CAS 23202-81-5
:Metile 5-desossi-2,3-O-(1-metiletilidene)-β-D-ribofuranoside
Descrizione:
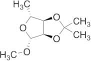
Metile 5-desossi-2,3-O-(1-metiletilidene)-β-D-ribofuranoside, con il numero CAS 23202-81-5, è un derivato glicosidico del ribofuranosio. Questo composto presenta un gruppo metile legato al carbonio anomerico, che è caratteristico dei glicosidi metilici, migliorando la sua solubilità nei solventi organici. La presenza del gruppo 1-metiletilidene indica che ha una struttura di acetal protettivo, che può influenzare la sua reattività e stabilità. Tipicamente, tali composti sono utilizzati in chimica organica sintetica come intermedi o mattoni per molecole più complesse, inclusi nucleosidi e altri derivati dei carboidrati. La configurazione β suggerisce che il gruppo idrossile al carbonio anomerico è orientato in un modo specifico, il che può influenzare l'attività biologica e le interazioni del composto. Inoltre, la natura 5-desossi di questo ribofuranoside indica l'assenza di un gruppo idrossile nella posizione 5, il che può ulteriormente modificare le sue proprietà chimiche e le potenziali applicazioni in chimica medicinale o biochimica.
Formula:C9H16O4
InChI:InChI=1S/C9H16O4/c1-5-6-7(8(10-4)11-5)13-9(2,3)12-6/h5-8H,1-4H3/t5-,6-,7-,8-/m1/s1
InChI key:InChIKey=RNHBZJGMAYMLBE-WCTZXXKLSA-N
SMILES:O(C)[C@H]1[C@]2([C@](OC(C)(C)O2)([C@@H](C)O1)[H])[H]
Sinonimi:- 1-O-Methyl-2,3-O-isopropylidene-5-Deoxy-β-D-Ribose
- Furo[3,4-d]-1,3-dioxole, β-<span class="text-smallcaps">D</span>-ribofuranoside deriv.
- Methyl 5-deoxy-2,3-O-(1-methylethylidene)-β-<span class="text-smallcaps">D</span>-ribofuranoside
- Methyl 5-deoxy-2,3-O-isopropylidene-beta-D-ribofuranoside
- Methyl 5-deoxy-2,3-O-isopropylidene-β-<span class="text-smallcaps">D</span>-ribofuranoside
- Ribofuranoside, methyl 5-deoxy-2,3-O-isopropylidene-, β-<span class="text-smallcaps">D</span>-
- methyl 5-deoxy-2,3-O-(1-methylethylidene)-beta-D-ribofuranoside
- β-<span class="text-smallcaps">D</span>-Ribofuranoside, methyl 5-deoxy-2,3-O-(1-methylethylidene)-
- Ribofuranoside, methyl 5-deoxy-2,3-O-isopropylidene-, β-D-
- Methyl 5-deoxy-2,3-O-isopropylidene-β-D-ribofuranoside
- β-D-Ribofuranoside, methyl 5-deoxy-2,3-O-(1-methylethylidene)-
- Furo[3,4-d]-1,3-dioxole, β-D-ribofuranoside deriv.
- Methyl 5-deoxy-2,3-O-(1-methylethylidene)-β-D-ribofuranoside
- Vedi altri sinonimi
Ordinare per
Purezza (%)
0
100
|
0
|
50
|
90
|
95
|
100
Trovati 9 prodotti.
Methyl 5-deoxy-2,3-O-isopropylidene-β-D-ribofuranoside
CAS:Methyl 5-deoxy-2,3-O-isopropylidene-β-D-ribofuranosideFormula:C9H16O4Purezza:98%Peso molecolare:188.22β-D-Ribofuranoside, methyl 5-deoxy-2,3-O-(1-methylethylidene)-
CAS:Formula:C9H16O4Purezza:98%Colore e forma:LiquidPeso molecolare:188.2209Methyl 5-deoxy-2,3-O-isopropylidene-β-D-ribofuranoside
CAS:Methyl 5-deoxy-2,3-O-isopropylidene-beta-D-ribofuranosideFormula:C9H16O4Purezza:98%Peso molecolare:188.22Ref: 4Z-C-3548
5mgPrezzo su richiesta10mgPrezzo su richiesta25mgPrezzo su richiesta50mgPrezzo su richiesta100mgPrezzo su richiestaRef: ST-EA-CP-C52023
10mgPrezzo su richiesta25mgPrezzo su richiesta50mgPrezzo su richiesta100mgPrezzo su richiestaMethyl 5-deoxy-2,3-O-isopropylidene-β-D-ribofuranoside
CAS:Formula:C9H16O4Purezza:98%Peso molecolare:188.223Methyl-5-deoxy-2,3-O-isopropylidene-β-D-ribofuranoside
CAS:Prodotto controllatoApplications Methyl-5-deoxy-2,3-O-isopropylidene-β-D-ribofuranoside is an impurity of Capecitabine(C175650) which is an antineoplastic agent. Capecitabine is a prodrug of Doxifluridine (D556750).
References Muss, H., et al.: New Eng. J. Med., 360, 2055 (2009), Takahashi, S., et al.: Drug Metab. Disposition, 37, 956 (2009), Saltz, L., et al.: J. Clin. Oncol., 27, 653 (2009), Sanderson, H., et al.: Toxicol. Lett., 187, 84 (2009),Formula:C9H16O4Colore e forma:NeatPeso molecolare:188.22Methyl 5-deoxy-2,3-O-isopropylidene-b-D-ribofuranoside
CAS:Intermediate in the synthesis of capecitabineFormula:C9H16O4Purezza:Min. 95%Peso molecolare:188.22 g/mol








