
soluzioni tampone di pH
Trovati 758 prodotti di "soluzioni tampone di pH"
Reagecon Carbonate pH 10.00 Borax Free Buffer Solution at 20°C
Reagecon’s Borax Free pH Buffer Solution at 20°C is tested by our ISO 17025 Accredited Test Method (A2LA Ref: 6739.03) and NIST traceable.Colore e forma:LiquidGlycylglycine
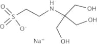
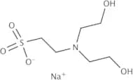
CAS:Formula:C4H8N2O3Purezza:>99.0%(T)Colore e forma:White powder to crystalPeso molecolare:132.12N,N-Bis(2-hydroxyethyl)-2-aminoethanesulfonic Acid [Good's buffer component for biological research]
CAS:Formula:C6H15NO5SPurezza:>98.0%(T)Colore e forma:White to Almost white powder to crystalPeso molecolare:213.25Piperazine-1,4-bis(2-ethanesulfonic Acid) Monosodium Salt [Good's buffer component for biological research]
CAS:Formula:C8H17N2NaO6S2Purezza:>99.0%(T)Colore e forma:White to Almost white powder to crystalPeso molecolare:324.34Buffer Solution pH8.7 (6mol/L Guanidine Hydrochloride)
Colore e forma:Colorless to Almost colorless clear liquid3-(Cyclohexylamino)-2-hydroxypropane-1-sulfonic Acid
CAS:Formula:C9H19NO4SPurezza:>98.0%(T)(qNMR)Colore e forma:White to Light yellow powder to crystalPeso molecolare:237.314-(2-Hydroxyethyl)piperazine-1-(2-hydroxypropane-3-sulfonic Acid) [Good's buffer component for biological research]
CAS:Formula:C9H20N2O5SPurezza:>98.0%(T)Colore e forma:White to Almost white powder to crystalPeso molecolare:268.33MOPSO sodium salt
CAS:Formula:C7H14NNaO5SPurezza:(Titration) ≥ 99.0% (anhydrous basis)Colore e forma:White powderPeso molecolare:247.24Triethylammonium acetate buffer, 1M solution in water
Colore e forma:Clear, colourless liquidPeso molecolare:-Calcium phosphate dibasic, anhydrous
CAS:Formula:CaHO4PPurezza:98.0 - 102.0 %Colore e forma:White powderPeso molecolare:136.06ADA
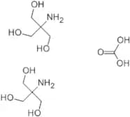
CAS:Formula:C6H10N2O5Purezza:98.0 - 101.0 %Colore e forma:White crystalline powderPeso molecolare:190.16Bovine Serum Albumin, fatty acid free
CAS:Purezza:≥ 98%Colore e forma:Off-white to light-yellow or green powder or flakesPeso molecolare:-Triethanolamine buffer solution, with EDTA and sodium azide
Colore e forma:Clear, colourless liquidPeso molecolare:-PIPES
CAS:Formula:C8H18N2O6S2Purezza:(Titration) ≥ 99.0% (dried basis)Colore e forma:White powderPeso molecolare:302.37CAPSO sodium salt
CAS:Formula:C9H18NNaO4SPurezza:≥ 99.0% (dried basis)Colore e forma:White to off-white powderPeso molecolare:259.30Potassium chloride, 99%
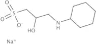
CAS:Formula:KClPurezza:≥ 99.0% (dried basis)Colore e forma:White crystalline powder or crystalsPeso molecolare:74.55CAPS
CAS:Formula:C9H19NO3SPurezza:≥ 99.0%Colore e forma:White crystalline powderPeso molecolare:221.32Water, GlenCell™, suitable for cell culture
CAS:Formula:H2OColore e forma:Clear, colourless liquidPeso molecolare:18.02HEPES sodium salt, 1M solution
CAS:Formula:C8H17N2NaO4SColore e forma:Clear, colourless liquidPeso molecolare:260.28HEPPS
CAS:Formula:C9H20N2O4SPurezza:(Titration) ≥ 99.0%Colore e forma:White crystalline powderPeso molecolare:252.33HEPPSO
