CAS 85-61-0
:Coenzima A
Descrizione:
Coenzima A (CoA) è un cofattore vitale in varie reazioni biochimiche, principalmente coinvolto nel metabolismo degli acidi grassi e dei carboidrati. È una molecola complessa composta da adenosina, acido pantotenico (vitamina B5) e un gruppo mercaptoetilamina. CoA svolge un ruolo cruciale nella formazione di acetil-CoA, che è un substrato chiave per il ciclo dell'acido citrico, facilitando la produzione di energia nelle cellule. La sostanza è caratterizzata dalla sua capacità di formare legami tioestere, essenziali per l'attivazione dei gruppi acilici nelle vie metaboliche. Coenzima A è solubile in acqua e presenta un alto grado di reattività grazie alla presenza del suo gruppo tiolico, permettendole di partecipare a varie reazioni enzimatiche. La sua struttura le consente di fungere da trasportatore per i gruppi acilici, rendendola indispensabile nella sintesi e degradazione degli acidi grassi e nel metabolismo degli aminoacidi. In generale, Coenzima A è fondamentale per il metabolismo energetico cellulare e la sintesi di biomolecole importanti.
Formula:C21H36N7O16P3S
InChI:InChI=1S/C21H36N7O16P3S/c1-21(2,16(31)19(32)24-4-3-12(29)23-5-6-48)8-41-47(38,39)44-46(36,37)40-7-11-15(43-45(33,34)35)14(30)20(42-11)28-10-27-13-17(22)25-9-26-18(13)28/h9-11,14-16,20,30-31,48H,3-8H2,1-2H3,(H,23,29)(H,24,32)(H,36,37)(H,38,39)(H2,22,25,26)(H2,33,34,35)/t11-,14-,15-,16+,20-/m1/s1
InChI key:InChIKey=RGJOEKWQDUBAIZ-IBOSZNHHSA-N
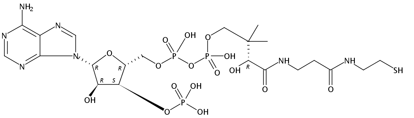
SMILES:O[C@H]1[C@H](N2C=3C(N=C2)=C(N)N=CN3)O[C@H](COP(OP(OCC([C@H](C(NCCC(NCCS)=O)=O)O)(C)C)(=O)O)(=O)O)[C@H]1OP(=O)(O)O
Sinonimi:- <span class="text-smallcaps">D</span>-Coenzyme A
- Adenosine 5'-(trihydrogen diphosphate) 3'-(dihydrogen phosphate) P'-[(R)-3-hydroxy-4-[[3-[(2-mercaptoethyl)amino]-3-oxopropyl]amino]-2,2-dimethyl-4-oxobutyl] ester
- Adenosine 5'-(trihydrogen diphosphate), 3'-(dihydrogen phosphate), P'-[3-hydroxy-4-[[3-[(2-mercaptoethyl)amino]-3-oxopropyl]amino]-2,2-dimethyl-4-oxobutyl] ester, (R)-
- Aluzime
- COA
- CoASH
- Coa-Sh
- Coalip
- Coenzym A
- Coenzyme A Free Acid From Yeast
- Coenzyme A Hydrate
- Coenzyme A, free acid, lyophilized, 75%
- Coenzyme A, free acid, lyophilized, min. 75% (enzym.)
