
CAS 61687-27-2
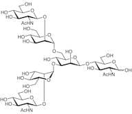
:O-2-(Acetilamino)-2-desossi-β-D-glucopiranosil-(1→2)-O-α-D-manopiranosil-(1→3)-O-[O-2-(acetilamino)-2-desossi-β-D-glucopiranosil-(1→2)-α-D-manopiranosil-(1→6)]-O-β-D-manopiranosil-(1→4)-2-(acetilamino)-2-desossi-D-glucosio
Descrizione:
La sostanza chimica nota come O-2-(Acetilamino)-2-desossi-β-D-glucopiranosil-(1→2)-O-α-D-manopiranosil-(1→3)-O-[O-2-(acetilamino)-2-desossi-β-D-glucopiranosil-(1→2)-α-D-manopiranosil-(1→6)]-O-β-D-manopiranosil-(1→4)-2-(acetilamino)-2-desossi-D-glucosio, con il numero CAS 61687-27-2, è un composto glicosilato complesso. Presenta più unità di zucchero, in particolare moieties glucopiranosilico e mannosilico, collegate tramite vari legami glicosidici. La presenza di gruppi acetilamino indica che è un derivato degli zuccheri amino, il che può influenzare la sua solubilità e attività biologica. Questo composto probabilmente mostrerà proprietà tipiche delle glicoproteine o dei glicolipidi, come la potenziale immunogenicità e il coinvolgimento nei processi di riconoscimento cellulare. La sua complessità strutturale suggerisce che potrebbe svolgere un ruolo nei sistemi biologici, possibilmente nella segnalazione cellulare o come componente delle membrane cellulari. La disposizione intricata delle unità di zucchero e dei gruppi funzionali può anche conferire caratteristiche specifiche di reattività e stabilità, rendendolo di interesse nella ricerca biochimica e nelle potenziali applicazioni terapeutiche.
Formula:C42H71N3O31
InChI:InChI=1S/C42H71N3O31/c1-11(52)43-14(4-46)23(56)34(15(55)5-47)73-40-33(66)35(74-42-37(32(65)27(60)19(9-51)71-42)76-39-22(45-13(3)54)30(63)25(58)17(7-49)69-39)28(61)20(72-40)10-67-41-36(31(64)26(59)18(8-50)70-41)75-38-21(44-12(2)53)29(62)24(57)16(6-48)68-38/h4,14-42,47-51,55-66H,5-10H2,1-3H3,(H,43,52)(H,44,53)(H,45,54)/t14-,15+,16+,17+,18+,19+,20+,21+,22+,23+,24+,25+,26+,27+,28+,29+,30+,31-,32-,33-,34+,35-,36-,37-,38-,39-,40-,41-,42+/m0/s1
InChI key:InChIKey=IFEUBGXEPJUJKT-LNHZCQTBSA-N
SMILES:O([C@@H]1[C@@H](O[C@H]2[C@H](NC(C)=O)[C@@H](O)[C@H](O)[C@@H](CO)O2)[C@@H](O)[C@H](O)[C@@H](CO)O1)[C@@H]3[C@H](O)[C@H](O[C@@H]([C@@H]([C@@H](NC(C)=O)C=O)O)[C@@H](CO)O)O[C@H](CO[C@@H]4[C@@H](O[C@H]5[C@H](NC(C)=O)[C@@H](O)[C@H](O)[C@@H](CO)O5)[C@@H](O)[C@H](O)[C@@H](CO)O4)[C@H]3O
Sinonimi:- O-2-(Acetylamino)-2-deoxy-β-D-glucopyranosyl-(1→2)-O-α-D-mannopyranosyl-(1→3)-O-[O-2-(acetylamino)-2-deoxy-β-D-glucopyranosyl-(1→2)-α-D-mannopyranosyl-(1→6)]-O-β-D-mannopyranosyl-(1→4)-2-(acetylamino)-2-deoxy-D-glucose
- D-Glucose, O-2-(acetylamino)-2-deoxy-β-D-glucopyranosyl-(1→2)-O-α-D-mannopyranosyl-(1→3)-O-[O-2-(acetylamino)-2-deoxy-β-D-glucopyranosyl-(1→2)-α-D-mannopyranosyl-(1→6)]-O-β-D-mannopyranosyl-(1→4)-2-(acetylamino)-2-deoxy-
Ordinare per
Purezza (%)
0
100
|
0
|
50
|
90
|
95
|
100
Trovati 1 prodotti.
G0 Glycan (GN1 type)
CAS:Formula:C42H71N3O31Purezza:min. 95.0 area%(HPLC)Colore e forma:SolidPeso molecolare:1,114.02
