CAS 523-44-4
:Arancia io
Descrizione:
Arancia io, noto anche come Arancione Acido 7, è un colorante azoico sintetico comunemente utilizzato in varie applicazioni, tra cui tessuti, alimenti e cosmetici. È caratterizzato dal suo vivace colore arancione, che deriva dalla presenza di gruppi funzionali azo (-N=N-) nella sua struttura molecolare. Questo composto è solubile in acqua, consentendo di essere facilmente incorporato in soluzioni acquose per scopi di tintura. Arancia io mostra una buona resistenza alla luce e stabilità in condizioni acide, rendendolo adatto per l'uso in ambienti in cui il pH può variare. Tuttavia, come molti coloranti azoici, ha sollevato preoccupazioni ambientali e per la salute a causa della potenziale tossicità e della formazione di ammine aromatiche durante la degradazione. Gli organismi di regolamentazione monitorano spesso il suo utilizzo, in particolare nei prodotti alimentari, per garantire che vengano rispettati gli standard di sicurezza. In generale, sebbene Arancia io sia apprezzato per le sue proprietà coloranti, la sua applicazione è soggetta a scrutinio riguardo all'impatto ambientale e alla salute umana.
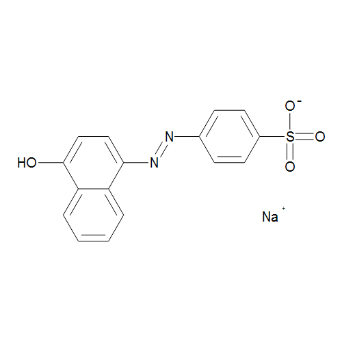
Formula:C16H12N2O4S·Na
InChI:InChI=1S/C16H12N2O4S.Na/c19-16-10-9-15(13-3-1-2-4-14(13)16)18-17-11-5-7-12(8-6-11)23(20,21)22;/h1-10,19H,(H,20,21,22);
InChI key:InChIKey=CEQOUNIKCGZOPR-UHFFFAOYSA-N
SMILES:N(=NC1=CC=C(S(=O)(=O)O)C=C1)C=2C3=C(C(O)=CC2)C=CC=C3.[Na]
Sinonimi:- 1333 Orange
- 4-p-Sulfophenylazo-1-naphthol monosodium salt
- A.F. Orange No. 1
- Acid Leather Orange I
- Acid Orange 20
- Acid Orange I
- Aizen Orange I
- Benzenesulfonic acid, 4-[(4-hydroxy-1-naphthalenyl)azo]-, monosodium salt
- Benzenesulfonic acid, 4-[2-(4-hydroxy-1-naphthalenyl)diazenyl]-, sodium salt (1:1)
- Certiqual Orange I
- Dye orange No. 1
- Eniacid Orange I
- Ext D & C Orange 3
- Ext D and C Orange No. 3
- External D and C Orange Number 3
- FD and C Orange 1
- FD and C Orange No. 1
- Hispacid Orange 1
- Japan Orange 1
- Japan Orange 402
- Japan Orange No. 402
- Java Orange I
- Naphthalene Orange I
- Naphthol Orange
- Neklacid Orange 1
- Orange 1 sodium salt
- Orange 402
- Orange I
- Orange I Extra Conc. A Export
- Orange IM
- Orange No. 402
- Tertracid Orange I
- Tropaeolin 1
- Tropaeolin OOO 1
- Yellow 404
- alpha-Naphthol orange
- sodium 4-[(2E)-2-(4-oxonaphthalen-1(4H)-ylidene)hydrazinyl]benzenesulfonate
- sodium 4-[(E)-(4-hydroxynaphthalen-1-yl)diazenyl]benzenesulfonate
- α-Naphthol Orange
- C.I. Acid Orange 20
- C.I. Acid Orange 20, monosodium salt (8CI)
- C.I. 14600
- C.I. Acid Orange 20, monosodium salt
- C.I. 14600
- C.I. 150
- C.I. Acid Orange 20 monosodium salt
- C.I. Acid Orange 20, monosodium salt
- Vedi altri sinonimi
Ordinare per
Purezza (%)
0
100
|
0
|
50
|
90
|
95
|
100
Trovati 10 prodotti.
Orange I
CAS:Sodium 4-((4-hydroxynaphthalen-1-yl)diazenyl)benzenesulfonateFormula:C16H11N2NaO4SPurezza:BSPeso molecolare:350.32α-Naphthol Orange
CAS:Formula:C16H11N2NaO4SColore e forma:Orange to Brown to Dark red powder to crystalPeso molecolare:350.32Sodium 4-((4-hydroxynaphthalen-1-yl)diazenyl)benzenesulfonate
CAS:Formula:C16H11N2NaO4SColore e forma:SolidPeso molecolare:350.3243Orange I
CAS:Orange I (α-Naphthol Orange) is an aromatic sulfonated p-azo dye that interferes with microbial degradation.Formula:C16H11N2NaO4SPurezza:96.48%Colore e forma:Red SolidPeso molecolare:350.32Tropaeolin 000 No. 1
CAS:Formula:C16H11N2NaO4SColore e forma:Orange to brown to dark red powderPeso molecolare:350.32α-Naphthol Orange (Technical Grade)
CAS:Prodotto controllatoFormula:C16H11N2O4S·NaColore e forma:NeatPeso molecolare:350.32Sodium 4-((4-hydroxynaphthalen-1-yl)diazenyl)benzenesulfonate
CAS:Formula:C16H11N2NaO4SPurezza:95.0%Colore e forma:SolidPeso molecolare:350.32









