CAS 97240-79-4
:Topiramato
Descrizione:
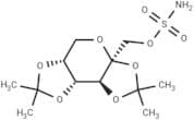
Topiramato è un monosaccaride sostituito da sulfamato che viene utilizzato principalmente come anticonvulsivante e per la prevenzione dell'emicrania. La sua formula chimica è C12H21N3O8S e presenta una struttura unica che include un gruppo sulfamato, che contribuisce alle sue proprietà farmacologiche. Topiramato è noto per la sua capacità di inibire alcuni percorsi dei neurotrasmettitori, in particolare quelli che coinvolgono il glutammato, e aumenta l'attività dell'acido gamma-aminobutirrico (GABA), un importante neurotrasmettitore inibitorio nel cervello. Questo meccanismo d'azione duale lo rende efficace nel controllare le crisi e nel prevenire gli attacchi di emicrania. La sostanza viene tipicamente somministrata per via orale ed è ben assorbita nel tratto gastrointestinale. Topiramato è anche associato a una serie di effetti collaterali, tra cui compromissione cognitiva, perdita di peso e possibile acidosi metabolica. Il suo profilo di sicurezza ed efficacia lo ha reso un farmaco ampiamente prescritto in neurologia e psichiatria. Come per qualsiasi farmaco, è importante che i pazienti discutano i potenziali rischi e benefici con il proprio medico.
Formula:C12H21NO8S
InChI:InChI=1/C12H21NO8S/c1-10(2)18-7-5-16-12(6-17-22(13,14)15)9(8(7)19-10)20-11(3,4)21-12/h7-9H,5-6H2,1-4H3,(H2,13,14,15)/t7-,8-,9?,12+/m0/s1
InChI key:InChIKey=KJADKKWYZYXHBB-XBWDGYHZSA-N
SMILES:C(OS(N)(=O)=O)[C@]12[C@]([C@]3([C@@](CO1)(OC(C)(C)O3)[H])[H])(OC(C)(C)O2)[H]
Sinonimi:- 2,3:4,5-Bis-O-(1-methylethylidene) β-<span class="text-smallcaps">D</span>-fructopyranose sulfamate
- 2,3:4,5-Bis-O-(1-methylethylidene) β-D-fructopyranose sulfamate
- 2,3:4,5-di-O-isopropylidene-beta-D-fructopyranose sulfamate
- 5H-Bis[1,3]dioxolo[4,5-b:4′,5′-d]pyran, β-<span class="text-smallcaps">D</span>-fructopyranose deriv.
- Epitoma
- Epitomax
- McN 4853
- Qudexy XR
- Rwj 17021
- Sincronil
- TPM
- Toiramate
- Topamac
- Topamax
- Topimax
- Topina
- Topiragen
- Topomax
- Tracrium
- Trokendi XR
- β-<span class="text-smallcaps">D</span>-Fructopyranose, 2,3:4,5-bis-O-(1-methylethylidene)-, 1-sulfamate
- β-<span class="text-smallcaps">D</span>-Fructopyranose, 2,3:4,5-bis-O-(1-methylethylidene)-, sulfamate
- β-D-Fructopyranose, 2,3:4,5-bis-O-(1-methylethylidene)-, 1-sulfamate
- β-D-Fructopyranose, 2,3:4,5-bis-O-(1-methylethylidene)-, sulfamate
- Topiramate
- 5H-Bis[1,3]dioxolo[4,5-b:4′,5′-d]pyran, β-D-fructopyranose deriv.
