CAS 1139-30-6
:Caryophyllenoxid
Beschreibung:
Caryophyllenoxid ist ein bicyclisches Sesquiterpenoxid, das aus Caryophyllen, einer natürlichen Verbindung, die in verschiedenen ätherischen Ölen vorkommt, insbesondere in Nelken- und schwarzem Pfefferöl, abgeleitet ist. Es zeichnet sich durch seine einzigartige Struktur aus, die einen Cyclobutanring und eine Epoxidfunktionalität umfasst. Diese Verbindung ist typischerweise eine farblose bis blassgelbe Flüssigkeit mit einem charakteristischen, würzigen Aroma. Caryophyllenoxid ist bekannt für seine potenziellen therapeutischen Eigenschaften, einschließlich entzündungshemmender, antimikrobieller und antioxidativer Aktivitäten, was es sowohl für pharmazeutische als auch kosmetische Anwendungen von Interesse macht. Es wird auch für seine Rolle in der Geschmacks- und Duftindustrie anerkannt, da es zu den sensorischen Profilen verschiedener Produkte beiträgt. Darüber hinaus wird Caryophyllenoxid als natürliches Insektenschutzmittel angesehen und wurde auf seine Auswirkungen auf die menschliche Gesundheit untersucht, insbesondere in Bezug auf seine Wechselwirkungen mit Cannabinoid-Rezeptoren. Seine Stabilität und Reaktivität können je nach Umweltbedingungen variieren, was seine Anwendungen in verschiedenen Bereichen beeinflusst.
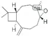
Formel:C15H24O
InChl:InChI=1S/C15H24O/c1-10-5-6-13-15(4,16-13)8-7-12-11(10)9-14(12,2)3/h11-13H,1,5-9H2,2-4H3/t11-,12-,13-,15-/m1/s1
InChI Key:InChIKey=NVEQFIOZRFFVFW-RGCMKSIDSA-N
SMILES:C[C@@]12[C@](O1)(CCC(=C)[C@@]3([C@@](CC2)(C(C)(C)C3)[H])[H])[H]
Synonyme:- (-)-Epoxydihydrocaryophyllene
- (-)-β-Caryophyllene epoxide
- (-)-β-Caryophyllene oxide
- (1R,4R,6R,10S)-4,12,12-Trimethyl-9-methylene-5-oxatricyclo[8.2.0.0<sup>4,6</sup>]dodecane
- (1R,4R,6R,10S)-4,12,12-trimethyl-9-methylidene-5-oxatricyclo[8.2.0.0~4,6~]dodecane
- (1R,4R,6S,10R)-4,12,12-trimethyl-9-methylidene-5-oxatricyclo[8.2.0.0~4,6~]dodecane
- (1R-(1R*,4R*,6R*,10S*))-4,12,12-Trimethyl-9-methylene-5-oxatricyclo(8.2.0.04,6)dodecane
- (1S,4R,6S,10R)-4,12,12-trimethyl-9-methylidene-5-oxatricyclo[8.2.0.0~4,6~]dodecane
- (1S,4R,6S,10S)-4,12,12-trimethyl-9-methylidene-5-oxatricyclo[8.2.0.0~4,6~]dodecane
- (1S,9R)-6,10,10-trimethyl-2-methylidene-5-oxatricyclo[7.2.0.0~4,6~]undecane
- 4,11,11-Trimethyl-8-methylene-5-oxatricyclo(8.2.0.0(4,6))dodecane
- 4,12,12-Trimethyl-9-Methylidene-5-Oxatricyclo[8.2.0.0~4,6~]Dodecane
- 4,12,12-Trimethyl-9-methylene-5-oxatricyclo(8.2.0.04,6)dodecane, (1R,4R,6R,10S)-
- 4β,5α-Epoxycaryophyllene
- 5-Oxatricyclo(8.2.0.0(4,6))dodecane, 4,12,12-trimethyl-9-methylene-, (1R,4R,6R,10S)-
- 5-Oxatricyclo(8.2.0.0(sup 4,6))dodecane, 4,12,12-trimethyl-9-methylene-, (1R,4R,6R,10S)-
- 5-Oxatricyclo(8.2.0.04,6)dodecane, 4,12,12-trimethyl-9-methylene-, (1R,4R,6R,10S)-
- 5-Oxatricyclo[8.2.0.04,6]dodecane, 4,12,12-trimethyl-9-methylene-, [1R-(1R*,4R*,6R*,10S*)]-
- 5-Oxatricyclo[8.2.0.0<sup>4,6</sup>]dodecane, 4,12,12-trimethyl-9-methylene-, (1R,4R,6R,10S)-
- 5-Oxatricyclo[8.2.0.0<sup>4,6</sup>]dodecane, 4,12,12-trimethyl-9-methylene-, [1R-(1R*,4R*,6R*,10S*)]-
