CAS 1715-40-8
:Bromocicleno
Descrizione:
Bromocicleno, con il numero CAS 1715-40-8, è un composto chimico che appartiene alla classe dei composti organici ciclici. È caratterizzato dalla presenza di un atomo di bromo attaccato a una struttura ciclica, che è un eterociclo saturo contenente azoto. Il composto tipicamente presenta proprietà come essere un liquido o solido incolore o giallo pallido, a seconda della sua forma specifica e purezza. Bromocicleno è noto per la sua reattività a causa della presenza dell'atomo di bromo, che può partecipare a varie reazioni chimiche, comprese sostituzioni nucleofile e aggiunte elettrofile. La sua struttura unica gli consente di agire come un ligando nella chimica di coordinazione, formando potenzialmente complessi con ioni metallici. Inoltre, Bromocicleno può avere applicazioni nella sintesi organica e nella chimica medicinale, sebbene gli usi specifici possano variare in base alla sua reattività e funzionalizzazione. I dati di sicurezza devono essere consultati, poiché i composti alogenati possono comportare rischi per la salute e l'ambiente.
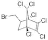
Formula:C8H5BrCl6
InChI:InChI=1/C8H5BrCl6/c9-2-3-1-6(12)4(10)5(11)7(3,13)8(6,14)15/h3H,1-2H2
InChI key:InChIKey=DAASOABUJRMZAD-UHFFFAOYSA-N
SMILES:ClC12C(Cl)(Cl)C(Cl)(CC1CBr)C(Cl)=C2Cl
Sinonimi:- 2-Norbornene, 5-(bromomethyl)-1,2,3,4,7,7-hexachloro-
- 5-(Bromomethyl)-1,2,3,4,7,7-Hexachlorobicyclo[2.2.1]Hept-2-Ene
- Alugan
- Bicyclo[2.2.1]hept-2-ene, 5-(bromomethyl)-1,2,3,4,7,7-hexachloro-
- Bromociclen
- Bromodan
- Ent 23393
- Sd 2774
- BROMOCYCLEN PESTANAL
- Bromocylen Solution, 100ppm
- BROMOCYCLEN
- bromocyclen (iso)
- 5-BROMOMETHYL-1,2,3,4,7,7-HEXACHLOROBICYCLO[2.2.1]-HEPT-2-EN
- bromocyclene
- (+)-BROMOCYCLEN
- Bromociclenum
- (-)-BROMOCYCLEN
- 6-(bromomethyl)-1,2,3,4,7,7-hexachlorobicyclo[2.2.1]hept-2-ene
- (-)-5-ENDO-BROMOMETHYL-1,2,3,4,7,7-HEXACHLORO-2-NORBORNENE
- BroMocylen
- 5-(bromomethyl)-1,2,3,4,7,7-hexachloro-2-norbornene
- BROMOCYCLEN PESTANAL 250 MG
- 6-(bromomethyl)-1,2,3,4,7,7-hexachloro-bicyclo[2.2.1]hept-2-ene
- Bromociclene
- Vedi altri sinonimi
Ordinare per
Il filtro di purezza non è visibile perché i prodotti attuali non hanno dati di purezza associati per il filtraggio.
Trovati 3 prodotti.
Bromocyclen
CAS:Bromocyclen, an insecticide, has been detected in the muscle tissues of rainbow trout from Danish fisheries and in three types of fish (Gudgeon, Crucian carp, and Pike) from the Stör River in northern Germany. Concentrations found range from 0.09 to 1.23 mg/kg of fat.Formula:C8H5BrCl6Colore e forma:SolidPeso molecolare:393.75Bromocyclen 10 µg/mL in Isooctane
CAS:Formula:C8H5BrCl6Colore e forma:Single SolutionPeso molecolare:393.75

