CAS 429-41-4
:Fluoruro di tetrabutilammonio
Descrizione:
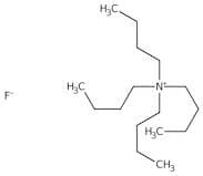
Fluoruro di tetrabutilammonio (TBAF) è un composto organico con la formula (C4H9)4NF. È un sale di ammonio quaternario, caratterizzato dai suoi quattro gruppi butilici attaccati a un atomo di azoto, che è anche legato a un ion fluoruro. Il TBAF si incontra tipicamente come un solido cristallino bianco o una soluzione incolore in solventi polari. È noto per la sua forte basicità ed è spesso utilizzato come fonte di fluoruro nella sintesi organica, in particolare in reazioni che coinvolgono la deprotezione degli eteri sililici. Il TBAF è solubile in solventi aprotici polari come il dimetilsolfossido (DMSO) e l'acetonitrile, ma è meno solubile in solventi non polari. Il composto è igroscopico, il che significa che può assorbire umidità dall'aria, il che può influenzare la sua stabilità e reattività. Sono necessarie precauzioni di sicurezza quando si maneggia il TBAF, poiché può essere corrosivo e tossico al contatto con la pelle o se inalato. In generale, il TBAF è un reagente prezioso nella chimica organica sintetica, in particolare nella preparazione di composti fluorurati.
Formula:C16H36N·F
InChI:InChI=1S/C16H36N.FH/c1-5-9-13-17(14-10-6-2,15-11-7-3)16-12-8-4;/h5-16H2,1-4H3;1H/q+1;/p-1
InChI key:InChIKey=FPGGTKZVZWFYPV-UHFFFAOYSA-M
SMILES:[N+](CCCC)(CCCC)(CCCC)CCCC.[F-]
Sinonimi:- 1-Butanaminium, N,N,N-tributyl-, fluoride (1:1)
- Ammonium, tetrabutyl-, fluoride
- Fluorure de tetrabutylammonium
- Fluoruro De Tetrabutilamonio
- Tbaf
- Tetra-n-butylammonium fluoride
- Tetrabutylammonium Fluoride
- Tetrabutylammoniumfluorid
- Tetranbutylammoniumfluoride
- lithiumtrisamylborohydride
- ls-selectride
- tetrabutyl ammonium fluoride
- tetra butyl ammonium fluoride
- N,N,N-tributylbutan-1-aminium fluoride trihydrate
- ls-selectride(r)
- lithium trisiamylborohydride
- lithium triisoamylborohydride
- Vedi altri sinonimi
Ordinare per
Purezza (%)
0
100
|
0
|
50
|
90
|
95
|
100
Trovati 16 prodotti.
Tetrabutylammonium Fluoride (ca. 1mol/L in Tetrahydrofuran) [for Catalyst of silylation and cleavage of silyl ether]
CAS:Formula:C16H36FNColore e forma:Colorless to Yellow clear liquidPeso molecolare:261.47Tetrabutylammonium Fluoride Hydrate [for Catalyst of silylation and cleavage of silyl ether]
CAS:Formula:C16H36FN·xH2OPurezza:>98.0%(T)Colore e forma:White to Almost white powder to crystalPeso molecolare:261.47 (as Anhydrous)Tetrabutylammonium Fluoride (ca. 1mol/L in Tetrahydrofuran)
CAS:Formula:C16H36FNColore e forma:Colorless to Light yellow clear liquidPeso molecolare:261.47Tetra-n-butylammonium fluoride, 1M soln. in THF
CAS:This Thermo Scientific Chemicals brand product was originally part of the Alfa Aesar product portfolio. Some documentation and label information may refer to the legacy brand. The original Alfa Aesar product / item code or SKU reference has not changed as a part of the brand transition to Thermo SciFormula:C16H36FNColore e forma:Clear colorless to brown, LiquidPeso molecolare:261.47Tetra-n-butylammonium fluoride, 75% w/w aq. soln.