- Coenzyme ASH
- Coenzyme a, free acid
- D-Coenzyme A
- Lucina
- Reduced CoA
- Thiol-CoA
- [(2R,3S,4R,5R)-5-(6-amino-9H-purin-9-yl)-4-hydroxy-3-(phosphonooxy)tetrahydrofuran-2-yl]methyl (3R)-3-hydroxy-2,2-dimethyl-4-oxo-4-({3-oxo-3-[(2-sulfanylethyl)amino]propyl}amino)butyl dihydrogen diphosphate (non-preferred name)
- [(2R,3S,4R,5R)-5-(6-amino-9H-purin-9-yl)-4-hydroxy-3-(phosphonooxy)tetrahydrofuran-2-yl]methyl (3S)-3-hydroxy-2,2-dimethyl-4-oxo-4-({3-oxo-3-[(2-sulfanylethyl)amino]propyl}amino)butyl dihydrogen diphosphate (non-preferred name)
- [(2R,3S,4R,5R)-5-(6-amino-9H-purin-9-yl)-4-hydroxy-3-(phosphonooxy)tetrahydrofuran-2-yl]methyl 3-hydroxy-2,2-dimethyl-4-oxo-4-({3-oxo-3-[(2-sulfanylethyl)amino]propyl}amino)butyl dihydrogen diphosphate (non-preferred name)
- coenzima A
- Vedi altri sinonimi
Ordinare per
Purezza (%)
0
100
|
0
|
50
|
90
|
95
|
100
Trovati 10 prodotti.
Coenzyme A
CAS:(((2R,3S,4R,5R)-5-(6-Amino-9H-purin-9-yl)-4-hydroxy-2-(((hydroxy((hydroxy((R)-3-hydroxy-2,2-dimethyl-3-((2-((2-sulfanylethyl)carbamoyl)ethyl)carbamoyl)propoxy)phosphoryl)oxy)phosphoryl)oxy)methyl)oxolan-3-yl)oxy)phosphonic acidFormula:C21H36N7O16P3SPurezza:85%Peso molecolare:767.53Coenzyme A Free Acid
CAS:Coenzyme A Free AcidFormula:C21H36N7O16P3SPurezza:≥95.0%Colore e forma:Pale yellow Solid-PowderPeso molecolare:767.53412Coenzyme A
CAS:Coenzyme A is an obligatory cofactor in all living cells synthesized from pantothenate (Vitamin B5), adenosine triphosphate (ATP), and cysteine.Formula:C21H36N7O16P3SPurezza:93.84%Colore e forma:SolidPeso molecolare:767.53Ref: TM-T10857
5mg40,00€1mL*10mM (DMSO)44,00€10mg49,00€25mg79,00€50mg104,00€100mg154,00€200mg220,00€500mg374,00€Coenzyme A
CAS:Coenzyme AFormula:C21H36N7O16P3SPurezza:≥90%Colore e forma:SolidPeso molecolare:767.53Coenzyme A hydrate
CAS:Formula:C21H36N7O16P3S·xH2OPurezza:≥ 90.0%Colore e forma:White to off-white or pale yellow powderPeso molecolare:767.53 (anhydrous)Coenzyme A free acid
CAS:Formula:C21H36N7O16P3SPurezza:>94%Colore e forma:SolidPeso molecolare:767.54Coenzyme A hydrate
CAS:Coenzyme A hydrate is essential in the metabolism of fatty acids and the synthesis of acetyl-CoA. It is also employed in pharmaceutical applications, especially in drug development and formulation. Its distinctive properties improve drug solubility and bioavailability, making it an essential component in the creation of therapeutic agents.Formula:C21H36N7O16P3S·xH2OPurezza:(Enzymatic) Min. 75%Colore e forma:White Off-White Slightly Yellow PowderPeso molecolare:767.54 g/molCoenzyme A Free Acid extrapure, 90%
CAS:Formula:C21H36N7O16P3SPurezza:min. 90%Colore e forma:Almost white to slightly yellowish, Lyophilized powderPeso molecolare:767.54Coenzyme A S-Pyrazinecarboxylate Trisodium Salt
CAS:Prodotto controllatoApplications Coenzyme A S-Pyrazinecarboxylate is a derivative of Coenzyme A (C636400); a cofactor in enzymatic acetyl transfer reactions. It is the source of the phosphopantetheine group that is added as a prosthetic group to proteins such as acyl carrier protein and formyltetrahydrofolate dehydrogenase.
References Strickland K.C. et al.: J. Biol. Chem., 285, 1627 (2010); Elovson J. et al.: J. Biol. Chem., 243, 3603 (1968)Formula:C26H35N9Na3O17P3SColore e forma:NeatPeso molecolare:939.56