- 2,3:4,5-Di-O-isopropylidene-β-D-fructopyranose sulfamate
- Topiramato [INN-Spanish]
- 1-O-Sulfamoyl-2-O,3-O:4-O,5-O-diisopropylidene-β-D-fructopyranose
- Topiramate Synonyms Topamax
- TopiramateTopamax
- Topiramate solution
- 2,3:4,5-Di-O-isopropylidene-β-D-fructopyranoside sulfamate
- 2,3:4,5-Di-O-isopropylidene-b-D-fructopyranosidesulfamate
- Topiramate (150 mg)
- Tipiramato [Spanish]
- 2,3:4,5-bis-o-(1-methylethylidene)-beta-d-fructopyranose sulfamate
- RWJ-17021-000
- TopiraMate(McN-4853,RWJ-17021,TopaMax)
- Tipiramate [French]
- Topiramic acid
- .beta.-D-Fructopyranose, 2,3:4,5-bis-O-(1-methylethylidene)-, sulfamate
- McN 4853, RWJ 17021, Topamax, 2,3:4,5-Bis-O-(1-methylethylidene)-36-D-fructo-pyranose sulfamate
- 1-O-Sulfamoyl-2-O,3-O:4-O,5-O-bis(1-methylethylidene)-β-D-fructopyranose
- TopiraMate API
- 2,3:4,5-Bis-O-(1-methylethylidene)--D-fuctopyranose Sulfamate, McN-4853, RWJ-17021-000, Topamax
- ((3aS,5aR,8aR,8bS)-2,2,7,7-tetraMethyltetrahydro-3aH-bis([1,3]dioxolo)[4,5-b:4',5'-d]pyran-3a-yl)Methyl sulfaMate
- ((3AS,5aR,8aR,8bS)-2,2,7,7-tetramethyltetrahydro-3aH-bis[1,3]dioxolo[4,5-b:4',5'-d]pyran-3a-yl
- 2,3:4,5-Bis-O-(1-Methylethylidene)-β-D-fuctopyranose 1-SulfaMate
- Topiramatum [INN-Latin]
- TopiriMate-d12
- 2,3:4,5-BIS-O-(1-METHYLETHYLIDENE)-B-D-FUCTO-PYRANOSE SULFAMATE
- Topiramate [USAN:BAN:INN]
- PHARMACEUTICAL RAW MATERIAL: TOPIRAMATEUSP
- topiramatum [Latin]
- 2,3:4,5-bis-o-(1-methylethylidene)-beta-d-fructopyranossulfamate
- 2,3:4,5-BIS-O-(1-METHYLETHYLIDENE)-36-D-FRUCTO-PYRANOSE SULFAMATE
- 2,3:4,5-Di-O-isopropylidene-b-D-fructopyranose sulfamate
- 2,3:4,5-Di-O-isopropylidene-1-O-sulfamoyl-beta-D-fructopyranose
- Topiramate, >=98%
- 2,3:4,5-BIS-O-(1-METHYLETHYLIDENE)-BETA-D-FUCTOPYRANOSE SULFAMATE
- Vedi altri sinonimi
Ordinare per
Purezza (%)
0
100
|
0
|
50
|
90
|
95
|
100
Trovati 20 prodotti.
Topiramate
CAS:Formula:C12H21NO8SPurezza:>98.0%(T)(HPLC)Colore e forma:White to Almost white powder to crystalPeso molecolare:339.36Topiramate
CAS:Sulfonamides used as drugsFormula:C12H21NO8SColore e forma:White Off-White Crystalline PowderPeso molecolare:339.09879Topiramate
CAS:Topiramate (RWJ 17021) is a unique antiseizure medication that is used in the treatment of partial and generalized seizures.Formula:C12H21NO8SPurezza:99.79% - 99.92%Colore e forma:White To Off-White Crystalline PowderPeso molecolare:339.36Topiramate
CAS:Formula:C12H21NO8SPurezza:98.0 - 102.0 % (anhydrous basis)Colore e forma:White to almost white powderPeso molecolare:339.36Topiramate-13C6
CAS:Prodotto controllatoApplications Topiramate-13C6 is the labeled compound of Topiramate (T540250). Topiramate is used as an anticonvulsant.
References Maryanoff, B.E., et al.: J. Med. Chem., 30, 880 (1987); Bialer, M.: Clin. Pharmacokinet., 24(6), 441-52 (1993)Formula:C6C6H21NO8SColore e forma:NeatPeso molecolare:345.318Topiramate
CAS:Applications Used as an anticonvulsant.
References Maryanoff, B.E., et al.: J. Med. Chem., 30, 880 (1987); Bialer, M.: Clin. Pharmacokinet., 24(6), 441-52 (1993)Formula:C12H21NO8SColore e forma:NeatPeso molecolare:339.36Topiramate
CAS:Prodotto controllatoAn anticonvulsant drug
Formula:C12H21NO8SPurezza:Min. 95%Colore e forma:PowderPeso molecolare:339.37 g/molTopiramate - Bio-X ™
CAS:Topiramate is an anticonvulsant drug that is used for the control of seizures and in the prophylaxis and treatment of migraines. This drug increases GABA activity and inhibits glutamate activity, therefore blocking neuronal excitability. This leads to a prevention in seizures and migraines.Formula:C12H21NO8SPurezza:Min. 95%Colore e forma:PowderPeso molecolare:339.36 g/molRef: ST-EA-CP-T11000
10mgPrezzo su richiesta25mgPrezzo su richiesta50mgPrezzo su richiesta100mgPrezzo su richiesta