CAS:Formula:C9H20N2O5SPurezza:≥ 98.0%Colore e forma:White to off-white powder or crystalsPeso molecolare:268.33 (anhydrous)di-Potassium hydrogen phosphate, 1M solution
CAS:Formula:K2HPO4Colore e forma:Clear, colourless liquidPeso molecolare:174.18TRIS-Tricine-SDS running buffer, 10X solution
Colore e forma:Clear, colourless liquidPeso molecolare:-MES potassium salt
CAS:Formula:C6H12KNO4SPurezza:98.5 - 101.5 %Colore e forma:White or almost white crystalline powder or crystalsPeso molecolare:233.33Disodium hydrogen phosphate heptahydrate, USP grade
CAS:Formula:Na2HPO4·7H2OPurezza:98.0 - 100.5 % (dried basis)Colore e forma:White crystals or crystalline powderPeso molecolare:268.07Sodium chloride
CAS:Formula:NaClPurezza:≥ 99.9% (dried basis)Colore e forma:White crystalline powderPeso molecolare:58.44Potassium phosphate monobasic, 1M solution
CAS:Formula:H2KO4PColore e forma:Clear, colourless liquidPeso molecolare:136.09Sodium pyrophosphate decahydrate, 99%
CAS:Formula:Na4P2O7·10H2OPurezza:99.0 - 102.0 % (Na4P2O7 · 10H2O)Colore e forma:White crystalline powder or crystalsPeso molecolare:446.06TES sodium salt
CAS:Formula:C6H14NNaO6SPurezza:(Titration) ≥ 99.0%Colore e forma:White powder or crystalsPeso molecolare:251.23L-Felinine
CAS:Prodotto controllatoApplications An amino acid found in the urine of species of the Felidae family, is believed to either possess pheromone activity or give rise to compounds with such activity.
References Daniels, D.L. and Richert, C.: Tetrahedron Letters, 40, 4463 (1999)Formula:C8H17NO3SColore e forma:WhitePeso molecolare:207.29HEPPS
CAS:HEPPS, also known as EPPS, is a piperazinic buffer with an optimal pH range of 7.3-8.7 and a pKa of 8. This pH range is suitable for phosphorylation reaction studies.Formula:C9H20N2O4SPurezza:Min. 95%Colore e forma:PowderPeso molecolare:252.33 g/mol2,2-Bis(hydroxymethyl)-2,2',2''-nitrilotriethanol
CAS:Bis-Tris is a Bis(2-hydroxyethyl) amine buffer that forms metal chelates and can be used with proteins and nucleic acids. This buffering agent has an optimal pH range of 5.8-7.2 and a pKa of 6.46.Formula:C8H19NO5Purezza:Min. 98%Colore e forma:PowderPeso molecolare:209.24 g/molTris
CAS:Prodotto controllatoTris is a buffering agent with an optimal pH range of 7.1-9.1 and a pKa of 8.07. It is used to prepare buffer solutions within physiological pH range and is suitable for western blot and nucleic acid electrophoresis. This buffer also forms metal chelates.Formula:C4H11NO3Colore e forma:White Off-White PowderPeso molecolare:121.14 g/molHEPES
CAS:HEPES, also known as 4-(2-hydroxyethyl)-1-piperazineethanesulfonic acid, is a piperazinic buffer with an optimal pH range of 6.8-8.2 and a pKa of 7.48. This zwitterionic buffering agent is widely used in cell culture however when exposed to light HEPES can produce hydrogen peroxide.
Formula:C8H18N2O4SColore e forma:White PowderPeso molecolare:238.31 g/molTRIS hydrochloride
CAS:Tris-HCl is the same as Tris base with the addition of HCl. It is used as a buffering agent to prepare buffer solutions.
