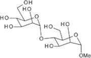
CAS 70427-91-7
:metil 4-O-A-D-manopiranosil-A-D-*mannopiranoside
Descrizione:
Il 4-O-A-D-mannopiranosil-A-D-mannopiranoside metilico, identificato dal numero CAS 70427-91-7, è un glicoside che presenta un gruppo metile attaccato a un moiety di mannopiranosile. Questo composto è caratterizzato dai suoi componenti strutturali, che includono due unità di zucchero mannoso collegate tramite un legame glicosidico. La presenza del gruppo metile nella posizione 4 di una delle unità di mannopiranosile influenza la sua solubilità e reattività, rendendolo un argomento di interesse nella chimica dei carboidrati e nella biochimica. Questo composto può presentare proprietà tipiche dei glicosidi, come essere solubile in solventi polari e potenzialmente fungere da substrato per glicosidasi. La sua importanza biologica può essere correlata al suo ruolo nei processi cellulari o come precursore nella sintesi di carboidrati più complessi. In generale, il 4-O-A-D-mannopiranosil-A-D-mannopiranoside metilico è un esempio notevole di un composto di zucchero modificato con potenziali applicazioni nella ricerca e nell'industria.
Formula:C13H24O11
Ordinare per
Purezza (%)
0
100
|
0
|
50
|
90
|
95
|
100
Trovati 2 prodotti.
Methyl 4-O-(a-D-mannopyranosyl)-a-D-mannopyranoside
CAS:Methyl 4-O-(a-D-mannopyranosyl)-a-D-mannopyranoside is a custom synthesis, complex carbohydrate. It is an Oligosaccharide, Polysaccharide, Modification and a Carbohydrate. Methyl 4-O-(a-D-mannopyranosyl)-a-D-mannopyranoside has CAS No. 70427-91-7 and it is Fluorinated and Synthetic. This compound has high purity, Methylation, Glycosylation and Click modification.Formula:C13H24O11Purezza:Min. 95%Colore e forma:SolidPeso molecolare:356.32 g/mol