- 5-Oxatricyclo[8.2.O.04.6]Dodecane, 4,12,12-Trimethyl-9-Methylene-, [1R,,4R,6R,10S)]-
- 6,7-Epoxy-3(15)-caryophyllene
- Caryophylene Epoxide
- Caryophylene monoepoxide
- Caryophylene oxide
- Caryophyllene 4β,5α-epoxide
- Caryophyllene 4β,5α-oxide
- Caryophyllene epoxide
- Caryophyllene oxide
- Epoxycaryophyllene
- Hsdb 5466
- [1R-(1R*,4R*,6R*,10S*)]-4,12,12-Trimethyl-9-methylen-5-oxatricyclo[8.2.0.04,6]dodecan
- [1R-(1R*,4R*,6R*,10S*)]-4,12,12-Trimethyl-9-methylen-5-oxatricyclo[8.2.0.04,6]dodecane
- [1R-(1R*,4R*,6R*,10S*)]-4,12,12-Trimethyl-9-methylene-5-oxatricyclo[8.2.0.0.4.6]dodecane
- [1R-(1R*,4R*,6R*,10S*)]-4,12,12-trimetil-9-metilen-5-oxatriciclo[8.2.0.04,6]dodecano
- beta-Caryophyllene oxide
- trans-Caryophyllene oxide
- Weitere Synonyme anzeigen
Sortieren nach
Reinheit (%)
0
100
|
0
|
50
|
90
|
95
|
100
(-)-Caryophyllene oxide
CAS:(-)-Caryophyllene oxide analytical standard provided with chromatographic purity, to be used as reference material for qualitative determination.Formel:C15H24OReinheit:(GC) ≥90%Farbe und Form:PowderMolekulargewicht:220.36Caryophyllene Oxide
CAS:Caryophyllene OxideFormel:C15H24OReinheit:98%Farbe und Form:SolidMolekulargewicht:220.35Caryophyllene oxide
CAS:(1R,4R,6R,10S)-4,12,12-Trimethyl-9-methylene-5-oxatricyclo[8.2.0.04,6]dodecaneFormel:C15H24OReinheit:95%Molekulargewicht:220.35Caryophyllene oxide
CAS:Caryophyllene oxide is isolated from Aegle marmelos, with anti-inflammatory activity.Formel:C15H24OReinheit:99.87%Farbe und Form:White Crystalline PowderMolekulargewicht:220.35(-)-Caryophyllene oxide
CAS:Formel:C15H24OReinheit:≥ 95.0%Farbe und Form:White crystalline powderMolekulargewicht:220.35Cannabis Terpene Mixture 2 2500ug/mL in Isopropanol
CAS:Formel:C15H24OFarbe und Form:ColourlessMolekulargewicht:220.35Cannabis Terpene Mixture 2 2500 µg/mL in Isopropanol
CAS:Kontrolliertes ProduktFormel:C15H24OFarbe und Form:ColourlessMolekulargewicht:220.35Caryophyllene Oxide 1000 µg/mL in Isopropanol
CAS:Formel:C15H24OFarbe und Form:Colourless LiquidMolekulargewicht:220.35Smart Solutions™ TerpiMix Kit 2500 μg/mL in Isopropanol
CAS:Kontrolliertes Produkt- 10458-14-7
- 105-87-3
- 106-22-9
- 106-24-1
- 106-25-2
- 111-02-4
- 112-14-1
- 1139-30-6
- 116-26-7
- 1196-01-6
- 123-35-3
- 124-76-5
- 125-12-2
- 127-91-3
- 13466-78-9
- 138-86-3
- 13877-91-3
- 2217-02-9
- 2244-16-8
- 22567-21-1
- 3387-41-5
- 4602-84-0
- 4630-07-3
- 464-43-7
- 464-45-9
- 4674-50-4
- 469-61-4
- 4695-62-9
- 470-82-6
- 489-86-1
- 498-15-7
- 499-75-2
- 502-61-4
- 515-69-5
- 527-84-4
- 535-77-3
- 5392-40-5
- 546-79-2
- 546-80-5
- 562-74-3
- 586-62-9
- 638-36-8
- 675-20-7
- 6753-98-6
- 7212-44-4
- 7541-49-3
- 76-22-2
- 77-53-2
- 7787-20-4
- 78-70-6
- 79-92-5
- 80-56-8
- 87-44-5
- 89-78-1
- 89-79-2
- 89-81-6
- 89-82-7
- 89-83-8
- 98-55-5
- 99-83-2
- 99-85-4
- 99-86-5
- 99-87-6
Farbe und Form:KitCanada Terpene Mixture 2 2500 µg/mL in Isopropanol
CAS:Formel:C15H24OFarbe und Form:ColourlessMolekulargewicht:220.35(-)-Caryophyllene oxide
CAS:EpoxideFormel:C15H24OReinheit:≥ 90.0 % (GC)Farbe und Form:PowderMolekulargewicht:220.36