Formula:C4H11NO3•HClColore e forma:PowderPeso molecolare:157.6 g/molMOPS
CAS:MOPS is a morpholinic buffer with an optimal pH range of 6.5-7.9 and a pKa of 7.14. It does not coordinate metal ions and can be used in cell culture and electrophoresis.Formula:C7H15NO4SColore e forma:White Off-White PowderPeso molecolare:209.3 g/molCHES
CAS:2-(N-Cyclohexylamino)ethanesulfonic acid, also known as CHES, is a biological cyclohexylamino buffer with an optimal pH range of 8.6-10.0 and a pKa of 9.5. It has poor metal ion coordination and is suitable for applications above physiological pH.
Formula:C8H17NO3SPurezza:(Titration) 98.0 To 102.0%Colore e forma:PowderPeso molecolare:207.29 g/molHEPES sodium salt
CAS:HEPES sodium salt is a piperazinic buffer with an optimal pH range of 6.8-8.2 and a pKa of 7.48. This buffering agent is widely used in cell culture however when exposed to light HEPES can produce hydrogen peroxide.Formula:C8H17N2NaO4SPurezza:(Nmr) Min. 90%Colore e forma:PowderPeso molecolare:260.29 g/molCAPS
CAS:3-(Cyclohexylamino)-1-propanesulfonic acid, also known as CAPS is a zwitterionic biological buffering agent with an optimal pH range of 9.7 to 11.1 and a pKa of 10.4. It is useful for the extraction of proteins from biological samples and for studying enzyme kinetics at high pH.Formula:C9H19NO3SColore e forma:White Off-White PowderPeso molecolare:221.3 g/molTricine
CAS:Tricine is a buffering agent that is widely used in electrophoresis and ATP assays. It has an optimal pH range of 7.4-8.8 and a pKa of 8.15.Formula:C6H13NO5Colore e forma:PowderPeso molecolare:179.17 g/molBES
CAS:BES, also known as 2-[N,N-Bis-(2-hydroxyethyl)amino]ethanesulfonic acid, is a buffering agent that forms complexes with DNA and certain metal ions, It has an optimal pH range of 6.4-7.8 and a pKa of 7.09.Formula:C6H15NO5SPurezza:(%) Min. 99.0%Colore e forma:PowderPeso molecolare:213.2 g/molTriethylammonium Acetate (2.0mol/L in Water) [for HPLC]
CAS:Formula:C6H15N·C2H4O2Colore e forma:Colorless to Almost colorlessclear liquidPeso molecolare:161.25DIPSO Buffer extrapure, 99%
CAS:Formula:C7H17NO6SPurezza:min. 99 %Colore e forma:White, Crystalline compound, Clear, ColourlessPeso molecolare:243.30CAPSO Sodium Salt Buffer extrapure, 99%
CAS:Formula:C9H18NO4SNaPurezza:min. 99%Colore e forma:White, Powder/ crystalline powder, Clear, ColourlessPeso molecolare:259.30PIPES Buffer for molecular biology, 99%
CAS:Formula:C8H18N2O6S2Purezza:min. 99%Colore e forma:White, Powder, Clear, ColourlessPeso molecolare:302.36HEPBS Buffer extrapure, 99%
CAS:Formula:C10H22N2O4SPurezza:min. 99%Colore e forma:White, Crystalline powder, Clear, ColourlessPeso molecolare:266.36ADA Buffer extrapure, 98%
CAS:Formula:C6H10N2O5Purezza:min. 98%Colore e forma:White, Crystalline powder, Clear, ColourlessPeso molecolare:190.15Tris(Hydroxymethyl)- Aminomethane Maleate extrapure (Tris Maleate), 99.5%
CAS:Formula:C4H11NO3·C4H4O4Purezza:min 99.5%Colore e forma:White, Crystalline powder, Clear, ColourlessPeso molecolare:237.21Tris(Hydroxymethyl)- Aminomethane Nitrate extrapure (Tris Nitrate), 99%
CAS:Formula:C4H11NO3·HNO3Peso molecolare:184.20Glycine ACS, 99.5%
CAS:Formula:C2H5NO2Purezza:min. 99.5%Colore e forma:White, Crystalline powder/Solid, Clear, ColourlessPeso molecolare:75.07BIS-TRIS Hydrochloride Buffer extrapure, 98%
CAS:Formula:C8H19NO5·HClPurezza:min.98%Colore e forma:White, Crystalline powder, Clear, ColourlessPeso molecolare:245.7PIPES Sodium Salt Buffer extrapure, 99%
