
Outros inibidores
Esta categoria abrange uma ampla variedade de inibidores que não se encaixam nas classificações padrão, mas que ainda são essenciais para várias pesquisas bioquímicas e farmacológicas. Esses inibidores podem direcionar vias, enzimas e interações moleculares únicas ou menos estudadas, fornecendo ferramentas valiosas para áreas de pesquisa especializadas. Na CymitQuimica, oferecemos uma seleção diversificada de inibidores de alta qualidade que abrangem múltiplos alvos biológicos e disciplinas de pesquisa, permitindo que você explore novas vias terapêuticas e aprofunde sua compreensão de processos biológicos complexos.
Foram encontrados 37827 produtos de "Outros inibidores"
Ordenar por
Pureza (%)
0
100
|
0
|
50
|
90
|
95
|
100
Melicopicine
CAS:<p>Melicopicine is a useful organic compound for research related to life sciences. The catalog number is T124734 and the CAS number is 517-73-7.</p>Fórmula:C18H19NO5Cor e Forma:SolidPeso molecular:329.352SAA-5-VV-OMe
CAS:<p>SAA-5-VV-OMe is a bioactive chemical.</p>Fórmula:C35H56N6O9Cor e Forma:SolidPeso molecular:704.853-Hydroxy-2-octylpentanedioic acid
CAS:<p>3-Hydroxy-2-octylpentanedioic acid is a useful organic compound for research related to life sciences.</p>Fórmula:C13H24O5Cor e Forma:SolidPeso molecular:260.33L-11318
CAS:<p>L-11318 has a wide range of applications in life science related research.</p>Fórmula:C35H44N2O8Cor e Forma:SolidPeso molecular:620.73Cyclocarioside J
CAS:<p>Cyclocarioside J is a useful organic compound for research related to life sciences. The catalog number is T125649 and the CAS number is 1644624-86-1.</p>Fórmula:C35H58O9Cor e Forma:SolidPeso molecular:622.84Benzydamine N-Oxide
CAS:<p>Benzydamine N-Oxide, a metabolite of Benzydamine, serves as a biomarker for flavin-containing monooxygenase activity [1] [2].</p>Fórmula:C19H23N3O2Cor e Forma:SolidPeso molecular:325.4Divinyl glycol
CAS:<p>Divinyl glycol is an agent of biochemical.</p>Fórmula:C6H10O2Cor e Forma:Light Yellow Oily LiquidPeso molecular:114.14N6-Succinyllysine
CAS:<p>N6-Succinyllysine is a bioactive chemical.</p>Fórmula:C10H18N2O5Cor e Forma:SolidPeso molecular:246.265-O-Ethylcleroindicin D
CAS:5-O-Ethylcleroindicin D is a natural product for research related to life sciences. The catalog number is TN5829 and the CAS number is 488138-32-5.Fórmula:C10H16O4Pureza:98%Cor e Forma:SolidPeso molecular:200.234Phenol, m-(1,3-dipropyl-3-pyrrolidinyl)-, acetate
CAS:<p>Phenol, m-(1,3-dipropyl-3-pyrrolidinyl)-, acetate is a bioactive chemical.</p>Fórmula:C18H27NO2Cor e Forma:SolidPeso molecular:289.413'-Rhamnopiericidin A(1)
CAS:<p>3'-Rhamnopiericidin A(1) is a piericidin rhamnoside from Streptomyces.</p>Fórmula:C31H47NO8Cor e Forma:SolidPeso molecular:561.716ddTTP
CAS:<p>ddTTP, a 2',3'-dideoxyribonucleoside 5'-triphosphate (ddNTP), serves as a chain-elongation inhibitor of DNA polymerase in DNA sequencing [1].</p>Fórmula:C10H17N2O13P3Cor e Forma:SolidPeso molecular:466.17Foresticine
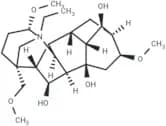
CAS:<p>Foresticine is an alkaloid.</p>Fórmula:C24H39NO6Cor e Forma:SolidPeso molecular:437.57pep2-SVKE
CAS:<p>pep2-SVKE can be used for relevant research in the field of life sciences. Its product number is T37087 and CAS number is 1315378-76-7.</p>Fórmula:C59H89N13O20Cor e Forma:SolidPeso molecular:1300.432Carnaubadiol
CAS:<p>Carnaubadiol, a triterpene from E. corollata, inhibits L. infantum and T. cruzi with IC50s: 46.2, 7.8, 14.9 μM.</p>Fórmula:C31H54O2Cor e Forma:SolidPeso molecular:458.76Alodan
CAS:<p>Alodan (Nodon) is an organic chloride insecticide.</p>Fórmula:C9H6Cl8Pureza:99.75%Cor e Forma:SolidPeso molecular:397.77(2R)-Glycerol-O-β-D-Galactopyranoside
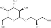
CAS:<p>(2R)-Glycerol-O-β-D-Galactopyranoside exhibits inhibitory effects on RAJI cells and is widely used in biochemical experiments and drug synthesis research.</p>Fórmula:C9H18O8Cor e Forma:SolidPeso molecular:254.23Ligularizine
<p>Ligularizine is a natural product that can be used as a reference standard.</p>Fórmula:C21H29NO8Cor e Forma:SolidPeso molecular:423.4624-(2-Nitroethyl)phenyl primeveroside
<p>4-(2-Nitroethyl)phenyl primeveroside is a useful organic compound for research related to life sciences and the catalog number is T130388.</p>Fórmula:C19H27NO12Cor e Forma:SolidPeso molecular:461.42quisultazine
CAS:<p>Quisultazine is a phenothiazine derivative with no central effects, can be classified as a non anti H2 antisecretory agent.</p>Fórmula:C21H25N3O2S2Cor e Forma:SolidPeso molecular:415.57
