p>Formule :C32H42O14Couleur et forme :SolidMasse moléculaire :650.674

