CAS 3615-37-0
:D-fucosio
Descrizione:
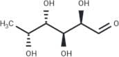
D-fucosio è un monosaccaride che si verifica naturalmente, specificamente un aldoesoso, che gioca un ruolo significativo in vari processi biologici. È un epimero della D-mannosio ed è caratterizzato dalla sua struttura a sei carboni, che include un gruppo idrossimetil nella posizione C-6. D-fucosio si trova tipicamente nella forma L in natura, ma la forma D è importante in alcune glicoproteine e glicolipidi. È solubile in acqua e presenta un sapore dolce. D-fucosio è coinvolto nel riconoscimento e nella segnalazione cellulare, in particolare nella risposta immunitaria e nell'adesione cellulare. La sua presenza è cruciale nella sintesi di glicani fucosilati, che sono importanti per varie funzioni fisiologiche. La sostanza è anche studiata per le sue potenziali applicazioni terapeutiche, incluso il suo ruolo nella biologia del cancro e come prebiotico. D-fucosio può essere ottenuto da varie fonti naturali, comprese alghe e alcuni batteri, ed è spesso utilizzato nella ricerca e nelle applicazioni biotecnologiche.
Formula:C6H12O5
InChI:InChI=1/C6H12O5/c1-2-3(7)4(8)5(9)6(10)11-2/h2-10H,1H3/t2-,3+,4+,5-,6-/m1/s1
InChI key:InChIKey=PNNNRSAQSRJVSB-DPYQTVNSSA-N
SMILES:[C@H]([C@H]([C@@H](C)O)O)([C@H](C=O)O)O
Sinonimi:- (+)-Fucose
- 6-Deoxy-<span class="text-smallcaps">D</span>-galactose
- 6-Deoxygalactose
- 6-deoxy-D-galactopyranose
- 6-deoxy-D-galactose
- 6-deoxy-beta-D-galactopyranose
- <span class="text-smallcaps">D</span>-(+)-Fucose
- <span class="text-smallcaps">D</span>-6-Deoxygalactose
- <span class="text-smallcaps">D</span>-Galactose, 6-deoxy-
- D-Galactose, 6-deoxy-
- Fucose, <span class="text-smallcaps">D</span>-
- Rhodeose
- D-Fucose
- D-(+)-Fucose
- Fucose, D-
- D-6-Deoxygalactose
- ALPHA-D-FUC
- D-(+)-FUCOSE:6-DEOXY-D-GALACTOSE
- D-(+)-Fucose,99%
- 6-Deoxy-D-galactose, Rhodeose
- 6-DESOXY-D-GALACTOSE
- 6-deoxy-d-galactos
- D-FUCOSE, 96%, MIXTURE OF ANOMERS
- D(+)FUCOSE extrapure
- Vedi altri sinonimi
Ordinare per
Purezza (%)
0
100
|
0
|
50
|
90
|
95
|
100
Trovati 10 prodotti.
D-(+)-Fucose
CAS:Formula:C6H12O5Purezza:>98.0%(HPLC)Colore e forma:White to Almost white powder to crystalPeso molecolare:164.16(2R,3S,4S,5R)-2,3,4,5-Tetrahydroxyhexanal
CAS:Formula:C6H12O5Purezza:98%Colore e forma:SolidPeso molecolare:164.1565α-D-Fucose
CAS:α-D-FucoseFormula:C6H12O5Purezza:98%Colore e forma:Solid-PowderPeso molecolare:164.15648D-(+)-Fucose
CAS:1. D-(+)-Fucose is a hexose deoxy sugar found on N-linked glycans that appears on the cell surface of mammalian and plant cells.Formula:C6H12O5Purezza:99.26% - 99.87%Colore e forma:White PowderPeso molecolare:164.16D-(+)-Fucose
CAS:Formula:C6H12O5Purezza:≥ 98.0%Colore e forma:White to off-white crystalline powderPeso molecolare:164.16D-Fucose
CAS:Prodotto controllatoApplications D-Fucose is a hexose deoxy sugar found on N-linked glycans that appears on the cell surface of mammalian and plant cells. D-Fucose is also the building block of fucoidan polysaccharide, an sulfated polysaccharide found in various species of brown algae.
References Becker, D.J., et al.: Glycobiol., 13, 41 (2003); Denkova, R., et al.: Food. Environ. Safe., 11, 5 (2012); Janathan, M.C., et al.: Carb. Poly., 93, 232 (2013);Formula:C6H12O5Colore e forma:NeatPeso molecolare:164.16D-Fucose
CAS:D-Fucose is a sugar that can be synthesized in vitro. It is a component of the xanthurenic acid pathway, which is involved in the synthesis of l-arabinose. D-Fucose has been found to have anti-leukemic effects and to inhibit enzyme activities in vitro. It has also been shown to bind to the toll-like receptor, α1-acid glycoprotein, and surface membranes. A hydroxyl group at position 1 on the fucose molecule may be important for this binding. D-Fucose's biological properties are related to its structural analysis and the cell receptors it binds with. D-Fucose has an optimum pH level of 7, so it cannot survive outside of a neutral environment. It does not need any biological cofactors or enzymes for its synthesis, so it is classified as a nonessential nutrient. D-Fucose is also used in blood groups because it contains an antigenFormula:C6H12O5Purezza:Min. 97 Area-%Colore e forma:White Off-White PowderPeso molecolare:164.16 g/molD-(+)-Fucose extrapure
CAS:Formula:C6H12O5Colore e forma:White, Crystalline powder, Clear, ColourlessPeso molecolare:164.16