CAS:Formula:C8H17N2O6S2NaPurezza:min. 99%Colore e forma:White, Crystalline powder, Clear, ColourlessPeso molecolare:324.35Glycine ACS, ExiPlus, Multi-Compendial, 99.5%
CAS:Formula:C2H5NO2Purezza:min. 99.5%Colore e forma:White or Almost white, Crystalline powder, Clear, ColourlessPeso molecolare:75.07BES Sodium Salt Buffer extrapure, 99%
CAS:Formula:C6H14NNaO5SPurezza:min. 99%Colore e forma:White, Crystalline powder, Clear, ColourlessPeso molecolare:235.23MES Hemisodium Salt Buffer extrapure, 98%
CAS:Formula:C6H13NO4SNa0Purezza:min. 98%Colore e forma:White, Crystalline powderPeso molecolare:206.73Tris(Hydroxymethyl)- Aminomethane Phosphate Dibasic extrapure (Tris Phosphate Dibasic), 98%
CAS:Formula:(C4H11NO3)2·H3PO4Purezza:min 98%Colore e forma:White, Crystalline Compound, Clear, ColourlessPeso molecolare:340.30MOPS Sodium Salt Buffer extrapure, 99.5%
CAS:Formula:C7H14NO4SNaPurezza:min. 99.5%Colore e forma:White, Crystalline powder, Clear, ColourlessPeso molecolare:231.25Tris(Hydroxymethyl) Aminomethane Acetate extrapure AR (Tris Acetate Buffer), 99%
CAS:Formula:C4H11NO3·C2H4O2Purezza:min 99%Colore e forma:White, Crystalline powder, Clear, ColourlessPeso molecolare:181.19CAPSO Buffer extrapure, 99%
CAS:Formula:C9H19NO4SPurezza:min. 99%Colore e forma:White, Crystalline powder, Clear, ColourlessPeso molecolare:237.30CHES Buffer extrapure, 99%
CAS:Formula:C8H17NO3SPurezza:min. 99%Colore e forma:White, Crystalline compound, Clear, ColourlessPeso molecolare:207.30Tris(Hydroxymethyl)- Aminomethane Carbonate extrapure (Tris Carbonate), 99%
CAS:Formula:C8H22N2O6·H2CO3Purezza:min. 99%Colore e forma:White, Crystalline powder, Clear, ColourlessPeso molecolare:304.29BICINE Buffer extrapure, 99%
CAS:Formula:C6H13NO4Purezza:min. 99.0%Colore e forma:White, Crystalline powder, Clear, ColourlessPeso molecolare:163.18Tris(Hydroxymethyl)- Aminomethane Succinate extrapure (Tris Succinate), 99%
CAS:Formula:C8H22N2O6·C4H6O4Purezza:min 99%Colore e forma:White, Crystalline compound, Clear, ColourlessPeso molecolare:360.36RIPA Protein Extraction Reagent
RIPA (Radio-Immuno Precipitation Assay) Buffer is a ready- to-use versatile solution and widely used lysis buffer for preparing cell lysates for a variety of protein-related applications. Radio Immuno Precipitation Assay buffer (RIPA buffer) is used for rapid, efficient cell lysis and solubilization of proteins from both adherent and suspension cultured mammalian cells. RIPA lysis extraction buffer contains non-ionic and ionic detergents which are able to extract protein from wide variety of cell types and membrane structuresProtein lysis can be completed within 45 to 60 minutes.Purezza:Suits BCA assayColore e forma:Colourless, Liquid, ClearSodium Citrate Tribasic Dihydrate extrapure AR, 99%
CAS:Formula:C6H5Na3O7·2H2OPurezza:min. 99%Colore e forma:White, Crystalline powder, Clear, ColourlessPeso molecolare:294.10DNA Methylation Reagent
DNA Methylation reagent plays a key role in DNA methylation analysis. It works by selectively converting unmethylated cytosines to uracil, while leaving methylated cytosines unchanged. This difference in conversion allows researchers to identify and analyze DNA methylation patterns using subsequent PCR amplification and sequencing.Colore e forma:Dry substance, Clear, ColourlessDNA Quick Extraction Reagent
DNA Quick Extraction Reagent is used to isolate genomic DNA from various samples. The reagent efficiently extracts DNA from sources like animal & plant tissues, yeast, and bacteria. The process typically takes 10-30 minutes, with DNA recoveries ranging from 70-100%.Colore e forma:Liquid, Clear, ColourlessLithium Acetate Dihydrate ultrapure, 99%
