CAS 97792-45-5
:Idrobromuro di lappaconitina
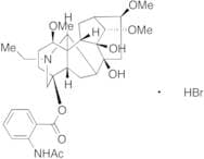
- (1a,14a,16b)-20-Ethyl-1,14,16-trimethoxyaconitane-4,8,9-triol 4-(2-(acetylamino)benzoate) hydrobromide
- 2H-12,3,6a-Ethanylylidene-7,9-methanonaphth[2,3-b]azocine, aconitane-4,8,9-triol deriv.
- Aconitane-4,8,9-triol, 20-ethyl-1,14,16-trimethoxy-, 4-[2-(acetylamino)benzoate], hydrobromide (1:1), (1α,14α,16β)-
- Aconitane-4,8,9-triol, 20-ethyl-1,14,16-trimethoxy-, 4-[2-(acetylamino)benzoate], monohydrobromide, (1α,14α,16β)-
- Allafort
- Allapinine
- Lappaconite Hydrobromide
- Lappaconitin hydrobromide
- Lappaconitine hydrobromide
Lappaconitine Hydrobromide
CAS:Formula:C32H44N2O8·HBrPurezza:>95.0%(N)Colore e forma:White to Light yellow powder to crystalPeso molecolare:665.62Lappaconitine hydrobromide
CAS:Lappaconitine hydrobromide (Allapinine) is a kind of alkaloid extracted from Aconitum sinomontanum Nakai. It has anti-inflammatory effects.Formula:C32H44N2O8·HBrPurezza:97.23%Colore e forma:White PowderPeso molecolare:665.61Lappaconitine Hydrobromide
CAS:Prodotto controllatoApplications Hydrobromide salt of (+)-Lappaconitine (L175850), a potential antitumor agent agent that induces HL-60 differentiation and apoptosis with analgesic activity as well.
Not a dangerous good if item is equal to or less than 1g/ml and there is less than 100g/ml in the package
References Xu, M. et al.: Lat. Am. J. Pharm., 32, 1433 (2013); Yunusov, M.et al.: Russ. Chem. Bull., 60, 633 (2011);Formula:C32H45BrN2O8Colore e forma:NeatPeso molecolare:665.61Lappaconitine Hydrobromide
CAS:Prodotto controllatoHydrobromide form of lappaconitine, lappaconitine hydrobromide is clinically used to reduce swelling and inflammation while providing a local anesthetic effect. The molecular structure of lappaconitine was first reported in 1895. Traditionally used for pain relief, lappaconitine is a plant-derived C18-diuterpenoid alkaloid. In rats, the antinociceptive action of lappaconitine has been shown to be based on the enhanced expression of dynorphin A in the spinal microglia.
Formula:C32H44N2O8·HBrPurezza:Min. 95%Colore e forma:White PowderPeso molecolare:665.61 g/mol






