CAS 126054-77-1
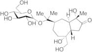
:(3S,3aR,5R,8R,8aS)-3,8-diidrossi-8-(idrossimetil)-3-metil-5-[1-metil-1-[(2S,3R,4S,5S,6R)-3,4,5-triidrossi-6-(idrossimetil)tetraidropiran-2-il]ossi-etil]-3a,4,5,6,7,8a-esaidro-1H-azulen-2-one
Descrizione:
La sostanza chimica con il nome "(3S,3aR,5R,8R,8aS)-3,8-diidrossi-8-(idrossimetil)-3-metil-5-[1-metil-1-[(2S,3R,4S,5S,6R)-3,4,5-triidrossi-6-(idrossimetil)tetraidropiran-2-il]ossi-etil]-3a,4,5,6,7,8a-esaidro-1H-azulen-2-one" e il numero CAS "126054-77-1" è un composto organico complesso caratterizzato da più gruppi idrossilici, il che suggerisce che potrebbe presentare una solubilità significativa in solventi polari e potenziale per legami idrogeno. La presenza di una struttura di esahidro-azulene indica che potrebbe possedere proprietà aromatiche uniche, contribuendo alla sua reattività e stabilità. La stereochimica, denotata dalle configurazioni specifiche in vari centri chirali, implica che il composto potrebbe esibire attività biologiche o interazioni specifiche, rendendolo di interesse in applicazioni farmaceutiche o biochimiche. Inoltre, la presenza di un moiety di tetraidropirano suggerisce potenziale per ulteriori funzionalizzazioni o derivatizzazioni, aumentando la sua utilità nella chimica sintetica. In generale, la struttura intricata e i gruppi funzionali di questo composto lo posizionano come una sostanza potenzialmente preziosa in vari contesti chimici e biologici.
Formula:C21H36O10
InChI:InChI=1/C21H36O10/c1-19(2,31-18-17(27)16(26)15(25)13(8-22)30-18)10-4-5-21(29,9-23)12-7-14(24)20(3,28)11(12)6-10/h10-13,15-18,22-23,25-29H,4-9H2,1-3H3/t10-,11-,12+,13-,15-,16+,17-,18+,20+,21+/m1/s1
Sinonimi:- Atractyloside A
Ordinare per
Purezza (%)
0
100
|
0
|
50
|
90
|
95
|
100
Trovati 8 prodotti.
2(1H)-Azulenone,7-[1-(b-D-glucopyranosyloxy)-1-methylethyl]octahydro-1,4-dihydroxy-4-(hydroxymethyl)-1-methyl-, (1S,3aS,4R,7R,8aR)-
CAS:Formula:C21H36O10Purezza:98%Colore e forma:SolidPeso molecolare:448.5045Atractyloside A
CAS:Atractyloside is a glycoside of a kaurene type diterpene that is found in some plants including Atractylis gummifera (ATRACTYLIS); COFFEE; XANTHIUM, andFormula:C21H36O10Purezza:99.22% - 99.65%Colore e forma:SolidPeso molecolare:448.5Atractyloside A
CAS:Prodotto controllatoStability Hygroscopic
Applications Atractyloside A is known to inhibit mitochondrial ADP transportation resulting in necrosis. Antimicrobial.
References Stewart, M. et al.: Ther. Drug. Monit., 22, 641 (2000); Federico, B. et al.: J. Nat. Prod., 75 1070 (2012);Formula:C21H36O10Colore e forma:NeatPeso molecolare:448.5Atractyloside A
CAS:(1S,3aS,4R,7R,8aR)-1,4-Dihydroxy-4-(hydroxymethyl)-1-methyl-7-(2-(((2S,3R,4S,5S,6R)-3,4,5-trihydroxy-6-(hydroxymethyl)tetrahydro-2H-pyran-2-yl)oxy)propan-2-yl)octahydroazulen-2(1H)-oneFormula:C21H36O10Purezza:98%Peso molecolare:448.5atractyloside A
CAS:Atractyloside A is a natural toxin that acts as a potent mitochondrial ATP synthase inhibitor. It is derived primarily from plants in the Asteraceae family, notably Atractylis gummifera. The compound functions by binding to the adenine nucleotide translocator (ANT) located on the inner mitochondrial membrane, effectively blocking the exchange of ADP and ATP across this vital barrier. This inhibition disrupts ATP synthesis, inducing cellular energy deficits and potentially leading to apoptosis.Purezza:Min. 95%