CAS:Formula:CH3COOLi·2H2OPurezza:min. 99%Colore e forma:White, Crystalline powder, Clear, ColourlessPeso molecolare:102.02Sodium Acetate Trihydrate extrapure AR, 99.5%
CAS:Formula:C2H3NaO2·3H2OPurezza:min. 99.5%Colore e forma:White, Crystalline powder, Clear, ColourlessPeso molecolare:136.08ACES Buffer for molecular biology, 99.5%
CAS:Formula:C4H10N2O4SPurezza:min.99.5%Colore e forma:White, Crystalline powder, Clear, ColourlessPeso molecolare:182.20MOPS Buffer extrapure, 99%
CAS:Formula:C7H15NO4SPurezza:min. 99%Colore e forma:White, Crystalline powder, Clear, ColourlessPeso molecolare:209.26Boric Acid ACS, ExiPlus, Multi-Compendial, 99.5%
CAS:Formula:H3BO3Purezza:min. 99.5%Colore e forma:White, Crystalline powder, Clear, ColourlessPeso molecolare:61.83PIPES Sesquisodium Salt Buffer extrapure, 99%
CAS:Formula:C8H16·5N2O6S2Na1Purezza:min. 99%Colore e forma:White, Crystalline powder, Clear, ColourlessPeso molecolare:335.33HEPES Sodium Salt extrapure, 99%
CAS:Formula:C8H17N2O4SNaPurezza:min. 99%Colore e forma:White, Crystalline powder, Clear, ColourlessPeso molecolare:260.29CAPS Buffer extrapure, 99%
CAS:Formula:C9H19NO3SPurezza:min. 99.0%Colore e forma:White, Crystalline powder, Clear, ColourlessPeso molecolare:221.32SDS PAGE Sample Buffer (2X) (Reducing) (Laemmli Buffer 2X)
A ready-to-use 2X solution with beta-mercaptoethanol as a reducing agent. Used in SDS-PAGE for loading of conventional proteins. The use of Laemmli sample buffer ensures optimal band resolution when preparing proteins for SDS-PAGE with Tris-glycine-SDS running buffer. Role of 2X SDS PAGE Sample buffer : 1 .Tris-HCl is a buffer and it’s pH plays an essential role in preserving peptide bonds from breaking apart. 2. Sodium dodecyl sulphate is an anionic detergent that helps in linearizing (by denaturing) the proteins and bringing a net negative charge to the proteins irrespective of the initial charge. 3. The high density of glycerol ensures the sample moves down into the well. 4. Beta-mercaptoethanol, along with SDS, ensure the bands are individual polypeptide instead of molecular complexes. 5. The dye visually indicates the location (tracking) of the sample in the gel.Colore e forma:Liquid, Dark Blue, ClearSDS PAGE Sample Buffer (5X) (Reducing) w/ DTT w/ BPB
It is the most commonly used sample buffer for SDS-PAGE of denatured proteins. It is a ready-to-use 5X solution with dithiothreitol (DTT) as a reducing agent. It can be used for SDS-PAGE protein loading of conventional proteins. The use of sample buffer ensures optimal band resolution when preparing proteins for SDS-PAGE with Tris-glycine-SDS running buffer. :It is the most commonly used sample buffer for SDS-PAGE of denatured proteins. It is a ready-to-use 5X solution with dithiothreitol (DTT) as a reducing agent. It can be used for SDS-PAGE protein loading of conventional proteins. The use of sample buffer ensures optimal band resolution when preparing proteins for SDS-PAGE with Tris-glycine-SDS running buffer. :It is the most commonly used sample buffer for SDS-PAGE of denatured proteins. It is a ready-to-use 5X solution with dithiothreitol (DTT) as a reducing agent. It can be used for SDS-PAGE protein loading of conventional proteins. The use of sample buffer ensures optimal band resolution when preparing proteins for SDS-PAGE with Tris-glycine-SDS running buffer.Role of reagents: Tris-HCl: as a buffering substance. The pH play an essential role in preserving peptide bonds