CAS 5256-79-1
:Octafenilsilsesquioxano
Descrizione:
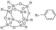
Octafenilsilsesquioxano, con il numero CAS 5256-79-1, è un composto di silsesquiossano caratterizzato dalla sua unica struttura tridimensionale a forma di gabbia composta da atomi di silicio e ossigeno, con gruppi fenilici attaccati agli atomi di silicio. Questo composto presenta una notevole stabilità termica e resistenza meccanica, rendendolo adatto per varie applicazioni nella scienza dei materiali e nella nanotecnologia. La sua natura idrofobica e la bassa energia superficiale contribuiscono alla sua utilità nei rivestimenti e come riempitivo nelle matrici polimeriche. Inoltre, Octafenilsilsesquioxano dimostra eccellenti proprietà di isolamento elettrico, che possono essere vantaggiose in applicazioni elettroniche. La capacità del composto di formare film stabili e la sua compatibilità con altri materiali aumentano il suo potenziale in materiali compositi avanzati e dispositivi nano-strutturati. Inoltre, le sue uniche proprietà ottiche possono essere sfruttate in applicazioni fotoniche. In generale, Octafenilsilsesquioxano è un composto versatile con implicazioni significative in vari campi, tra cui elettronica, rivestimenti e nanotecnologia.
Formula:C48H40O12Si8
InChI:InChI=1S/C48H40O12Si8/c1-9-25-41(26-10-1)61-49-62(42-27-11-2-12-28-42)52-65(45-33-17-5-18-34-45)54-63(50-61,43-29-13-3-14-30-43)56-67(47-37-21-7-22-38-47)57-64(51-61,44-31-15-4-16-32-44)55-66(53-62,46-35-19-6-20-36-46)59-68(58-65,60-67)48-39-23-8-24-40-48/h1-40H
InChI key:InChIKey=KBXJHRABGYYAFC-UHFFFAOYSA-N
SMILES:[Si]12(O[Si]3(O[Si]4(O[Si](O1)(O[Si]5(O[Si](O2)(O[Si](O3)(O[Si](O4)(O5)C6=CC=CC=C6)C7=CC=CC=C7)C8=CC=CC=C8)C9=CC=CC=C9)C%10=CC=CC=C%10)C%11=CC=CC=C%11)C%12=CC=CC=C%12)C%13=CC=CC=C%13
Sinonimi:- 1,3,5,7,9,11,13,15-Octaphenylpentacyclo[9.5.1.1<sup>3,9</sup>.1<sup>5,15</sup>.1<sup>7,13</sup>]octasiloxane
- 1,3,5,7,9,11,13,15-Octaphenylpentacyclo[9.5.1.1~3,9~.1~5,15~.1~7,13~]Octasiloxane
- Carbon Monoxide
- Cyclopenta-1,3-Diene
- Diiodorhodium
- Molecular Silicas MS 0840
- Ms 0840
- OctaPhenyl POSS
- Octakis(phenyl)silsesquioxane
- Octakisphenyl POSS
- Octaphenyl-t8-silsesquioxane
- Octaphenylhexacyclooctasiloxane
- Octaphenyloctasilsesquioxane
- Octasilsesquioxane, octaphenyl-
- PSS-Octaphenyl substituted
- Pentacyclo[9.5.1.1<sup>3,9</sup>.1<sup>5,15</sup>.1<sup>7,13</sup>]octasiloxane, 1,3,5,7,9,11,13,15-octaphenyl-
- Pentacyclo[9.5.1.1<sup>3,9</sup>.1<sup>5,15</sup>.1<sup>7,13</sup>]octasiloxane, octaphenyl-
- Phenyl-T8
- Pentacyclo[9.5.1.13,9.15,15.17,13]octasiloxane, octaphenyl-
- 1,3,5,7,9,11,13,15-Octaphenylpentacyclo[9.5.1.13,9.15,15.17,13]octasiloxane
- Vedi altri sinonimi
Ordinare per
Purezza (%)
0
100
|
0
|
50
|
90
|
95
|
100
Trovati 4 prodotti.
Octaphenyloctasilsesquioxane
CAS:Formula:C48H40O12Si8Colore e forma:White to Almost white powder to crystalPeso molecolare:1,033.52Octaphenylsilsesquioxane
CAS:OctaphenylsilsesquioxaneFormula:C48H40O12Si8Purezza:98%Peso molecolare:1033.524Pentacyclo[9.5.1.13,9.15,15.17,13]octasiloxane, octaphenyl-
CAS:Formula:C48H40O12Si8Purezza:98%Colore e forma:SolidPeso molecolare:1033.50801,3,5,7,9,11,13,15-Octaphenyl-2,4,6,8,10,12,14,16,17,18,19,20-dodecaoxa-1,3,5,7,9,11,13,15-octasilapentacyclo[9.5.1.13,9.15,15.17,13]icosane
CAS:Purezza:98%Peso molecolare:1033.515991