CAS:Tetrabutylammonium Fluoride is a reactant used for the synthesis of multiple compounds, including conjugated dienoic acid esters, oligoribonucleotides with phosphonate-modified linkages, and triple monoamine reuptake inhibitors, among others. It has proven useful in studying cancer, diabetes, and neFormula:C16H36FNPurezza:75%Colore e forma:Clear colorless to yellow, Viscous liquidPeso molecolare:261.47Tetrakis(but-1-yl)ammonium fluoride 1.0M solution in THF
CAS:Tetrakis(but-1-yl)ammonium fluoride 1.0M solution in THFFormula:·F·N(C4H9)4Purezza:≥95%Colore e forma:Pale yellow LiquidPeso molecolare:261.46214Tetra(but-1-yl)ammonium fluoride, 72% aqueous solution
CAS:Tetra(but-1-yl)ammonium fluoride, 72% aqueous solutionFormula:·F·N(C4H9)4Purezza:≥95%Colore e forma:LiquidTetrabutylammonium fluoride, 1M in THF
CAS:Formula:CH3(CH2)3NFColore e forma:Colourless to light yellow or light brown liquidPeso molecolare:261.46Tetrabutylammonium Fluoride (70-75% in Water)
CAS:Formula:C16H36FNColore e forma:Colorless to Light orange to Yellow clear liquidPeso molecolare:261.47Tetra(but-1-yl)ammonium fluoride, 75% aqueous solution
CAS:Tetra(but-1-yl)ammonium fluoride, 75% aqueous solutionFormula:·F·N(C4H9)4Purezza:≥95%Colore e forma:LiquidPeso molecolare:261.46214Tetrabutylammonium Fluoride (1.0 M in THF)
CAS:Prodotto controllatoFormula:C16H36FNColore e forma:Single SolutionPeso molecolare:261.46Tetrabutylammonium fluoride - 1.0M in THF
CAS:Tetrabutylammonium fluoride-1.0M in THF is a solution of tetrabutylammonium fluoride in tetrahydrofuran. The compound is soluble in water and THF with solubility increasing with temperature. Tetrabutylammonium fluoride has been shown to be an effective inhibitor of the enzyme 4-hydroxycinnamic acid transaminase, which is involved in the metabolism of catecholamines. This property may be due to the ability of tetrabutylammonium fluoride to bind to the active site metal ion, copper, that participates in this reaction. Tetrabutylammonium fluoride can also inhibit other enzymes by binding to metal ions at their active sites, such as pyridoxal phosphate and hydroxyl groups.
Formula:C16H36FNPurezza:Min. 95%Colore e forma:Clear LiquidPeso molecolare:261.46 g/molTetrabutylammonium fluoride, 1M in THF
CAS:Tetrabutylammonium fluoride, 1M in THF
Formula:(C4H9)4NFColore e forma:colorless to pale-yellow liq.Peso molecolare:261.46Tetrabutylammonium fluoride - 75 wt. % in H2O
CAS:Tetrabutylammonium fluoride is a strong base which reacts with the hydroxyl group of a carboxylic acid to form a salt and hydrogen fluoride. The nucleophilic nature of tetrabutylammonium and its high polarity make it an excellent catalyst for this reaction. Tetrabutylammonium fluoride has been shown to react with sodium salts in nonpolar solvents, such as benzene or toluene, to form quinoline derivatives. It also has been used in the synthesis of x-ray crystal structures of organic molecules by reacting with carbonyl groups, such as acetaldehyde. Tetrabutylammonium fluoride can interact chemically with other compounds, such as hydrogen bond formation with amines or reactions with amides.Formula:C16H36FNPurezza:Min. 95%Colore e forma:Clear LiquidPeso molecolare:261.46 g/molTetrabutylammonium Fluoride (TBAF) 1M Soln. in THF
CAS:Formula:C16H36FNColore e forma:Clear, Pale yellow to brown, LiquidPeso molecolare:261.47









