CAS 116783-35-8
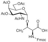
:Fmoc-Thr(GalNAc(Ac)3-.alpha.-D)-OH
Descrizione:
Fmoc-Thr(GalNAc(Ac)3-.alpha.-D)-OH è un composto chimico che presenta una combinazione di un gruppo protettivo fenilmetossicarbonile (Fmoc), treonina (Thr) e un'unità di galattosamina (GalNAc) con gruppi acetile (Ac). Questo composto è tipicamente utilizzato nella sintesi di peptidi e negli studi di glicosilazione grazie alla sua capacità di proteggere i gruppi funzionali consentendo al contempo reazioni selettive. Il gruppo Fmoc è comunemente impiegato nella sintesi di peptidi in fase solida, fornendo un gruppo protettivo stabile ma facilmente rimovibile per la funzionalità amminica dell'aminoacido. La presenza dell'unità GalNAc, che è un derivato dello zucchero, suggerisce potenziali applicazioni nella sintesi di glicopeptidi, in particolare nello sviluppo di glicoproteine o terapie glicosilate. I gruppi acetile sulla GalNAc migliorano la solubilità e la stabilità, rendendo il composto adatto per varie applicazioni biochimiche. In generale, Fmoc-Thr(GalNAc(Ac)3-.alpha.-D)-OH è caratterizzato dalla sua complessità strutturale, versatilità nella chimica sintetica e rilevanza nello studio delle interazioni carboidrato-proteina.
Formula:C33H38N2O13
Ordinare per
Purezza (%)
0
100
|
0
|
50
|
90
|
95
|
100
Trovati 9 prodotti.
Fmoc-Thr(GalNAc(Ac)₃-α-D)-OH
CAS:Bachem ID: 4025798.
Formula:C33H38N2O13Purezza:> 95%Colore e forma:Whitish PowderPeso molecolare:670.67L-Threonine, N-[(9H-fluoren-9-ylmethoxy)carbonyl]-O-[3,4,6-tri-O-acetyl-2-(acetylamino)-2-deoxy-α-D-galactopyranosyl]-
CAS:Formula:C33H38N2O13Purezza:98%Colore e forma:SolidPeso molecolare:670.6604Ref: IN-DA000D89
1gPrezzo su richiesta250mgPrezzo su richiesta10mg122,00€25mg163,00€50mg185,00€100mg288,00€Fmoc-Thr[GalNAc(Ac)3-α-D]-OH
CAS:N-(((9H-Fluoren-9-yl)methoxy)carbonyl)-O-((2S,3R,4R,5R,6R)-3-acetamido-4,5-diacetoxy-6-(acetoxymethyl)tetrahydro-2H-pyran-2-yl)-L-threonineFormula:C33H38N2O13Purezza:98%Peso molecolare:670.66Fmoc-Thr[GalNAc(Ac)3-α-D]-OH
CAS:Fmoc-Thr[GalNAc(Ac)3-α-D]-OHFormula:C33H38N2O13Purezza:≥98%Peso molecolare:670.668Fmoc-THR(GalNAc(Ac)3-α-D)-OH
CAS:ZINC77292789 (Fmoc-Thr[GalNAc(Ac)3-α-D]-OH) is a reagent for the preparation of a synthetic MUC1 Glycopeptide Bearing βGalNAc-Thr as a Tn antigen isomer whichFormula:C33H38N2O13Purezza:98.13%Colore e forma:White SolidPeso molecolare:670.66Fmoc-Thr[GalNAc(Ac)3-α-D]-OH
CAS:Formula:C33H38N2O13Purezza:>95.0%(HPLC)(qNMR)Colore e forma:White to Light yellow powder to crystalPeso molecolare:670.672-Acetamido-3,4,6-tri-O-acetyl-2-deoxy-α-D-galactopyranosyl-Fmoc threonine
CAS:2-Acetamido-3,4,6-tri-O-acetyl-2-deoxy-α-D-galactopyranosyl-Fmoc threonine is a glycoside that has been synthesized on a solid phase. The synthesis of this compound has been accomplished by the stepwise addition of Fmoc protected amino acids to the growing peptide chain. Cleavage from the resin and deprotection of the side chains are followed by purification by RP HPLC.Formula:C33H38N2O13Purezza:Min. 95 Area-%Peso molecolare:670.67 g/mol