from breaking apart. SDS: Proteins comes in different sizes and charges. SDS is an anionic detergent that helps in linearizing (by denaturing) the proteins and bringing a net negative charge to the proteins irrespective of the initial charge. Glycerol: The high density (thickening of the solution) of glycerol ensures the sample moves down into the well. DL-Dithiothreitol (DTT): is a strong reducing agent. Its specific role in sample denaturation is to remove the last bit of tertiary and quaternary structure by reducing disulfide bonds. Bromophenol Blue: visually indicates the location (tracking dye) of the sample in the gel.Colore e forma:Liquid, Dark Blue, ClearSDS PAGE Sample Buffer (5X) (Non-Reducing) w/o DTT w/ BPB
It is the most commonly used sample buffer for SDS-PAGE of non-denatured proteins It is a ready-to-use 5X solution without dithiothreitol (DTT) and Beta-mercaptoethanol (BME) as a reducing agent. This buffer can be used as a loading buffer in all kinds of denaturing gels and are compatible with Coomassie, silver staining and Western blotting. The 5X concentration of this buffer facilitates the loading of larger sample volume per well compared to the traditional 2X loading buffer.Role of reagents: Tris-HCl: as a buffering substance. The pH play an essential role in preserving peptide bonds from breaking apart. SDS: Proteins comes in different sizes and charges. SDS is an anionic detergent that helps in linearizing (by denaturing) the proteins and bringing a net negative charge to the proteins irrespective of the initial charge. Glycerol: The high density (thickening of the solution) of glycerol ensures the sample moves down into the well. Bromophenol Blue: visually indicates the location (tracking dye) of the sample in the gel.Colore e forma:Liquid, Dark Blue, ClearSDS PAGE Sample Buffer (5X) (Reducing) (Laemmli Buffer 5X)
A ready-to-use 5X solution with beta-mercaptoethanol as a reducing agent. Used in SDS-PAGE for loading of conventional proteins. The use of Laemmli sample buffer ensures optimal band resolution when preparing proteins for SDS-PAGE with Tris-glycine-SDS running buffer. Role of 5X SDS PAGE Sample buffer :1. Tris is a buffer and it’s pH plays an essential role in preserving peptide bonds from breaking apart. 2. Sodium dodecyl sulphate is an anionic detergent that helps in linearizing (by denaturing) the proteins and bringing a net negative charge to the proteins irrespective of the initial charge. 3. The high density of glycerol ensures the sample moves down into the well. 4. Beta-mercaptoethanol, along with SDS, ensure the bands are individual polypeptide instead of molecular complexes. 5. The dye visually indicates the location (tracking) of the sample in the gel.Colore e forma:Liquid, Dark Blue, ClearMES Monohydrate Buffer extrapure, 99%
CAS:Formula:C6H13NO4S·H2OPurezza:min. 99%Colore e forma:White, Crystalline powder, Clear, ColourlessPeso molecolare:213.25Borate Buffer (20X) (Amine-free)
20X Borate Buffer is a stock solution that is ideal for preparing sodium borate buffer solutions for use in protein modification procedures requiring amine-free buffer at alkaline pH. Simply dilute the stock solution with pure water and proceed with your experiment. The 20X Borate Buffer pH remains 8.5, when diluted to 1X with water.Colore e forma:Liquid, Clear, Colourless2-Amino-2-Methyl-1,3-Propanediol (AMPD Buffer) extrapure, 99%
Formula:C4H11O2NPurezza:min. 99%Colore e forma:White to off white, Crystalline powder, ClearPeso molecolare:105.14






