
CAS 475502-13-7
:Ordinare per
Purezza (%)
0
100
|
0
|
50
|
90
|
95
|
100
Trovati 4 prodotti.
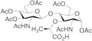
2-Acetamido-4-O-(2-acetamido-2-deoxy-β-D-glucopyranosyl)-1,6-di-O-N-acetyl-α-D-muramic Acid
CAS:Prodotto controllatoApplications 2-Acetamido-4-O-(2-acetamido-2-deoxy-β-D-glucopyranosyl)-1,6-di-O-N-acetyl-α-D-muramic Acid (cas# 475502-13-7) is a compound useful in organic synthesis.
Formula:C29H42N2O18Colore e forma:NeatPeso molecolare:706.652-O-Acetamido-1,6-di-O-acetyl-2-deoxy-4-O-(2-acetamido-3,4,6-tri-O-acetyl-2-deoxy-D-glucopyranosyl)muramic acid
CAS:2-O-Acetamido-1,6-di-O-acetyl-2-deoxy-4-O-(2-acetamido-3,4,6-tri-O-acetyl)muramic acid is a synthetic oligosaccharide. This compound is used in research for the synthesis of glycosylides and glycosidase inhibitors. It can be modified to include fluorine atoms and click chemistry modifications. 2OAAmDDA is soluble in DMSO and acetone. It has a CAS number of 4891465.Formula:C29H42N2O18Purezza:Min. 90 Area-%Colore e forma:PowderPeso molecolare:706.65 g/molN-Acetyl-4-O-[3,4,6-tri-O-acetyl-2-(acetylamino)-2-deoxy-β-D-glucopyranosyl]-α-muramic acid-1,6-diacetate
CAS:2-Acetamido-4-O-(2-acetamido-2-deoxy-3,4,6-tri-O-acetyl-b-D-glucopyranosyl)-1,6-di-O-[N-(acetylamino)glycoloyl]-D--muramic acid is a synthetic sugar that is used in biotechnology and pharmaceuticals. It is synthesized by the glycosylation of 2,3,4,6 - triacetyl b - D - glucopyranoside with 1,6 di - O - N - acetyl - D - muramic acid. 2 Acetamido 4 O (2 acetamido 2 deoxy 3 4 6 tri O acetyl b D glucopyranoside) 1 6 di O N acetyl D muramic acid has been shown to inhibit bacterial growth through methylation and modification of bacterial enzymes.Formula:C29H42N2O18Purezza:Min. 95%Peso molecolare:706.66 g/mol


